OFEV 150 mg 60 yumuşak kapsül Farmakolojik Özellikler
{ Nintedanib }
5. FARMAKOLOJİK ÖZELLİKLER
5.1. Farmakodinamik özellikler
Farmakoterapötik grup: Antineoplastik ajanlar, protein kinaz inhibitörleri
ATC kodu: L01EX09
Etki mekanizması
Nintedanib, platelet kaynaklı büyüme faktörü reseptörü (PDGFR) α ve β, fibroblast büyüme faktörü reseptörü (FGFR) 1-3 ve vasküler endotelyal büyüme faktörü reseptörü (VEGFR) 1-3'ü de içeren küçük moleküllü bir tirozin kinaz inhibitörüdür. Ayrıca, nintedanib Lck (lenfosit-spesifik tirozin protein kinaz), Lyn (tirozin protein kinaz lyn), Src (proto-onkogen tirozin protein kinaz src) ve CSF1R (koloni uyarıcı faktör 1 reseptörü) kinazlarını inhibe eder. Nintedanib, bu kinazların adenozin trifosfat (ATP) bağlayan kısmına kompetetif bağlanarak, intertisyel akciğer hastalıklarında fibrotik doku remodeling patojenezinde rol oynadığı gösterilmiş olan intraselüler sinyalizasyon kaskadlarını bloke eder.
Farmakodinamik etkiler
İnsan hücrelerinin kullanıldığı in vitro çalışmalarda, nintedanibin fibrotik patojenezin başlatılması, periferik kan monositlerinden profibrotik aracı maddelerin salınması ve alternatif yolla etkinleşen makrofajlardaki polarizasyon gibi süreçleri inhibe ettiği gösterilmiştir. Ayrıca, nintedanibin organ fibrozisindeki temel süreçleri, fibroblastların proliferasyon ve migrasyonunu ve aktif miyofibroblast fenotipine dönüşümünü ve ekstraselüler matris salgılanmasını inhibe ettiği de belirlenmiştir. İPF, SSk/SSk-İAH, romatoid artrit ilebağlantılı (RA)-İAH ve diğer organ fibrozisiyle ilgili çok sayıda hayvan modelinde de nintedanib anti-enflamatuvar etki sağlamış ve akciğer, cilt, kalp, böbrek ve karaciğerde anti-fibrotik etkiler göstermiştir. Nintedanib aynı zamanda damarlar üzerinde de etki göstermiştir. Dermal mikrovasküler endotelyal hücre apoptozisini azaltmış ve vasküler düz kas hücre proliferasyonunu, pulmoner damar duvar kalınlığını ve tıkalı pulmoner damarların yüzdesini de düşürerek pulmoner vasküler remodeling'i azaltmıştır.
Klinik etkililik ve güvenlilik İdiyopatik pulmoner fibrozis (IPF)
Nintedanibin klinik etkililiği, IPF hastalarında, aynı tasarımlı iki Faz III, randomize, çift-kör, plasebo kontrollü, çalışmada (INPULSIS-1 (1199.32) ve INPULSIS-2 (1199.34)) çalışılmıştır. FVC başlangıç değeri öngörülene göre <%50 olan veya başlangıçtaki karbon monoksit difüzyon kapasitesi (DLCO, hemoglobine göre düzeltilmiş) beklenene göre <%30 olan hastalar çalışma dışı bırakılmıştır. Hastalar, 52 hafta süreyle, günde iki kez OFEV 150 mg grubuna veya plasebo grubuna 3:2 oranında randomize edilmiştir.
Primer sonlanım noktası, zorlanmış vital kapasitedeki (Forced Vital Capacity = FVC) azalmanın yıllık oranı olarak belirlenmiştir. Kilit sekonder sonlanım noktaları ise, 52. haftada Saint George Solunum Anketi (Saint George's Respiratory Questionnaire (SGRQ)) total skorunda başlangıca göre değişme ve ilk akut IPF alevlenmesine kadar geçen zamandır.
FVC değerindeki düşmenin yıllık oranı
FVC değerindeki düşmenin (mL olarak) yıllık oranı, nintedanib alan hastalarda, plasebo alanlara göre, anlamlı şekilde azalmıştır. Tedavi etkisi her iki çalışmada da tutarlıdır. Bireysel ve havuzlanmış çalışma sonuçları için bkz. Tablo 3.
|
INPULSIS-1 |
INPULSIS-2 | INPULSIS-1 ve INPULSIS-2 havuzlanmış | |||
| Plasebo | Ofev 150 mg Günde iki kez | Plasebo | Ofev 150 mg Günde iki kez | Plasebo | Ofev 150 mg Günde iki kez |
Analiz edilen hasta sayısı |
204 |
309 |
219 |
329 |
423 |
638 |
52 haftadaki düşme oranı (SE) |
−239,9 (18,71) |
−114,7 (15,33) |
−207,3 (19,31) |
−113,6 (15,73) |
−223,5 (13,45) |
−113,6 (10,98) |
Plaseboyla karşılaştırma | ||||||
Fark |
| 125,3 |
| 93,7 |
| 109,9 |
%95 GA |
| (77,7, 172,8) |
| (44,8, 142,7) |
| (75,9, 144) |
p-değeri |
| <0,0001 |
| 0,0002 |
| <0,0001 |
Tablo 3: INPULSIS-1, INPULSIS-2 çalışmalarına ve bunların havuzlanmış verilerine göre FVC (ml) değerindeki düşmenin yıllık oranı - tedavi edilenlere ait set
1Rastgele katsayılı regresyon modeline göre tahmin edilen GA: Güven aralığı
52. haftada eksik verileri olan hastalarda, gözlenen son değerden sonra FVC azalmasının tüm plasebo hastalarındaki gibi aynı olacağını varsayan bir sensitivite analizinde, nintedanib ve plasebo arasında yıllık azalma hızındaki uyarlanmış fark, INPULSIS-1 çalışmasında 113,9 mL/yıl (% 95 GA 69,2, 158,5) ve INPULSIS-2 çalışmasında 83,3 mL/yıl (% 95 GA 37,6, 129) olmuştur.
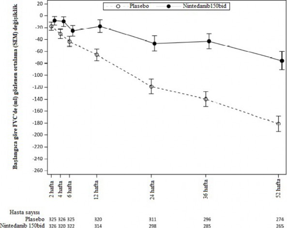
INPULSIS-1 ve INPULSIS-2 çalışmalarının havuzlanmış analizlerine dayanarak, her iki tedavi grubunda zaman içinde başlangıca göre ortaya çıkan değişikliklerin değerlendirmesi için Şekil 1'e bakınız.
Şekil 1: FVC değerinde başlangıca göre zaman içinde gözlenen değişikliklerin ortalaması (SEM) (INPULSIS -1 ve INPULSIS-2 çalışmaları havuzlanmıştır)

bid= günde iki kez
FVC yanıt analizi
Her iki INPULSIS çalışmasında da, “öngörülen % FVC değerindeki mutlak düşüşün %5'ten daha fazla olmadığı (Bu, IPF hastalarında mortalite riskindeki artışı gösteren eşik değeridir) hastalar†şeklinde tanımlanan FVC yanıt verenlerin oranı, nintedanib grubunda plasebo grubuna göre, anlamlı derecede daha yüksektir. Konservatif %10 eşik değerinin kullanıldığı analizlerde de benzer sonuçlar gözlenmiştir. Bireysel ve havuzlanmış çalışma sonuçları için bkz. Tablo 4.
Tablo 4: INPULSIS-1 ve INPULSIS-2 çalışmalarına ve bunların havuzlanmış verilerine göre
52. haftada FVC yanıtı verenlerin oranı - tedavi edilenlere ait set
|
INPULSIS-1 |
INPULSIS-2 | INPULSIS-1 ve INPULSIS-2 havuzlanmış | |||
| Plasebo | Ofev 150 mg Günde iki kez | Plasebo | Ofev 150 mg Günde iki kez | Plasebo | Ofev 150 mg Günde iki kez |
Analiz edilen hasta sayısı |
204 |
309 |
219 |
329 |
423 |
638 |
%5 eşik | ||||||
FVC yanıt |
78 (38,2) |
163 (52,8) |
86 (39,3) |
175 (53,2) |
164 (38,8) |
338 (53) |
verenlerin sayısı(%) | ||||||
Plaseboyla karşılaştırma | ||||||
Odds Oranı |
| 1,85 |
| 1,79 |
| 1,84 |
%95 GA |
| (1,28, 2,66) |
| (1,26, 2,55) |
| (1,43, 2,36) |
p-değeri |
| 0,001 |
| 0,0011 |
| <0,0001 |
%10 eşik | ||||||
FVC yanıt |
116 (56,9) |
218 (70,6) |
140 (63,9) |
229 (69,6) |
256 (60,5) |
447 (70,1) |
verenlerin sayısı(%) | ||||||
Plaseboyla karşılaştırma | ||||||
Odds Oranı |
| 1,91 |
| 1,29 |
| 1,58 |
%95 GA |
| (1,32, 2,79) |
| (0,89, 1,86) |
| (1,21, 2,05) |
p-değeri |
| 0,0007 |
| 0,1833 |
| 0,0007 |
Progresyona kadar geçen süre (öngörülen FVC değerinden ≥ %10 mutlak düşme veya ölüm)
Her iki INPULSIS çalışmasında, plaseboyla kıyaslandığında, nintedanible tedavi edilen hastalarda progresyon riski, istatistiksel açıdan anlamlı derecede azalmıştır. Havuzlanmış analizlerde, tehlike oranı 0,6'dır. Bu değer, plaseboyla kıyaslandığında, nintedanible tedavi edilen hastalarda progresyon riskinin %40 azaldığını gösterir.
Tablo 5: INPULSIS-1, INPULSIS-2 çalışmaları ve bunların havuzlanmış verilerine göre, 52 hafta boyunca öngörülen % FVC değerinde ≥%10 mutlak azalma veya ölüm yaşayan hastaların sıklığı ve progresyona kadar geçen süre - tedavi edilenlere ait set
|
INPULSIS-1 |
INPULSIS-2 | INPULSIS-1 ve INPULSIS- 2havuzlanmış | |||
| Plasebo | Ofev 150 mg Günde iki | Plasebo | Ofev 150 mg Günde iki kez | Plasebo | Ofev 150 mg Günde iki |
|
| kez |
|
|
| kez |
Risk altındaki sayı | 204 | 309 | 219 | 329 | 423 | 638 |
Olay yaşayan hastalar, N (%) | 83 (40,7) | 75 (24,3) | 92 (42) | 98 (29,8) | 175 (41,4) | 173 (27,1) |
Plaseboyla karşılaştırma | ||||||
p-değeri |
| 0,0001 |
| 0,0054 |
| <0,0001 |
Tehlike oranı |
| 0,53 |
| 0,67 |
| 0,6 |
%95 GA |
| (0,39, 0,72) |
| (0,51, 0,89) |
| (0,49, 0,74) |
52. haftada SGRQ total değerinin başlangıca göre değişimi
INPULSIS çalışmalarının havuz analizinde, başlangıç SGRQ skoru nintedanib grubunda 39,51 ve plasebo grubunda 39,58'dir. 52. haftaya kadar SGRQ total skorunda başlangıç değerine göre tahmin edilen ortalama değişme, nintedanib grubunda (3,53), plaseboya (4,96) göre daha küçüktür, tedavi grupları arasındaki farklılık, -1,43'tür (%95 GA; -3,09, 0,23; p= 0,0923). Genel olarak bakıldığında, SGRQ total skoru ile ölçülen sağlıkla ilgili yaşam kalitesi üzerinde nintedanibin etkisi orta derecededir ve bu durum plaseboya göre daha az bir kötüleşmeyi işaret eder.
İlk akut IPF alevlenmesine kadar geçen süre
INPULSIS çalışmalarının havuzlanmış analizinde, nintedanib alan hastalarda, plaseboya göre, sayısal olarak daha düşük bir ilk akut alevlenme riski gözlenmiştir. Bireysel ve havuzlanmış çalışma sonuçları için Tablo 6'ya bakınız.
Tablo 6 INPULSIS-1, INPULSIS-2 çalışmaları ve bunların havuzlanmış verilerine göre, araştırıcının bildirdiği olaylara dayanarak, 52 hafta boyunca akut IPF alevlenmesi gösteren hastaların sıklığı ve ilk alevlenmeye kadar geçen zaman analizi - Tedavi edilenlere ait set
|
INPULSIS-1 |
INPULSIS-2 | INPULSIS-1 ve INPULSIS-2 Havuzlanmış | |||
| Plasebo | Ofev 150 mg Günde iki kez | Plasebo | Ofev 150 mg Günde iki kez | Plasebo | Ofev 150 mg Günde iki kez |
Risk altındaki sayı | 204 | 309 | 219 | 329 | 423 | 638 |
Olay yaşayan hastalar, N (%) |
11 (5,4) |
19 (6,1) |
21 (9,6) |
12 (3,6) |
32 (7,6) |
31 (4,9) |
Plaseboyla karşılaştırma | ||||||
p-değeri |
| 0,6728 |
| 0,005 |
| 0,0823 |
Tehlike oranı |
| 1,15 |
| 0,38 |
| 0,64 |
%95 GA |
| (0,54, 2,42) |
| (0,19, 0,77) |
| (0,39, 1,05) |
. Önceden belirlenmiş bir sensitivite analizinde 52 hafta içinde ortaya çıkan, karara bağlanmış en az 1 akut IPF alevlenmesine sahip hastaların sıklığı, nintedanib grubunda (hastaların % 1,9'u) plasebo grubuna (hastaların % 5,7'si) göre daha düşüktür. Havuzlanmış veriler kullanılarak karara bağlanmış alevlenme olaylarının olaya kadar geçen süre analizinde, tehlike oranı 0,32'dir (%95 GA 0,16, 0,65; p= 0,001).
Sağkalım analizi
INPULSIS çalışmalarında sağkalım verilerinin önceden tanımlanmış havuz analizlerinde, 52 hafta boyunca genel mortalite, nintedanib grubunda (%5,5) plasebo grubuna (%7,8) göre daha düşük bulunmuştur. Ölüme kadar geçen sürenin analizinde, tehlike oranı olarak 0,7 (%95 GA 0,43, 1,12; p= 0,1399) bulunmuştur. Tüm sağkalım sonlanım noktalarının sonuçları (tedavi sırasında ölüm ve solunuma bağlı ölüm gibi), nintedanib lehine tutarlı bir sayısal farklılık göstermiştir.
Tablo 7. INPULSIS-1, INPULSIS-2 çalışmaları ve bunların havuzlanmış verilerine göre 52 hafta boyunca tüm nedenlere bağlı mortalite -tedavi edilenlere ait set
|
INPULSIS-1 |
INPULSIS-2 | INPULSIS-1 ve INPULSIS-2 havuzlanmış | |||
| Plasebo | Ofev 150 mg Günde iki kez | Plasebo | Ofev 150 mg Günde iki kez | Plasebo | Ofev 150 mg Günde iki kez |
Risk altındaki sayı | 204 | 309 | 219 | 329 | 423 | 638 |
Olay yaşayan hastalar, N (%) |
13 (6,4) |
13 (4,2) |
20 (9,1) |
22 (6,7) |
33 (7,8) |
35 (5,5) |
Plaseboyla karşılaştırma | ||||||
p-değeri |
| 0,288 |
| 0,2995 |
| 0,1399 |
Tehlike oranı |
| 0,63 |
| 0,74 |
| 0,7 |
%95 GA |
| (0,29, 1,36) |
| (0,4, 1,35) |
| (0,43, 1,12) |
IPF'li hastalarda (INPULSIS-ON) OFEV ile uzun süreli tedavi
OFEV'in açık etiketli bir uzatma çalışması olan INPULSIS-ON, IPF'li 734 hastayı içermiştir. INPULSIS çalışmasında 52 haftalık tedavi periyodunu tamamlayan hastalar, INPULSIS-ON açık etiketli uzatma çalışmasında OFEV tedavisi almıştır. Hem INPULSIS hem de INPULSIS-ON çalışmalarında OFEV ile tedavi edilen hastalar için medyan maruz kalma süresi 44,7 aydır (11,9 - 68,3). Eksploratif etkililik sonlanım noktaları, 192 hafta boyunca OFEV ile tedavi edilen tüm hastalarda FVC'de −135,1 (5,8) mL / yıl olan yıllık düşüş oranını içermektedir. Bu da INPULSIS faz III çalışmalarında OFEV ile tedavi edilen hastalarda yıllık FVC düşüş oranıyla (-113,6 mL/yıl) tutarlıdır. INPULSIS-ON'daki OFEV'in advers olay profili, INPULSIS faz III çalısmasındaki profille tutarlıdır.
İleri akciğer fonksiyon bozukluğu olan IPF hastaları (INSTAGE)
INSTAGE, 24 hafta boyunca ileri akciğer fonksiyon bozukluğu (DLCO ≤% 35 öngörülen) olan IPF hastalarında çok merkezli, çok uluslu, prospektif, randomize, çift kör, paralel grup bir klinik çalışmadır. 136 hasta OFEV monoterapisi ile tedavi edilmiştir. Birincil sonlanım sonucu, başlangıca göre ayarlanmış ortalama değişikliğe göre St Georges Solunum Anketi (SGRQ) toplam skorunda W12 haftasında -0.77 birim azalma göstermiştir. Post hoc karşılaştırması, bu hastalardaki FVC'deki düşüşün, daha az ilerlemiş hastalığı olan ve INPULSIS faz III çalışmalarında OFEV ile tedavi edilen hastalardaki FVC'deki düşüş ile tutarlı olduğunu göstermiştir.
İleri akciğer fonksiyon bozukluğu olan IPF hastalarında OFEV'in güvenlilik ve tolere edilebilirlik profili, INPULSIS faz III çalışmalarında görülen ile tutarlıdır.
Günde iki kez 150 mg OFEV ve ekleme tedavisi pirfenidon ile yapılan Faz IV INJOURNEY çalışmasından elde edilen ek veriler:
Nintedanib ve pirfenidonla eş zamanlı tedavi, randomize edilmiş 105 hastada 12 hafta süreyle, günde iki kez 150 mg nintedanib ve bu tedaviye ek olarak pirfenidon tedavisi (günde üç kez 801 mg'a titre edilmiştir) ile tek başına günde iki kez 150 mg nintedanib tedavisini karşılaştıran, eksploratif, açık etiketli, randomize çalışmada araştırılmıştır. Primer sonlanım noktası, başlangıçtan 12. haftaya kadar geçen sürede gastrointestinal advers olay yaşayan hastaların yüzdesidir. Gastrointestinal advers olaylar sık olarak görülmüştür ve her bir bileşenin bilinen güvenlilik profili ile tutarlı bulunmuştur. Nintedanibe eklenen pirfenidon tedavisine karşı tek başına nintedanib uygulanmasında, sırası ile diyare, bulantı ve kusma en sık bildirilen advers olaylardır.
12. haftada, FVC değerinde başlangıca göre ortalama (SE) mutlak değişiklik, nintedanibe ekleme tedavisi olarak pirfenidon alan hastalarda (n=48) -13,3 (17,4) mL , buna karşılık, tek başına nintedanib alan hastalarda (n= 44) -40,9 (31,4) mL olmuştur.
Progresif fenotipli diğer kronik fibrozan interstisyel akciğer hastalıkları (İAH'ler)
OFEV tedavisinin progresif fenotipli diğer kronik fibrozan İAH'leri olan hastalardaki klinik etkililiği, çift kör, randomize, plasebo kontrollü bir faz III çalışmada (INBUILD) araştırılmıştır. IPF hastaları dahil edilmemiştir. Klinik olarak kronik fibrozan İAH tanısı alan hastalar, yüksek çözünürlüklü bilgisayarlı tomografide (HRCT) fibrozis ( %10'dan fazla fibrotik özellikler) mevcut olması ve klinik progresyon belirtileri (taramadan önceki 24 ay içinde ≥ %10 FVC azalması, ≥ %5 ve <%10 FVC azalması ile birlikte semptomların veya görüntüntüleme bulgularının kötüleşmesi veya semptomların ve görüntüleme bulgularının kötüleşmesi olarak tanımlanmıştır) sergilemeleri durumunda seçilmiştir. Hastaların öngörülenin %45'ine eşit veya daha yüksek bir FVC değerine ve öngörülenin %30'u ila
%80'i arasında bir DLCO değerine sahip olmaları gereklidir. Hastalarda mevcut İAH tanısına uygun hastalık yönetiminin yapılmasına karşın progresyon görülmesi gereklidir.
Toplam 663 hasta, en az 52 hafta süreyle OFEV 150 mg bid veya plasebo almak üzere 1:1 oranında randomize edilmiştir. Tüm çalışma boyunca medyan OFEV maruziyeti: 17,4 ay ve tüm çalışma boyunca ortalama OFEV maruziyeti 15,6 aydır. Randomizasyon, merkezi okuyucular tarafından değerlendirildiği üzere HRCT fibrotik paternine göre katmanlandırılmıştır. HRCT'de usual interstisyel pnömoni (UIP) benzeri fibrotik paterni olan 412 hasta ve diğer HRCT fibrotik paternleri olan 251 hasta randomize edilmiştir. Bu araştırmada analizlere yönelik olarak tanımlanan 2 ko- primer popülasyon bulunmaktadır: tüm hastalar (genel popülasyon) ve HRCT'de UIP benzeri fibrotik paterni olan hastalar. Diğer HRCT fibrotik paternleri olan hastalar ise 'tamamlayıcı' popülasyonu temsil etmiştir.
Primer sonlanım noktası, 52 haftalık dönemde zorlu vital kapasitedeki (FVC) yıllık azalma hızıdır (mL olarak). Ana sekonder sonlanım noktaları; 52. haftada King Kısa İnterstisyel Akciğer Hastalığı Anketi (K-BILD) toplam skorunda başlangıca göre elde edilen mutlak değişiklik, 52 haftalık dönemde ilk akut İAH alevlenmesine ya da ölüme kadar geçen süre ve 52 haftalık dönemde ölüme kadar geçen süre olmuştur.
Hastaların ortalama (standart sapma [SD, Min-Maks]) yaşı 65,8 (9,8, 27-87) yıl ve ortalama öngörülen FVC yüzdesi %69,0 (15,6, 42-137) olarak belirlenmiştir. Araştırmada temsil edilen gruplarda altta yatan klinik İAH tanıları; hipersensitivite pnömonisi (%26,1), otoimmün İAH'ler (%25,6), idiyopatik non-spesifik interstisyel pnömoni (%18,9), sınırlandırılamayan idiyopatik interstisyel pnömoni (%17,2) ve diğer İAH'lerdir (%12,2).
INBUILD çalışması nintedanibin özel tanı alt gruplarında yararını kanıtlamak üzere tasarlanmamış
ve bu amaca göre yönlendirilmemiştir. İAH tanılarına göre ayrılmış alt gruplardaki etkisi tutarlı bulunmuştur. Nintedanib ile deneyim, çok nadir görülen progresif fibrozan İAH'ler için sınırlıdır.
FVC'deki yıllık azalma hızı
52 hafta boyunca FVC'deki yıllık azalma hızı (mL olarak), plasebo alan hastalara kıyasla, OFEV alan hastalarda anlamlı olarak 107,0 mL azalmıştır (Tablo 8) ve bunun karşılık geldiği göreceli tedavi etkisi % 57,0'dir.
Tablo 8: 52 hafta boyunca değerlendirilen FVC'deki yıllık azalma hızı (mL)
| Plasebo | Ofev Günde iki kez 150 mg |
Analiz edilen hasta sayısı | 331 | 332 |
52 haftada azalma hızı (SE) | -187,8 (14,8) | -80,8 (15,1) |
Plaseboya kıyasla karşılaştırma | ||
Fark |
| 107,0 |
%95 GA |
| (65,4, 148,5) |
p değeri |
| <0,0001 |
HRCT'de UIP benzeri fibrotik paterni olan hastalardan oluşan ko-primer popülasyonda benzer sonuçlar gözlemlenmiştir. Ayrıca tedavi etkisinin, diğer HRCT fibrotik paternleri olan hastalardan oluşan tamamlayıcı popülasyonda tutarlı olduğu belirlenmiştir (etkileşim p değeri 0,2268) (Şekil 2).
Şekil 2 Hasta popülasyonlarında 52 haftada FVC'deki yıllık azalma hızına (ml) ilişkin forest grafiği

bid= günde iki kez, GA:güven aralığı
FVC'deki yıllık düşüş hızının azaltılması üzerinde OFEV etkisinin sonuçları, önceden belirlenmiş tüm duyarlılık analizlerinde doğrulanmış olup, önceden belirlenmiş etkililik alt gruplarında (örneğin, cinsiyet, yaş grubu, ırk, öngörülen başlangıç % FVC değeri ve gruplarda altta yatan asıl klinik İAH tanısı) tutarlı sonuçlar gözlemlenmiştir.
Şekil 3'te, tedavi gruplarında FVC'deki değişikliğin başlangıca göre zaman içinde değişimi gösterilmektedir.
Şekil 3 52 hafta boyunca başlangıca göre FVC'de gözlenen ortalama (SEM) değişiklik [mL]

bid= günde iki kez
Ek olarak, OFEV'in 52. haftada öngörülen % FVC değerinde başlangıca göre ayarlanmış ortalama mutlak değişim üzerinde olumlu etkileri gözlenmiştir. Öngörülen % FVC değerinde başlangıçtan 52. haftaya kadar gözlenen ayarlanmış ortalama mutlak değişiklik plasebo grubuna (-%5,86) kıyasla nintedanib grubunda daha düşüktür (-%2,62). Tedavi grupları arasındaki ayarlanmış ortalama fark 3,24'tür (%95 GA: 2,09, 4,40, nominal p<0,0001).
FVC yanıt analizi
FVC yanıtı veren hastaların oranı (% FVC değerinde öngörülen göreceli düşüşün %5'ten daha büyük olmadığı hastalar olarak tanımlanmıştır), plasebo grubuna kıyasla OFEV grubunda daha yüksektir. Benzer sonuçlar, % 10'luk bir eşik değeri kullanılarak yapılan analizlerde benzer sonuçlar gözlenmiştir (Tablo 9).
Tablo 9: INBUILD çalışmasında 52. haftada FVC yanıtı veren hastaların oranı
| Plasebo | OFEV Günde iki kez 150 mg |
Analiz edilen hasta sayısı | 331 | 332 |
%5 eşik | ||
FVC yanıtı veren hastaların oranı (%) | 104 (31,4) | 158 (47,6) |
Plaseboyla karşılaştırma | ||
Olasılık (odds) oranı |
| 2,01 |
%95 GA |
| (1,46, 2,76) |
Nominal p değeri |
| <0,0001 |
%10 eşik | ||
FVC yanıtı veren hastaların sayısı (%) | 169 (51,1) | 197 (59,3) |
Plaseboyla karşılaştırma | ||
Olasılık (odds) oranı |
| 1,42 |
%95 GA |
| (1,04, 1,94) |
Nominal p değeri |
| 0,0268 |
%5'in veya %10'un üzerinde göreceli düşüş göstermeyen hastalardır (52. haftada verileri eksik olan hastalar, yanıt vermeyen hastalar olarak değerlendirilmiştir).
İlk akut İAH alevlenmesine ya da ölüme kadar geçen süre
Tüm klinik çalışma boyunca ilk akut İAH alevlenmesi veya ölüm bakımından en az bir olay görülen hastaların oranı, OFEV grubunda % 13,9 ve plasebo grubunda %19,6 olarak belirlenmiştir. HR değeri 0,67'dir (%95 GA: 0,46, 0,98; nominal p=0,0387) ve bu değer, plasebo alan hastalara kıyasla OFEV alan hastalarda ilk akut İAH alevlenmesi veya ölüm riskinde %33 oranında bir azalmayı göstermektedir (Şekil 4).
Şekil 4 Tüm araştırma genelinde ilk akut İAH alevlenmesine veya ölüme kadar geçen süreye ilişkin Kaplan-Meier grafiği

bid: günde iki kez
Sağkalım analizi
Plasebo grubu ile karşılaştırıldığında OFEV grubunda ölüm riski daha düşüktür. HR değeri 0,78'dir (%95 GA: 0,50, 1,21; nominal p=0,2594) ve bu değer, plasebo alan hastalara kıyasla OFEV alan hastalarda ölüm riskinde %22 oranında bir azalmayı göstermektedir.
Progresyona (öngörülen %FVC değerinden ≥%10 mutlak düşüş) veya ölüme kadar geçen süre INBUILD çalışmasında, progresyon (öngörülen %FVC değerinden ≥%10 mutlak düşüş) veya ölüm riski OFEV ile tedavi edilen hastalar için azalmıştır.
Bir olay yaşayan hastaların oranı OFEV grubunda % 40,4 ve plasebo grubunda % 54,7'tür. HR değeri 0,66'dır (%95 GA: 0,53, 0,83; p=0,0003) ve bu değer, plasebo alan hastalara kıyasla OFEV alan hastalarda progresyon (öngörülen %FVC değerinden ≥%10 mutlak düşüş) veya ölüm riskinde %34 oranında bir azalma olduğunu göstermektedir.
Yaşam kalitesi
52. haftada K-BILD toplam skorunda başlangıca göre elde edilen ayarlanmış ortalama değişiklik, plasebo grubunda -0,79 birim ve OFEV grubunda 0,55 birim olmuştur. Tedavi grupları arasındaki
fark 1,34 birim olmuştur (%95 GA: -0,31, 2,98; nominal p=0,1115).
52. haftada Pulmoner Fibrozis İle Yaşamak (Living with Pulmonary Fibrosis (L-PF)) anketinde semptomları dispne alan skorunda başlangıca göre ortaya çıkan ayarlanmış ortalama mutlak değişiklik, plasebo grubundaki 7,81'e kıyasla OFEV grubunda 4,28 olarak belirlenmiştir. Gruplar arasındaki ayarlanmış ortalama fark OFEV lehine -3,53 olarak hesaplanmıştır (%95 GA: -6,14, -0,92; nominal p=0,0081). 52. haftada L-PF semptomları öksürük alan skorunda başlangıca göre ortaya çıkan ayarlanmış ortalama mutlak değişiklik, plasebo grubunda 4,25'e kıyasla OFEV grubunda -1,84 olarak belirlenmiştir. Gruplar arasındaki ayarlanmış ortalama fark OFEV lehine -6,09 olarak hesaplanmıştır (%95 GA: -9,65, -2,53; nominal p=0,0008).
Sistemik skleroza bağlı interstisyel akciğer hastalığı (SSk-İAH)
Çift kör, randomize, plasebo kontrollü bir faz III çalışmada (SENSCIS) OFEV'in SSk-IAH hastalarındaki klinik etkililiği incelenmiştir. SSk-İAH tanısı için 2013 tarihli Amerikan Romatoloji Koleji/Avrupa Romatizmayla Mücadele Ligi SSk sınıflama kriterleri ve son 12 ay içerisinde çekilmiş yüksek çözünürlüklü bilgisayarlı tomografi (HRCT) görüntüleri kullanılmıştır. Toplam 580 hasta en az 52 hafta süreyle günde iki kez 150 mg OFEV ya da plasebo kullanacak şekilde 1:1 oranında randomize edilmiştir, bu hastalardan 576'sı tedavi görmüştür. Randomizasyon katmanlarını oluşturmak için antitopoizomeraz antikor durumu (ATA) kullanılmıştır. Körlemeli tedavinin 100 haftaya kadar sürdürüldüğü vakalar olmuştur (medyan OFEV maruziyet süresi 15,4 ay ve ortalama OFEV maruziyeti süresi ise 14,5 ay).
Primer sonlanım noktası 52 haftalık sürede FVC'deki azalma hızıdır. Ana sekonder sonlanım noktaları modifiye Rodnan Cilt Skoru'nda (mRSS) başlangıçtan 52. haftaya kadar mutlak değişim ve Saint George Solunum Anketi (SGRQ) total skorunda başlangıçtan 52. haftaya kadar mutlak değişimdir.
Genel popülasyonda hastaların % 75,2'si kadındır ve yaş ortalaması (standart sapma ï›SD, min-maksï) 54 (12,2, 20-79) yıldır. Toplamda hastaların %51,9'unda diffüz kutanöz sistemik skleroz (SSk) ve % 48,1'inde sınırlı kutanöz SSk mevcuttur. Raynaud dışı bir semptomun ilk başlama tarihinden itibaren geçen ortalama (SD) süre 3,49 (1,7) yıldır. Hastaların %49'u başlangıçta stabil dozda mikofenolat (% 46,5 mikofenolat mofetil, % 1,9 mikofenolat sodyum, % 0,5 mikofenolik asit) kullanmaktadır. Başlangıçta mikofenolat kullanan ve kullanmayan hastaların güvenlilik profilleri karşılaştırılabilirdir.
FVC'de yıllık kayıp hızı
Plasebo kullanan hastalarla karşılaştırıldığında, OFEV kullanan hastaların FVC değerlerinde (mL) 52 haftalık süre boyunca kayıp hızı anlamlı olarak 41 mL azalmıştır (Tablo 10) ve bunun karşılık geldiği göreceli tedavi etkisi % 43,8'dir.
Tablo 10: 52 haftalık sürede FVC'deki (mL) yıllık kayıp hızı
| Plasebo | OFEV 150 mg günde iki kez |
İncelenen hasta sayısı | 288 | 287 |
52 haftada azalma hızı (SE) | -93,3 (13,5) | -52,4 (13,8) |
Plasebo ile karşılaştırma | ||
Fark |
| 41,0 |
%95 GA |
| (2,9, 79,0) |
p-değeri |
| < 0,05 |
Önceden belirlenmiş duyarlılık analizlerinde OFEV'in FVC'deki yıllık kayıp hızını azaltma etkisi benzer bulunmuş ve önceden tanımlanmış alt gruplarda (örneğin, yaş, cinsiyet ve mikofenolat kullanımına göre) heterojenite saptanmamıştır.
Ayrıca, 52. haftada akciğer fonksiyonuyla ilgili diğer sonlanım noktalarında (örneğin, 52. haftada başlangıç FVC değerine göre mutlak değişim (Şekil 5 ve Tablo 11) ve 52 haftalık sürede öngörülen FVC değerinde % olarak azalma hızı (Tablo 12)) benzer etkiler gözlenmiş olması da OFEV'in SSk- İAH progresyonunu yavaşlattığı yönünde ek kanıt sağlamaktadır. Bunun dışında, mutlak FVC değerinin beklenenden >%5 azaldığı hastaların sayısı da (OFEV grubunda %20,6, plasebo grubunda
%28,5, OR=0,65, p=0,0287) OFEV grubunda daha düşüktür. Rölatif FVC değerinde mL olarak > % 10 azalma olan hasta oranı her iki grupta karşılaştırılabilirdir (OFEV grubunda % 16,7 ve plasebo grubunda % 18,1, OR=0.91, p=0,6842). Bu analizlerde, 52. haftadaki eksik FVC değerlerinin yerine, hastanın tedavi sırasındaki en kötü değerleri konulmuştur.
100 haftaya (SENSCIS'teki maksimum tedavi süresi) kadar sürdürülen eksploratif (araştırma amaçlı) bir analizde, OFEV'in SSk-İAH progresyonunu yavaşlatıcı etkisinin 52. haftadan sonra devam ettiğini düşündüren bulgulara ulaşılmıştır.
Şekil 5: 52 haftalık sürede FVC'de (mL) başlangıca göre ortalama (SEM) değişim.

bid: günde iki kez
Tablo 11: 52. haftada FVC'de (mL) başlangıca göre mutlak değişim
| Placebo | OFEV 150 mg günde iki kez |
İncelenen hasta sayısı | 288 | 288 |
Başlangıçta ortalama (SD) | 2541 (815,5) | 2458,5 (735,9) |
52. haftada başlangıca göre ortalama (SE) değişim | -101 (13,6) | -54,6 (13,9) |
Plasebo ile karşılaştırma |
|
|
Ortalama |
| 46,4 |
%95 GA |
| (8,1, 84,7) |
p değeri |
| <0,05 |
Tablo 12: 52 haftalık sürede FVC'deki yıllık kayıp hızı (beklenenin %'si)
| Plasebo | OFEV 150 mg günde iki kez |
Değerlendirilen hasta sayısı | 288 | 287 |
52 haftada azalma hızı (SE) | -2,6 (0,4) | -1,4 (0,4) |
Plasebo ile karşılaştırma |
|
|
Farklılık |
| 1,15 |
%95 GA |
| (0,09, 2,21) |
p değeri |
| <0,05 |
52. haftada Modifiye Rodnan Cilt Skorunda (mRSS) başlangıca göre değişim
OFEV grubu (-2,17 (%95 GA -2,69, -1,65)) ve plasebo (-1,96 (%95 GA -2,48, -1,45)) grubunda
başlangıçtan 52. haftaya kadar mRSS'deki ayarlanmış ortalama mutlak değişim karşılaştırılabilirdir. Tedavi grupları arasındaki ayarlanmış ortalama farklılık -0,21'dir (%95 GA -0,94, 0,53; p=0,5785).
52. haftada S. George Solunum Anketi (SGRQ) total skorunda başlangıca göre değişim
OFEV grubu (0,81 (%95 GA -0,92, 2,55)) ve plasebo grubunda (-0,88 (%95 GA -2,58, 0,82)) başlangıçtan 52. haftaya kadar SGRQ total skorundaki ortalama mutlak değişim karşılaştırılabilirdir. Tedavi grupları arasında ayarlanmış ortalama farklılık 1,69'dur (%95 GA -0,73, 4,12; p=0,1711).
Sağkalım analizi
Çalışma boyunca mortalite oranları OFEV grubunda (n=10; % 3,5) ve plasebo grubunda (n=9; %3,1) karşılaştırılabilirdir. Çalışmanın tümü boyunca ölüme kadar geçen süre analizlerinde elde edilen HR (tehlike oranı) değeri 1,16'dır (%95 GA 0,47, 2,84; p=0,7535).
QT aralığı
Renal hücre kanserli hastalarda yapılan özel bir çalışmada, QT/QTc ölçümleri kaydedilmiş ve gerek oral tek doz 200 mg nintedanib ile ve gerekse 15 gün boyunca günde iki kez çoklu oral dozları uygulanan 200 mg nintedanib ile QTcF aralığının uzamadığı gösterilmiştir.
Pediyatrik popülasyon
Avrupa İlaç Ajansı, idiyopatik pulmoner fibrozis için pediyatrik popülasyonun tüm alt gruplarında OFEV ile yapılan çalışmaların sonuçlarını bildirme zorunluluğunu kaldırmıştır (pediyatrik kullanımla ilgili bilgi için bölüm 4.2'ye bakınız).
5.2. Farmakokinetik özellikler
Genel özelliklerEmilim:
Nintedanib, tokluk koşullarında, yumuşak jelatin kapsül şeklinde, oral uygulamadan yaklaşık 2-4 saat sonra maksimum plazma konsantrasyonuna ulaşmıştır (aralık 0,5-8 saat). Sağlıklı gönüllülerde 100 mg dozun mutlak biyoyararlanımı %4,69 olmuştur (%90 GA: 3,615-6,078). Emilim ve biyoyararlanım, taşıyıcı etkiler ve belirgin ilk geçiş metabolizmasıyla azalır. Doz orantısallığı, nintedanib maruziyetinde artışla gösterilmiştir (doz aralığı 50-450 mg günde bir kez ve 150-300 mg günde iki kez). Kararlı durum plazma konsantrasyonlarına, en geç, dozlamanın ilk haftası içinde ulaşılmıştır.
Yemekten sonra alındığında, açlık durumundaki uygulamaya kıyasla, nintedanibe maruziyet yaklaşık
%20 artmıştır (GA: % 95,3-% 152,5) ve emilim gecikmiştir (medyan taçlıkta: 2 saat; toklukta: 3,98 saat).
Dağılım:
Nintedanib, en az bifazik dispozisyon kinetiği gösterir. İntravenöz infüzyondan sonra yüksek bir dağılım hacmi (V: 1.050 L, %45 gCV) gözlenmiştir.
Nintedanibin in vitro olarak insan plazmasında proteinlere bağlanma oranı yüksektir (bağlanma fraksiyonu %97,8). Serum albümini majör bağlanma proteini olarak kabul edilmektedir. Nintedanib, plazmada tercihli şekilde, 0,869'luk bir kan/plazma oranıyla dağılmaktadır.
Biyotransformasyon:
Nintedanibin başlıca metabolik reaksiyonu, esterazlar tarafından hidrolitik kırılmadır ve serbest asit kısmı olan BIBF 1202 ile sonuçlanır. Daha sonra BIBF 1202, uridin 5'-difosfo- glukuronosiltransferaz (UGT) enzimleri, yani UGT 1A1, UGT 1A7, UGT 1A8 ve UGT 1A10 tarafından BIBF 1202 glukuronide glukuronidlenir.
Nintedanib biyotransformasyonunun sadece küçük bir kısmı, başlıca enzim CYP 3A4 olmak üzere, CYP yolaklarından gerçekleşir. Majör CYP bağımlı metabolit, insan emilim-dağılım- metabolizma- atılım çalışmasında plazmada saptanamamıştır. İn vitro, CYP'ye bağımlı metabolizma yaklaşık
%5'ten sorumludur, buna karşılık esterle kırılma yaklaşık %25'ten sorumludur. Nintedanib, BIBF 1202 ve BIBF 1202 glukuronid, preklinik çalışmalarda CYP enzimlerini inhibe etmemiş ve indüklememiştir. Bu nedenle, nintedanib ile CYP substratları, CYP inhibitörleri veya CYP indükleyicileri arasında etkileşme beklenmez.
Eliminasyon:
İntravenöz infüzyondan sonra toplam plazma klerensi yüksektir (CL: 1,39 mL/dk, % 28,8 gCV). Değişmemiş aktif maddenin 48 saat içindeki üriner atılımı, oral uygulama sonrasında dozun yaklaşık
% 0,05'i (%31,5 gCV), intravenöz uygulamadan sonra dozun yaklaşık % 1,4'üdür (%24,2 gCV); renal klerens 20 ml/dk (%32,6 gCV) bulunmuştur. Nintedanibin oral uygulamasından sonra, ilaçla ilişkili radyoaktivitenin majör eliminasyon yolu, fekal/safra atılımıdır (dozun % 93,4'ü, % 2,61 gCV). Renal atılımın toplam klerense katkısı düşüktür (dozun % 0,649'u, % 26,3 gCV). Doza başlanmasından sonra 4 gün içinde genel geri kazanımın tamamlandığı (% 90'ın üzerinde) kabul edilmiştir. Nintedanibin terminal yarılanma ömrü 10 ila 15 saat arasındadır (% gCV yaklaşık % 50).
Doğrusallık/doğrusal olmayan durum:
Nintedanib farmakokinetiğinin zamana göre doğrusal olduğu kabul edilebilir (yani, tek doz verileri çoklu doz verilerine ekstrapole edilebilir). Çoklu uygulamalara bağlı birikim Ciçin 1,04 kat ve EAAiçin 1,38 kat olmuştur. Nintedanib çukur konsantrasyonları bir yıldan daha uzun bir süre stabil kalmıştır.
Taşınma:
Nintedanib P-gp'nin bir substratıdır. Nintedanibin bu taşıyıcı ile etkileşme potansiyeli için bölüm
4.5'e bakınız. Nintedanibin, OATP-1B1, OATP-1B3, OATP-2B1, OCT-2 veya MRP- 2'nin bir substratı veya inhibitörü olmadığı in vitro koşullarda gösterilmiştir. Nintedanib bir BCRP substratı da değildir. Yalnızca, OCT-1, BCRP ve P-gp üzerinde zayıf bir inhibitör potansiyel, in vitro koşullarda, gözlenmiştir, bu durumun klinik anlamlılığının düşük olduğu düşünülmüştür. Aynı durum, nintedanibin bir OCT-1 substratı olması için de geçerlidir.
Hastalardaki karakteristik özellikler
Nintedanibin farmakokinetik özellikleri, sağlıklı gönüllüler, IPF hastaları, progresif fenotipli diğer kronik fibrozan İAH hastaları, SSk-İAH hastaları ve kanser hastalarında benzerdir. IPF ve küçük hücreli olmayan akciğer kanseri (NSCLC) hastalarında (N = 1.191) yürütülen bir popülasyon farmakokinetiği (PopPK) analizinin ve tanımlayıcı araştırmaların sonuçlarına göre, nintedanibe maruziyet, cinsiyet (vücut ağırlığına göre düzeltilmiş), hafif ve orta dereceli böbrek yetmezliği (kreatinin klerensi ile tahmin edilen), alkol tüketimi veya P-gp genotipinden etkilenmemiştir.
Popülasyon farmakokinetiği analizleri, yaş, vücut ağırlığı ve ırk faktörlerine bağlı olarak, nintedanib maruziyeti üzerinde orta derecede etkileri işaret etmiştir (bkz. Aşağıdaki bilgiler). Maruziyetteki yüksek bireylerarası değişkenlikler nedeniyle, gözlenen bu orta dereceli etkilerin klinik olarak önemli olmadığı kabul edilmiştir (bkz. Bölüm 4.4).
Yaş:
Nintedanibe maruziyet yaşla lineer olarak artmıştır. EAA, medyan yaş olan 62 yıla göre, 45 yaşındaki bir hastada % 16 azalmış ve 76 yaşındaki bir hastada ise % 13 artmıştır. Analizlerde 29-85 yaş arası kapsanmıştır. Popülasyonun yaklaşık %5'i 75 yaşın üzerindedir. Bir popülasyon farmakokinetiği modeline göre, 65 yaş altındaki hastalarla kıyaslandığında, 75 yaş ve üzeri hastalarda nintedanib maruziyetinde yaklaşık %20-25 artış gözlenmiştir.
Pediyatrik popülasyonda çalışma yürütülmemiştir. Vücut ağırlığı:
Vücut ağırlığı ve nintedanibe maruziyet arasında ters bir korelasyon gözlenmiştir. EAA, medyan
kilo olan 71,5 kg ağırlığındaki bir hastaya göre, 50 kg'lık bir hastada (5. persentil) % 25 artmış ve 100 kg'lık bir hastada (95. persentil) % 19 azalmıştır.
Irk:
Nintedanibe popülasyon ortalama maruziyeti, beyaz ırkla kıyaslandığında (vücut ağırlığına göre düzeltme yapılarak), Korelilerde % 16-22 daha düşükken, Çinli, Tayvanlı ve Hintli hastalarda %33- 50 ve Japon hastalarda ise % 16 daha yüksek bulunmuştur. Siyah ırktan bireylere ait veriler çok sınırlıdır, ancak beyaz ırkla aynı aralıktadır.
Karaciğer bozukluğu:
Özel bir tek doz faz I çalışmasında ve sağlıklı gönüllülerle karşılaştırıldığında, Cve EAA değerlerine dayanarak nintedanibe maruziyet, hafif karaciğer yetmezliği (Child Pugh A; GA
% 90 sırasıyla, Ciçin 1,3-3,7 ve EAA için 1,2-3,8) olan gönüllülerde 2,2 kat daha yüksek bulunmuştur. Orta derecede karaciğer yetmezliği olan (Child Pugh B) gönülllülerde, sağlıklı gönüllülerle karşılaştırıldığında, maruziyet, sırasıyla, C'a (GA %90 4,4-13,2) göre, 7,6 kat ve EAA değerine (GA %90 5,7-13,1) göre 8,7 kat daha yüksek bulunmuştur. Şiddetli karaciğer yetmezliği olan bireylerde (Child Pugh C) çalışma yapılmamıştır.
Pirfenidon ile birlikte tedavi:
Özel bir farmakokinetik çalışmada, IPF hastalarında, nintedanib ile eş zamanlı pirfenidon tedavisi araştırılmıştır. Grup 1, pirfenidonun günde üç kez 801 mg'a titre edilmesinden önce ve sonra, kararlı durumda, tek doz 150 mg nintedanib almıştır (tedavi edilen hasta sayısı=20). Grup 2, günde üç kez 801 mg kararlı durum pirfenidon tedavisi almış ve eş zamanlı nintedanib tedavisinden önce ve en az 7 gün süreyle günde iki kez 150 mg nintedanib eş zamanlı uygulamasından sonra bir farmakokinetik profilleme yapılmıştır (tedavi edilen hasta sayısı=17). Grup 1'de, nintedanibin Cve EAAiçin uyarlanmış geometrik ortalaması oranları (güven aralığı (GA) %90) sırası ile %93 (%57 - %151) ve
%96 (%70 - %131) olmuştur (bireyler arası karşılaştırma için n= 12). Grup 2'de, pirfenidonun C
ve EAAiçin uyarlanmış geometrik ortalama oranları (güven aralığı (GA) %90) sırası ile %97 (% 86- % 110) ve % 95 (% 86 - % 106) olmuştur (bireyler arası karşılaştırma için n= 12).
Bu sonuçlara dayanarak, kombinasyon şeklinde uygulandığında, nintedanib ile pirfenidon arasında önemli bir farmakokinetik ilaç-ilaç etkileşimini gösteren bir kanıt yoktur (bkz. Bölüm 4.4).
Bosentan ile eşzamanlı tedavi
Özel bir farmakokinetik çalışmasında, sağlıklı gönüllülerde bosentan ile eş zamanlı OFEV tedavisi araştırılmıştır. Katılımcılara kararlı durumda günde iki kez 125 mg bosentan ile gerçekleştirilen çok dozlu tedavi öncesinde ve sonrasında 150 mg OFEV tek doz olarak uygulanmıştır. Nintedanibin Cve EAAdeğerlerine ait ayarlanmış geometrik ortalama değerler (% 90 güven aralıkları (GA)) sırasıyla %103 (% 86-% 124) ve % 99 (% 91-%107) (n=13) olarak bulunmuştur; bu bulgular nintedanibin bosentan ile birlikte uygulanmasının nintedanib farmakokinetiğini değiştirmediğini göstermektedir.
Oral hormonal kontraseptiflerle eşzamanlı tedavi
Özel bir farmakokinetik çalışmada, SSc-ILD'li kadın hastalar, en az 10 gün süreyle, günde iki kez 150 mg nintedanib dozundan önce ve sonra, 30 mcg etinilestradiol ve 150 mcg levonorgestrel kombinasyonundan oluşan tek bir doz almıştır. Ayarlanmış geometrik ortalama oranlar (% 90 güven aralığı (CI)), etinilestradiol ve levonorgestrel için sırasıyla % 101 (% 90 -% 113; Cmaks) ve % 96 (% 91 -% 102; EAA) (n = 15) olup, nintedanibin birlikte uygulanmasının etinilestradiol ve levonorgestrelin plazma maruziyeti üzerinde herhangi bir etkisi olmadığını göstermektedir.
Maruziyet yanıt ilişkisi
İPF ve progresif fenotipli diğer kronik fibrozan İAH hastalarının maruziyet yanıt ilişki analizleri, nintedanibin plazma maruziyeti ile ALT ve/veya AST yükselmeleri arasında zayıf bir ilişki olduğunu göstermiştir. Plazma maruziyeti her ne kadar risk belirleyici bir faktör olarak dışlanamaz ise de, uygulanan gerçek doz, herhangi bir yoğunluktaki diyare gelişme riskinin daha iyi bir öngörücüsü olabilir (bkz. Bölüm 4.4).
5.3. Klinik öncesi güvenlilik verileri
Grip, Soğuk Algınlığı ve Öksürük
Grip ve soğuk algınlığı (nezle) semptomları arasındaki farkı bilmek önemlidir. Soğuk algınlığı gripten daha hafif belirtiler gösteren bir solunum yolu hastalığıdır. |
HIV ve Aids
HIV, Human Immunodeficiency Virus’dür (İnsanlarda Bağışıklık Sistemini Bozan
Virüsdür). Bu virüs AIDS hastalığına sebep olur. |
İLAÇ GENEL BİLGİLERİ
Boehringer Ingelheim İlaç Tic. A.Ş.
| Geri Ödeme Kodu | A16391 |
| Satış Fiyatı | 49054.16 TL [ 4 May 2026 ] |
| Önceki Satış Fiyatı | 49054.16 TL [ 27 Apr 2026 ] |
| Original / Jenerik | Original İlaç |
| Reçete Durumu | Normal Reçeteli bir ilaçdır. |
| Barkodu | 8699693190093 |
| Etkin Madde | Nintedanib |
| ATC Kodu | L01EX09 |
| Birim Miktar | 150 |
| Birim Cinsi | MG |
| Ambalaj Miktarı | 60 |
| Antineoplastik ve İmmünomodülatör Ajanlar |
| İthal ( ref. ülke : Yunanistan ) ve Beşeri bir ilaçdır. |
İLAÇ EŞDEĞERLERİ
| Eşdeğer İlaç Adı | Barkodu | İlaç Fiyatı |
|---|---|---|
| Eşdeğer bir ilaç bulunamadı |
![]() |
Şizofrenlik Şizofrenliğin psikiatrik teşhisi hakkında çok fazla anlaşmazlık vardır. Bu sayfadaki bilgiler, şizofrenliğin teşhisi, nedenleri ve tedavisi hakkındaki faklı teoriler hakkında bilgi verecektir. |
![]() |
Kalp Krizi Kalbe giden kan akışı durduğunda kalp krizi meydana gelir. |
![]() |
Mesane Kanseri Mesane kanseri her zaman mukozada başlar. Erken safhalarda bu tabakada sınırlı kalır ve hücre içindeki karsinom olarak nitelendirilir. |




