NEUTAXAN 60 mg/1.5 ml infüzyon için konsantre çözelti içeren 1 flakon + 1 çözücü flakon Farmakolojik Özellikler
{ Kabazitaksel }
5. FARMAKOLOJİK ÖZELLİKLER
5.1. Farmakodinamik özellikler
Farmakoterapötik grup: Antineoplastik ilaçlar, taksanlar ATC Kodu: L01CD04
Etki mekanizması
Kabazitaksel bir antineoplastik ilaç olup hücrelerin tubulin'in mikrotübüler ağını bozarak etki göstermektedir. Kabazitaksel tubulin'e bağlanır ve mikrotübüllere girerek beraberliğe eşlik eder ve aynı zamanda bu beraberliğin bozulmasını engeller. Bu durum mitotik ve interfaz sellüler işlevlerin inhibisyonuna yol açacak biçimde mikrotübül stabilizasyonuna yol açar.
Farmakodinamik etkiler
Kabazitaksel, farelerde ileri insan tümörü ksenograflarında geniş bir antitümör aktivite göstermiştir. Kabazitaksel dosetaksele duyarlı tümörlere karşı aktiftir. İlave olarak, kabazitaksel dosetaksel dahil olmak üzere kemoterapiye duyarsız tümör modellerinde de aktivite göstermiştir.
Klinik etkililik ve güvenlilik
Prednizon ya da prednizolon kombinasyonunda kabazitaksel etkililik ve güvenliliği, önceden dosetaksel içeren rejim ile tedavi görmüş metastatik kastrasyona dirençli prostat kanseri hastalarında yürütülen randomize, açık etiketli, uluslararası, çok merkezli bir faz III çalışmasında (EFC6193) değerlendirilmiştir.
Toplam 755 hasta en fazla 10 siklus 3 hafta ara ile günde 10 mg oral prednizon ya da prednizolon eşliğinde kabazitaksel 25 mg/m iv (n=378) ya da mitoksantron 12 mg/m iv tedavilerine randomize edilmiştir (n=377).
Çalışmaya 18 yaşından büyük, metastatik kastrasyona dirençli prostat kanseri olup RECIST ölçütleri ile ölçülebilir ya da ölçülemeyen hastalığı olup PSA düzeyinde yükselme ya da yeni lezyon saptanmış olan ve Doğu Kooperatif Onkoloji Grubu (ECOG) performans durumu 0-2 arasındaki hastalar katılmıştır. Hastaların nötrofil sayısı >1500/mm, trombosit sayısı
>100.000/mm, hemoglobin >10 gr/dl, kreatinin <1,5 x NÜS, total bilirubin <1 x NÜS, AST ve ALT <1,5 x NÜS olması istenmiştir.
Son 6 ayda konjestif kalp yetmezliği ya da miyokard enfarktüsü öyküsü olan hastalar ya da kontrolsüz kardiyak aritmi, anjina pektoris ve/veya hipertansiyonu olan hastalar çalışmaya alınmamıştır.
Yaş, ırk ve Doğu Kooperatif Onkoloji Grubu (ECOG) performans durumunu (0-2) içeren demografik veriler tedavi grupları arasında dengelenmiştir. Kabazitaksel grubunda ortalama yaş 68 (46-92)'dir.
Medyan siklus sayısı kabazitaksel grubunda 6 ve mitoksantron grubunda 4 olmuştur. Çalışma tedavisini tamamlayan (10 siklus) hasta oranı kabazitaksel grubunda %29,4 ve karşılaştırma grubunda %13,5 olmuştur.
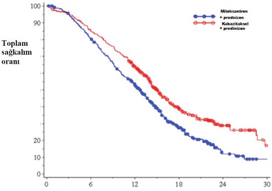
Toplam sağkalım kabazitaksel grubunda mitoksantron grubuna göre anlamlı derecede uzun bulunmuştur (15,1 aya 12,7 ay); ölüm riskinde mitoksantron grubuna göre %30 azalma saptanmıştır.
Tablo 2 - EFC6193 çalışmasında metastatik kastrasyona dirençli prostat kanseri hastalarının tedavisinde kabazitaksel etkililiği
| kabazitaksel + prednizon n=378 | mitoksantron+prednizon n=377 |
Toplam sağkalım |
|
|
Ölen hasta sayısı (%) | 234 (%61,9) | 279 (%74) |
Medyan sağkalım (ay) | 15,1 (14,1-16,3) | 12,7 (11,6-13,7) |
(%95 Güvenlik aralığı) |
|
|
Risk oranı (RO) | 0,70 (0,59-0,83) |
|
(%95 Güvenlik aralığı) |
|
|
p değeri | <0,0001 |
|
Şekil 1: Kaplan Meier toplam sağkalım eğrileri (EFC6193)

Risk altındaki hasta sayısı |
|
| Zaman (ay) |
| |
Mitoksantron 377 | 300 | 188 | 67 | 11 | 1 |
+prednizon |
|
|
|
|
|
Kabazitaksel 378 | 321 | 231 | 90 | 28 | 4 |
+prednizon |
|
|
|
|
|
Kabazitaksel kolunda mitoksantron koluna göre anlamlı PFS düzelmesi saptanmıştır, 2,8 (2,4- 3,0) aya 1,4 (1,4-1,7), HR (%95 GA) 0,74 (0,64-0,86), p<0,0001.
Kabazitaksel kolunda mitoksantron koluna göre tümör yanıtı oranı anlamlı derecede yüksek bulunmuştur: %14,4 (%95 GA: 9,6-19,3) - %4,4 (%95 GA: 1,6-7,2) (p=0,0005).
Kabazitaksel kolunda PSA ikincil sonlanımları pozitif bulunmuştur. Kabazitaksel kolundaki hastalarda 6,4 ay (%95 GA: 5,1-7,3) ve mitoksantron kolundaki hastalarda 3,1 ay (%95 GA:
2,2-4,4) olup HR 0,75 ay (%95 GA: 0,63-0,90) bulunmuştur, p=0,0010. PSA yanıtı
kabazitaksel kolunda %39,2 (%95 GA: 33,9-44,5) ve mitoksantron kolunda %17,8 (%95 GA:
13,7-22,0) bulunmuştur (p=0,0002).
Ağrı progresyonu ve ağrı yanıtında tedavi kolları arasında istatistiksel olarak anlamlı fark saptanmamıştır.
Çok merkezli, çok uluslu, randomize, açık etiketli bir faz III eşit etkililik çalışmasında (EFC11785 çalışması), önceden dosetaksel içeren bir rejim ile tedavi edilen metastatik kastrasyona dirençli prostat kanserli 1200 hasta 25 mg/m (n = 602) veya 20 mg / m (n = 598) kabazitaksel alacak şekilde randomize edilmiştir. Primer etkililik sonlanım noktası genel sağkalım (OS) olmuştur.
Bu çalışma, 25 mg/m ile karşılaştırıldığında kabazitaksel 20 mg/m'nin eşit etkinliğini gösterme konusundaki primer amacı karşılamıştır (Bkz. Tablo 3). 20 mg/m grubuna (% 29,5) kıyasla 25 mg/m grubunda (% 42,9) istatistiksel olarak anlamlı derecede daha yüksek bir hasta yüzdesi (p <0,001) PSA yanıtı göstermiştir. 25 mg/m'lik doza göre 20 mg/m alan hastalarda istatistiksel olarak anlamlı derecede daha yüksek PSA progresyon riski gözlenmiştir (HR 1,195;
% 95 GA: 1,025 ila 1,393). Diğer sekonder sonlanım noktaları (PFS, tümör ve ağrı yanıtı, tümör ve ağrı progresyonu ve dört FACT-P alt kategorisi) bakımından istatistiksel olarak bir fark saptanmamıştır.
Tablo 3 - EFC11785 çalışmasında kabazitaksel 25 mg/m kolu ile kabazitaksel 20 mg/m kolu için genel sağkalım (tedavi amaçlı analiz) – Primer etkililik sonlanım noktası
| CBZ20+PRED n=598 | CBZ25+PRED n=602 |
Genel sağkalım Ölüm sayısı, n (%) |
497 (83,1 %) |
501 (83,2%) |
Medyan sağkalım (%95 GA) (ay) | 13,4 (12,19 to 14,88) | 14,5 (13,47 to 15,28) |
Tehlike Oranı CBZ25+PRED'e karşı |
1,024 |
|
|
| - |
1 yanlı %98,89 UCI | 1,184 | - |
1 yanlı %95 LCI | 0,922 | - |
CBZ20=Kabazitaksel 20 mg/m, CBZ25= Kabazitaksel 25 mg/m, PRED=Prednizon/Prednizolon GA=güven aralığı, LCI=güven aralığının alt sınırı, UCI=
güven aralığının üst sınırı
Kabazitaksel 25 mg/m'nin EFC11785 çalışmasında gözlenen güvenlilik profili, EFC6193 çalışmasında gözlemlenene kalitatif ve kantitatif olarak benzer bulunmuştur. EFC11785 çalışması, kabazitaksel 20 mg/m dozu için daha iyi bir güvenlilik profili göstermiştir.
Tablo 4 - EFC11785 çalışmasında kabazitaxel 25 mg/m kolu ile kabazitaxel 20 mg/m kolu için güvenlilik verilerinin özeti
![]()
CBZ20+PRED n=580
CBZ25+PRED n=595
Medyan kür hafta sayısı/medyan tedavi süresi | 6/ | 18 | 7/ 21 hafta |
Doz azaltımı yapılan 20 mg/m'den 15 mg/m'ye: | 25 mg/m'den 20 mg/ m'ye : | ||
hasta sayısı 58 (%10,0) | 128 (%21,5) | ||
n (%) 15 mg/m'den 12 mg/ m'ye: | 20 mg/m'den 15 mg/ m'ye: 1 | ||
9 (%1,6) | 9 (%3,2) | ||
| 15 mg/m'den 12 mg/ m'ye | ||
Tüm derecelerdeki advers reaksiyonlar(%) | 1 (%0,2) | ||
Diyare | 30,7 | 39,8 | |
Bulantı | 24,5 | 32,1 | |
Yorgunluk | 24,7 | 27,1 | |
Hematüri | 14,1 | 20,8 | |
Asteni | 15,3 | 19,7 | |
İştah azalması | 13,1 | 18,5 | |
Kusma | 14,5 | 18,2 | |
Konstipasyon | 17,6 | 18,0 | |
Sırt ağrısı | 11,0 | 13,9 | |
Klinik nötropeni | 3,1 | 10,9 | |
İdrar yolları enfeksiyonu | 6,9 | 10,8 | |
Periferik duyusal nöropati | 6,6 | 10,6 | |
Disguzi | 7,1 | 10,6 | |
Derece ≥ 3 advers reaksiyonlar(%) Klinik nötropeni 2,4 |
9,6 | ||
Febril nötropeni | 2,1 | 9,2 | |
Hematolojik anormallikler(%) |
| ||
Derece ≥ 3 nötropeni | 41,8 | 73,3 | |
Derece ≥ 3 anemi | 9,9 | 13,7 | |
Derece ≥ 3 trombositopeni
| 2,6
| 4,2 | |
CBZ20=Kabazitaksel 20 mg/m, CBZ25= Kabazitaksel 25 mg/m PRED=Prednizon/Prednizolon
a İnsidansı %10'un üzerinde olan tüm derecelerdeki advers reaksiyonlar
b İnsidansı %5'ten yüksek olan derece ≥ 3 advers reaksiyonlar
c Laboratuvar değerlerine göre
Pediyatrik popülasyon
Avrupa İlaç Ajansı, pediyatrik popülasyonun tüm alt gruplarında prostat kanseri endikasyonunda kabazitaksel ile yapılan çalışmaların sonuçlarını sunma yükümlülüğünden feragat etmiştir (Pediyatrik kullanıma yönelik bilgi için Bkz. Bölüm 4.2).
Kabazitaksel, toplam 39 pediyatrik hastada (çalışmanın faz 1 kısmı için 4 ila 18 yaşları arasında ve faz 2 kısmı için 3 ila 16 yaşları arasındaki hastalar) yapılmış bir açık etiketli, çok merkezli Faz 1/2 çalışmasında değerlendirilmiştir. Faz 2 kısmı, 30 mg/m ile tedavi edilen ve tekrarlayan veya refrakter diffüz intrinsik pontin gliyomu (DIPG) ve yüksek dereceli gliyom (HGG) izlenen pediyatrik popülasyonda tek ajan olarak kabazitakselin etkililiğini göstermemiştir.
5.2. Farmakokinetik özellikler
İleri solid tümör (n=69), metastatik meme kanseri (n=34) ve metastatik prostat kanseri (n=67) hastalarını içeren 170 hastada bir popülasyon farmakokinetik analizi yürütülmüştür. Bu hastalar 3 hafta ara ile haftalık 10-30 mg/m dozda kabazitaksel kullanmıştır.
Emilim:
25 mg/m kabazitakselin 1 saatlik IV uygulaması ardından metastatik prostat kanseri hastalarında (n=67) C226 ng/ml (Değişim katsayısı (CV): %107) olup, bu değere 1 saatlik infüzyon sonunda ulaşılmıştır (T). Ortalama EAA 991 ng.saat/ml (CV: %34) olmuştur. İleri solid tümörü olan hastalarda (n=126) 10-30 mg/m doz aralığında doz oransallığında majör sapma gözlenmemiştir.
Dağılım:
Kararlı durumda dağılım hacmi (Vss) 4870 litre olarak (2640 l/m; medyan vücut yüzey alanı (VYA) 1.84 m bulunmuştur.
İn vitro, kabazitakselin insanda serum proteinlerine bağlanma oranı %89 -92 olup 50.000 ng/ml konsantrasyona dek satürasyon sağlanmamıştır. Kabazitaksel esas olarak insanda serum albüminine (%82,0) ve lipoproteinlerine (%87,9 HDL, %69,8 LDL ve %55,8 VLDL) bağlanır. İn vitro koşullarda insan kanında kan-plazma konsantrasyon oranı 0,90-0,99 olup kabazitakselin kan ve plazmaya dağılımının eşit olduğunu göstermiştir.
Biyotransformasyon:
Kabazitaksel karaciğerde yaygın biçimde metabolize olur (>%95), esas olarak CYP3A4 izoenzimi metabolizmadan sorumludur (%80-90). Kabazitaksel insan plazmasında dolaşımdaki temel bileşiktir. Plazmada yedi metabolit saptanmıştır (O-demetilasyondan ortaya çıkan 3 aktif metaboliti de içeren); temel bir metabolit ana ilaç maruziyetinin %5'inden sorumludur. İnsanda idrar ve feçes ile yaklaşık 20 kabazitaksel metaboliti atılmaktadır.
İn vitro çalışmalar temelinde kabazitakselin klinik konsantrasyonlarında CYP3A enziminin temel substratı olan ilaçları potansiyel baskılama riski mevcuttur. Kabazitaksel diğer CYP enzimlerini (1A2, 2B6, 2C9, 2C8, 2C19, 2E1 ve 2D6) inhibe etmez. Kabazitaksel ayrıca in vitro ortamda CYP izozimlerini (CYP1A, CYP2C9 ve CYP3A) indüklememiştir.
İnsanlarda yapılan etkileşim çalışmalarında, kabazitakselin (1 saatlik tek bir infüzyon halinde uygulanan 25 mg/m dozunda), bir CYP3A prob substratı olan midazolamın plazma düzeylerini etkilemediği gösterilmiştir. Dolayısıyla kabazitaksel in vivo koşullarda bir CYP3A inhibitörü değildir.
Kabazitaksel in vitro koşullarda varfarinin CYP2C9 ile sağlanan ve 7-hidroksivarfarine dönüştüğü majör transformasyon yolağını baskılamamıştır. Bu nedenle in vivo koşullarda
kabazitaksel ile varfarin arasında farmakokinetik etkileşim beklenmez. Kabazitaksel esas olarak CYP3A ile metabolize olduğundan güçlü CYP3A indükleyicisi ya da inhibitörü ilaçlar plazma kabazitaksel konsantrasyonunu etkileyebilir. Günde 10 mg uygulanan prednizon ya da prednizolon kabazitakselin farmakokinetiğini etkilememiştir.
Kabazitakselin Çoklu İlaç Direnci Olan Proteinleri (ÇDP), Organik Katyon Taşıyıcısı OKT1, P-glikoprotein (PgP) (digoksin, vinblastin), meme kanseri rezistan proteinler (metotreksat) ve Organik Anyon Taşıyıcı Polipeptidler (OATP1B3) (CCK8) ile etkileşim riski in vivo koşullarda 25 mg/m dozda olası değildir. OATP1B1 (Estradiol-17β-glukuronit) taşıyıcısı ile etkileşim riski, özellikle infüzyon süresi (1 saat) ve infüzyon tamamlandıktan sonraki 20 dakika içinde söz konusudur.
Eliminasyon:
25 mg/m dozda 1 saatlik IV [C]-kabazitaksel infüzyonunda verilen dozun yaklaşık %80'i 2 hafta içinde atılmıştır. Kabazitaksel esas olarak feçesten çeşitli metabolitler halinde atılır (dozun
%76'sı); kabazitaksel ve metabolitlerinin renal atılımı dozun %4'ünden azdır (idrarda değişmemiş ürün oranı %2,3).
Kabazitakselin bir saatlik intravenöz infüzyon sonrasındaki plazma konsantrasyonları, α-, β-, ve γ- yarılanma ömürlerinin sırasıyla 4 dakika, 2 saat ve 95 saat olduğu üç kompartımanlı bir farmakokinetik modelle tanımlanabilir. Kabazitakselin plazma klerensi yüksek olup 48.5 l/saattir (medyan VYA 1,84 m olan hastalarda 26,4 l/saat/m).
İlaç Etkileşimleri
Güçlü bir CYP3A inhibitörü olan ketokonazolün (günde bir kez 400 mg) tekrarlanan uygulamaları, kabazitaksel klerensinde %20 oranında bir azalmaya neden olmuştur; bu, EAA'da %25'lik bir artışa karşılık gelmektedir. Orta derecede bir CYP3A inhibitörü olan aprepitantın eşzamanlı uygulaması, kabazitaksel klerensi veya maruziyeti üzerinde herhangi bir etkiye yol açmamıştır.
Güçlü bir CYP3A indükleyicisi olan rifampinin (günde bir kez 600 mg) tekrarlanan uygulamaları, kabazitaksel klerensinde %21 oranında bir artışa neden olmuştur; bu, EAA'da
%17'lik bir azalmaya karşılık gelmektedir.
Hastalardaki karakteristik özellikler
Yaşlılar:
≤65 yaş (n=100) ve üzerindeki (n=70) hastalar ile yapılan popülasyon FK (farmakokinetik) analizinde, kabazitakselin FK parametrelerine yaşın etkisi gözlenmemiştir.
Pediyatrik hastalar:
NEUTAXAN'ın çocuklarda ve 18 yaşın altındaki ergenlerdeki güvenliliği ve etkililiği saptanmamıştır.
Karaciğer yetmezliği:
Karaciğer yetmezliği olan hastalarda özel çalışma yürütülmemiştir. Bununla beraber, kabazitaksel primer olarak hepatik metabolizma aracılığıyla atıldığından, maruziyetin artması beklenebilir.
Böbrek yetmezliği:
Kabazitakselin böbrekler yolu ile atılımı çok düşük düzeydedir (dozun %2,3'ü). Böbrek
yetmezliği olan hastalarda kabazitaksel ile resmi farmakokinetik çalışmalar yürütülmemiştir. Bununla birlikte, 14 orta (kreatinin klerensi 30-50 ml/dk) ve 59 hafif (kreatinin klerensi 50-80 ml/dk) böbrek yetmezliği olan hastayı içeren ve 170 hasta ile yürütülen popülasyon farmakokinetik analizinde orta ve hafif böbrek yetmezliğinin kabazitaksel farmakokinetik parametreleri üzerinde anlamlı etkisi gözlenmemiştir.
Elektrokardiyogram üzerindeki etki:
Çok merkezli, açık, tek gruplu bir çalışmada, solid tümörü olan 94 hastaya üç haftada bir 25 mg/m dozunda kabazitaksel uygulanmıştır. Birinci kürün ilk gününde 24 saat süreyle yapılan değerlendirmelerde, ortalama QTc aralığında başlangıç değerlerine göre 10 ms üzerinde değişiklik gözlenmemiştir. Bununla birlikte, çalışma tasarımının kısıtlılıkları nedeniyle, QTc aralığında kabazitaksele bağlı hafif uzamalar (<10 ms) dışlanamaz.
5.3. Klinik öncesi güvenlilik verileri
Klinik çalışmalarda gözlenmeyen fakat köpeklerde tek doz, 5 gün ve haftalık uygulamalarda klinik maruziyet düzeyi altındaki maruziyetlerde gözlenen ve klinik ile ilişkili olabilecek advers reaksiyonlar karaciğerde arteriolar/periarterolar nekroz, safra kanalı hiperplazisi ve/veya hepatosellüler nekrozdur (Bkz. Bölüm 4.2).
Klinik çalışmalarda gözlenmeyen fakat sıçanlarda çoklu siklus uygulamalarında klinik maruziyet düzeyi üzerindeki maruziyetlerde gözlenen ve klinik ile ilişkili olabilecek advers reaksiyonlar subkapsüler lens lifi şişmesi/dejenerasyonu ile karakterize göz bozukluklarıdır. Bu etkiler 8 hafta sonra düzelmemiştir.
Kabazitaksel ile karsinojenisite çalışmaları yürütülmemiştir.
Kabazitaksel bakteriyal ters mutasyon (Ames) testinde mutasyona yol açmamıştır. İn vitro insan lenfosit (yapısal kromozom kırılmasına yol açmamış fakat polipoid hücre sayısını artırmıştır) testinde klastojenik bulunmamıştır ve ≥0.5 mg/kg dozlarında in vivo sıçan testinde mikronükleus artışına yol açmıştır. Bununla birlikte, bu genotoksisite bulguları bileşiğin farmakolojik etkinliğine bağlıdır (tübülin depolimerizasyonunu baskılar).
Kabazitaksel tedavi edilen erkek sıçanlarda çiftleşme performansını ya da fertiliteyi etkilememiştir. Bununla birlikte, çoklu siklus çalışmalarında sıçanlarda testiste seminal vezikül dejenerasyonu ve seminifer tüp atrofisi, köpeklerde minimal testiküler dejenerasyon (epididimiste minimal epiteliyal tek hücre nekrozu) gözlenmiştir. Hayvanlardaki maruziyet kabazitakseli klinik dozlarda kullanan insanlardaki maruziyet ile aynı ya da daha düşük olmuştur.
Sıçanlarda ve tavşanlarda yapılan klinik dışı çalışmalarda, kabazitakselin embriyotoksik, fetotoksik ve düşüğe yol açıcı etki gösterdiği gösterilmiştir. 6-17 gestasyonel günlerde, günde bir kez iv kabazitaksel uygulanan dişi sıçanlarda fetal ölüm ve iskelet kemikleşmesinde gecikmeye bağlı düşük doğum ağırlığı şeklindeki embriyofetal toksisite, kabazitakseli klinik dozlarda kullanan insanlardakinden daha düşük maruziyette gözlenmiştir. Kabazitaksel sıçanlarda plasentaya geçmiştir.
Sıçanlarda kabazitaksel ve metabolitleri 24 saatte verilen dozun %1,5'i oranında süte geçmiştir.
Çevresel Risk Değerlendirmesi (ERA)
Çevresel risk değerlendirme çalışmalarının sonuçları kabazitaksel kullanımının akuatik çevrede (su ortamında) anlamlı bir riske yol açmayacağını göstermiştir (Bkz. Bölüm 6.6 kullanılmamış ürünlerin atılması).
Belsoğukluğu, Chlamydia ve Frengi
Belsoğukluğu, bakterilerin sebep olduğu bir enfeksiyondur. Cinsel ilişki
yoluyla bulaşır ve dölyatağı boynunda, idrar yollarında, anüste, makatta ve
boğazda enfeksyona sebep olabilir. |
Şizofrenlik
Şizofrenliğin psikiatrik teşhisi hakkında çok fazla anlaşmazlık vardır. Bu
sayfadaki bilgiler, şizofrenliğin teşhisi, nedenleri ve tedavisi hakkındaki faklı teoriler
hakkında bilgi verecektir. |
İLAÇ GENEL BİLGİLERİ
Gensenta İlaç Sanayi A.Ş.
| Geri Ödeme Kodu | A16787 |
| Satış Fiyatı | 98448.48 TL [ 4 May 2026 ] |
| Önceki Satış Fiyatı | 98448.48 TL [ 27 Apr 2026 ] |
| Original / Jenerik | Jenerik İlaç |
| Reçete Durumu | Normal Reçeteli bir ilaçdır. |
| Barkodu | 8699541761116 |
| Etkin Madde | Kabazitaksel |
| ATC Kodu | L01CD04 |
| Birim Miktar | 60 |
| Birim Cinsi | MG |
| Ambalaj Miktarı | 1 |
| Antineoplastik ve İmmünomodülatör Ajanlar > Alkaloidler ve Diğer Doğal İlaçlar (64 ilaç) > Kabazitaksel |
| Yerli ve Beşeri bir ilaçdır. |
İLAÇ EŞDEĞERLERİ
| Eşdeğer İlaç Adı | Barkodu | İlaç Fiyatı |
|---|---|---|
| Eşdeğer bir ilaç bulunamadı |
![]() |
İnme İnme, beynin hasar görmesinin sonucudur. Bu hasar, beynin bir kısmındaki ya bir kanama ya da akut kan eksikliği nedeniyle o kısmın geçici ya da kalıcı olarak işlevini yapamamasına yol açar. |
![]() |
Aşırı Alkol Kullanımı, Alkolizm Alkol bağımlılığı, alkol kullanımı ve alkol sorunları arasındaki farkı açıklamak güçtür. Örneğin, geçmişte alkol kullanmış olan bir kimsenin mutlaka alkol bağımlısı olması gerekmez. |
![]() |
Artrit Artrit, oldukça yaygın bir hastalıktır ancak iyi anlaşılamamıştır. Aslında “artrit” tek bir hastalığın adı değildir; eklem ağrısı veya eklem hastalıklarını adlandırmanın gayri resmi yoludur. |




