ZYTIGA 500 mg film kaplı tablet (60 film kaplı tablet) Kısa Ürün Bilgisi
{ Abirateron }
1. BEŞERİ TIBBİ ÜRÜNÜN ADI
ZYTIGA 500 mg film kaplı tablet
2. KALİTATİF VE KANTİTATİF BİLEŞİM
Etkin madde
Her bir film kaplı tablet 500 mg abirateron asetat içerir.
Yardımcı maddeler
Her bir tablet 253,2 mg laktoz monohidrat (sığır kaynaklı), 78,4 mg kroskarmelloz sodyum ve 61,6 mg sodyum lauril sülfat içerir.
Yardımcı maddeler için Bölüm 6.1'e bakınız.
3. FARMASÖTİK FORMU
Film kaplı tablet
Mor, oval şekilli, bir tarafına “AA†ve diğer tarafına “500†basılmış film kaplı tablet (20 mm uzunluğunda ve 10 mm genişliğinde).
4. KLİNİK ÖZELLİKLER
4.1. Terapötik endikasyonlar
ZYTIGA, prednizolon ile birlikte aşağıdaki durumların tedavisinde endikedir:
Hormonal tedaviye duyarlı ancak kemoterapi için uygun olmayan* metastatik prostat kanserli
hastalarda progresyona kadar;
4.2. Pozoloji ve uygulama şekli
Bu tıbbi ürün uygun bir sağlık mesleği mensubu tarafından reçete edilmelidir.
Pozoloji, uygulama sıklığı ve süresi:
ZYTIGA günde tek doz şeklinde 1.000 mg (iki adet 500 mg tablet) olarak önerilmekte ve yiyeceklerle birlikte alınmamalıdır (uygulama şekli bölümüne bakınız). Tabletlerin yiyeceklerle birlikte alınması abiraterona sistemik maruziyeti arttırır (bkz. Bölüm 4.5 ve 5.2).
Prednizolon dozu
ZYTIGA, metastatik hormona duyarlı prostat kanserli hastalarda günde 5 mg prednizolon ile
birlikte kullanılır.
ZYTIGA, metastatik kastrasyona dirençli prostat kanserli hastalarda günde 10 mg prednizolon ile
birlikte kullanılır.
Cerrahi kastrasyon uygulanmamış hastalarda tedavi sırasında luteinizan hormon serbestleyici hormon (LHRH) analoğu ile tıbbi kastrasyona devam edilmelidir.
Önerilen izlem
ZYTIGA ile tedaviye başlamadan önce, tedavinin ilk üç ayında iki haftada bir, daha sonra ayda bir serum transaminaz düzeyleri ölçülmelidir. Kan basıncı, serum potasyumu ve sıvı retansiyonu aylık olarak izlenmelidir. Bununla birlikte, konjestif kalp yetmezliği açısından anlamlı bir risk taşıyan hastalar tedavinin ilk üç ayı boyunca 2 haftada bir, daha sonra ise ayda bir kere izlenmelidir (bkz. Bölüm 4.4).
Daha önceden hipokalemisi olan ya da ZYTIGA tedavisi sırasında hipokalemi gelişen hastalarda, hastanın potasyum düzeyinin 4.0 mM ve üzerinde tutulması değerlendirilmelidir.
Hipertansiyon, hipokalemi, ödem ve diğer mineralokortikoid dışı toksisiteler dahil olmak üzere, Derece 3 ve üzerinde toksisite gelişen hastalarda, tedavi durdurulmalı ve uygun tıbbi tedaviye başlanmalıdır. Toksisite semptomları Derece 1 ya da başlangıç düzeyine dönünceye kadar ZYTIGA tedavisine yeniden başlanmamalıdır.
ZYTIGA veya prednizolonun günlük dozunun alınmasının unutulması durumunda, tedaviye ertesi
gün olağan günlük dozla devam edilmelidir.
Uygulama şekli:
ZYTIGA ağızdan alınır.
ZYTIGA, yemeklerden en az 1 saat önce ya da yemekten en az iki saat sonra alınmalıdır. Tabletler bütün olarak suyla yutulmalıdır.
Özel popülasyonlara ilişkin ek bilgiler:
Hepatotoksisite:
Tedavi sırasında hepatotoksisite gelişen hastalarda (alanin aminotransferaz [ALT] veya aspartat aminotransferaz [AST] düzeylerinin normal kabul edilen üst sınırın 5 katından fazla yükselmesi) tedavi hemen durdurulmalıdır (bkz. Bölüm 4.4). Karaciğer fonksiyon testleri tedaviye başlamadan önceki başlangıç değerlerine döndükten sonra yeniden tedavi azaltılmış dozla günde 500 mg (bir tablet) olarak verilebilir. Tedaviye yeniden başlanan hastalarda serum transaminaz düzeyleri, tedavinin üç ay boyunca iki haftada minimum bir, daha sonra ise ayda bir ölçülmelidir. Azaltılmış 500 mg'lık günlük dozla da hepatotoksisite tekrarlarsa, tedavi tümüyle kesilmelidir.
Tedavinin herhangi bir döneminde ağır hepatotoksisite gelişmesi durumunda (ALT ya da AST düzeylerinin normal kabul edilen üst sınırın 20 katı kadar yükselmesi) tedaviye son verilmeli ve hastalara yeniden tedavi uygulanmamalıdır.
Karaciğer yetmezliği:
Önceden hafif şiddette karaciğer yetmezliği olan hastalarda (Child-Pugh Sınıf A) doz ayarlamasına
gerek yoktur.
Orta şiddette karaciğer yetmezliğinin (Child-Pugh sınıf B), abirateron asetatın oral yoldan tek doz halinde 1.000 mg alınması sonrası abiraterona sistemik maruziyeti yaklaşık dört kat arttırdığı gösterilmiştir (bkz. Bölüm 5.2). Orta şiddette veya ağır karaciğer yetmezliği (Child-Pugh sınıf B veya C) olan hastalarda uygulandığında abirateron asetatın birden fazla dozunun klinik güvenlilik ve etkililiğine ilişkin bir veri bulunmamaktadır. Doz ayarlaması öngörülemez. ZYTIGA kullanımı faydanın olası riskten açıkça ağır bastığı, orta şiddette karaciğer yetmezliğine sahip hastalarda dikkatle değerlendirilmelidir (bkz. Bölüm 4.2 ve 5.2). ZYTIGA şiddetli karaciğer yetmezliği olan hastalarda kullanılmamalıdır (bkz. Bölüm 4.3, 4.4 ve 5.2).
Böbrek yetmezliği:
Böbrek yetmezliği olan hastalarda doz ayarlamasına gerek yoktur (bkz. Bölüm 5.2). Ancak prostat kanserli ve ağır böbrek yetmezliği olan hastalarda klinik deneyim bulunmamaktadır. Bu hastalarda dikkatli olunması tavsiye edilmektedir (bkz. Bölüm 4.4).
Pediyatrik popülasyon:
Pediyatrik popülasyonda ZYTIGA kullanımı bulunmamaktadır.
Geriyatrik popülasyon:
Yaşlı hastalarda doz ayarlamasına ilişkin çalışma yapılmamıştır.
4.3. Kontrendikasyonlar
Etkin madde
varsa,
4.4. Özel kullanım uyarıları ve önlemleri
4.5. Diğer tıbbi ürünler ile etkileşimler ve diğer etkileşim şekilleri
Yiyeceklerin abirateron asetat üzerindeki etkisi
Abirateron asetatın yiyeceklerle birlikte alınması abirateron asetatın emilimini anlamlı derecede arttırır. ZYTIGA'nın yiyeceklerle birlikte verilmesi halindeki etkililik ve güvenliliği gösterilmemiştir, bu yüzden bu tıbbi ürün yiyeceklerle birlikte alınmamalıdır (bkz. Bölüm 4.2 ve 5.2).
4.5. Diğer tıbbi ürünler ile etkileşimler ve diğer etkileşim şekilleri
Diğer tıbbi ürünlerin abirateron maruziyetlerini etkileme potansiyeli
Güçlü bir CYP3A4 indükleyicisi olan rifampisin ile önce 6 gün boyunca günlük 600 mg dozunda tedavi edilen ve takiben tek bir 1.000 mg'lık abirateron asetat dozu verilen sağlıklı gönüllülerde yürütülen bir klinik farmakokinetik etkileşim çalışmasında, ortalama abirateron plazma EAAdeğeri % 55 azalmıştır.
Başka bir tedavi seçeneği olmadığı sürece tedavi sırasında güçlü CYP3A4 indükleyicilerinden kaçınılmalıdır (örneğin; fenitoin, karbamazepin, rifampisin, rifabutin, rifapentin, fenobarbital, St John's wort (sarı kantaron - Hypericum perforatum)).
Sağlıklı gönüllülerde yürütülen ayrı bir klinik farmakokinetik etkileşim çalışmasında, güçlü bir CYP3A4 inhibitörü olan ketokonazolün eşzamanlı uygulaması abirateron üzerinde klinik olarak anlamlı bir etki yaratmamıştır.
Abirateronun diğer ilaçların maruziyetini etkileme potansiyeli
Abirateron, hepatik ilaç metabolize eden CYP2D6 ve CYP2C8 enzimlerinin bir inhibitörüdür. Abirateron asetatın (artı prednizon) tek dozda alınan CYP2D6 substratı dekstrometorfan üzerindeki etkilerini belirlemek için yapılan bir çalışmada, dekstrometorfanın sistemik maruziyeti (EAA) yaklaşık 2,9 kat artmıştır. Dekstrometorfanın aktif metaboliti dekstrorfanın EAA'ü ise yaklaşık % 33 artmıştır.
ZYTIGA, özellikle dar terapötik indekse sahip tıbbi ürünler olmak üzere, CYP2D6 tarafından aktive veya metabolize edilen tıbbi ürünler ile birlikte alındığında dikkatli olunmalıdır. CYP2D6 tarafından metabolize edilen dar terapötik indekse sahip tıbbi ürünlerin dozunun azaltılması değerlendirilmelidir. CYP2D6 tarafından metabolize edilen tıbbi ürünlere örnek olarak metoprolol, propranolol, desipramin, venlafaksin, haloperidol, risperidon, propafenon, flekanid, kodein, oksikodon ve tramadol gösterilebilir (son üç tıbbi ürünün aktif analjezik metabolitlerinin oluşabilmesi için CYP2D6 gereklidir).
Sağlıklı gönüllüler üzerinde yapılan bir CYP2C8 ilaç-ilaç etkileşimi çalışmasında, pioglitazon
1000 mg'lık tek doz abirateron asetat ile birlikte verildiğinde, pioglitazonun EAA değeri % 46
artmış ve pioglitazonun aktif metabolitleri olan M-III ve M-IV için EAA değerleri % 10 azalmıştır. CYP2C8 substratı olan dar terapötik aralıklı ilaçlar ile birlikte ZYTIGA kullanılması durumunda hastalar toksisite semptomları açısından izlenmelidir. CYP2C8 tarafından metabolize edilen tıbbi ürün örnekleri arasında pioglitazon ve repaglinid bulunmaktadır (bkz. Bölüm 4.4).
İn vitro ortamda, majör metabolitler abirateron sülfat ve N-oksit abirateron sülfatın karaciğer alım transporteri OATP1B1'i inhibe ettiği ve sonuçta da OATP1B1 tarafından elimine edilen tıbbi ürünlerin konsantrasyonlarını artırabileceği gösterilmiştir. Transporter temelli etkileşimi teyit edecek klinik veri yoktur.
QT aralığını uzattığı bilinen ürünler ile kullanımı
Androjen azaltma tedavisi QT aralığını uzatabildiğinden, QT aralığını uzattığı bilinen tıbbi ürünler ile ZYTIGA uygulanırken veya sınıf IA (örn. Kinidin, disopiramid) ya da sınıf III (örn. Amiadoron, sotalol, dofetilid, ibutilid) gibi Torsade de pointes indükleyebilecek antiaritmatik tıbbi ürünler, metadon, moksifloksasin, antipsikotikler gibi ürünler ile verilirken dikkatli olunması önerilir.
Spironolakton ile kullanım
Spironolakton androjen reseptörüne bağlanır ve prostat spesifik antijen (PSA) seviyelerini artırabilir. ZYTIGA ile kullanımı önerilmez (bkz. Bölüm 5.1).
Özel popülasyonlara ilişkin ek bilgiler
Herhangi bir etkileşim çalışması yapılmamıştır.
Pediyatrik popülasyon:
Herhangi bir etkileşim çalışması yapılmamıştır.
4.6. Gebelik ve laktasyon
Gebelik kategorisi: X
ZYTIGA kadınlarda kullanımı olan bir ilaç değildir. ZYTIGA gebe olan ya da gebe olma olasılığı bulunan kadınlarda kontrendikedir (bkz. Bölüm 4.3 ve 5.3).
Çocuk doğurma potansiyeli bulunan kadınlar
Gebelikte ZYTIGA kullanımına ilişkin klinik bir veri mevcut değildir ve ZYTIGA çocuk doğurma potansiyeli bulunan kadınlarda kullanıma yönelik değildir.
Doğum kontrolü (kontrasepsiyon)
Abirateron ya da metabolitlerinin semende mevcut olup olmadığı bilinmemektedir. Hastanın gebe bir kadınla cinsel ilişkiye girmesi durumunda kondom kullanması gerekir. Hastanın çocuk doğurma potansiyeli bulunan bir kadınla cinsel ilişkiye girmesi durumunda etkili başka bir doğum kontrol yöntemine ek olarak kondom kullanması gerekir. Hayvanlarda yapılan çalışmalar üreme toksisitesi olduğunu göstermiştir (bkz. Bölüm 5.3).
Gebelik dönemi
ZYTIGA kadınlarda kullanıma yönelik değildir ve gebelik döneminde ya da gebelik potansiyeline
sahip kadınlarda kontrendikedir (bkz. Bölüm 4.3 ve 5.3).
Laktasyon dönemi
ZYTIGA kadınlarda kullanıma yönelik değildir.
Üreme yeteneği / Fertilite
Abirateron asetat erkek ve dişi sıçanlarda fertiliteyi etkilemiş olmakla birlikte bu etkiler tamamen
geri dönüşümlü olmuştur (bkz. Bölüm 5.3).
4.7. Araç ve makine kullanımı üzerindeki etkiler
ZYTIGA'nın araç ve makine kullanımı yeteneği üzerinde etkisi yoktur ya da ihmal edilebilir düzeydedir.
4.8. İstenmeyen etkiler
Güvenlilik profilinin özeti
ZYTIGA ile yapılan birleştirilmiş Faz 3 çalışmalarının advers reaksiyonlar üzerindeki bir analizinde, hastaların % 10'unda veya fazlasında gözlemlenen istenmeyen etkiler; periferik ödem, hipokalemi, hipertansiyon, idrar yolu enfeksiyonu ve alanin aminotransferaz düzeylerinde yükselme ve/veya aspartat aminotansferaz düzeylerinde yükselmedir.
Diğer önemli advers reaksiyonlar arasında kalp hastalıkları, hepatotoksisite, kırıklar ve alerjik
alveolit bulunur.
ZYTIGA, etki mekanizmasının farmakodinamik sonucu olarak hipertansiyon, hipokalemi ve sıvı retansiyonuna neden olabilir. Faz 3 çalışmalarında, abirateron asetat ile tedavi edilen hastalarda, plasebo ile tedavi edilen hastalara oranla beklenen mineralokortikoid advers reaksiyonlar daha yaygın olarak görülmüştür. Çalışmada hipokalemi abirateron asetat alanlarda % 18 iken plasebo alanlarda % 8, hipertansiyon abirateron asetat alanlarda % 22 iken plasebo alanlarda % 16 ve sıvı retansiyonu (periferik ödem) abirateron asetat alanlarda % 23 iken plasebo alanlarda % 17 olarak bildirilmiştir. Abirateron asetat ile tedavi edilen hastalarda, Grad 3 ve 4 hipokalemi (CTCAE, versiyon 4.0 sınıflamasına göre), % 6 iken plasebo alanlarda % 1; abirateron asetat ile tedavi edilen hastalarda Grad 3 ve 4 hipertansiyon (CTCAE, versiyon 4.0 sınıflamasına göre) % 7 iken plasebo alanlarda % 5; abirateron asetat ile tedavi edilen hastalarda Grad 3 ve 4 sıvı retansiyonu (periferal ödem) % 1 iken plasebo alanlarda % 1 olarak gözlemlenmiştir. Mineralokortikoid reaksiyonlar tıbbi tedaviyle genellikle başarıyla yönetilebilmiştir. Kortikosteroidlerin birlikte kullanılması bu advers reaksiyonların sıklık ve şiddetini azaltır (bkz. Bölüm 4.4).
Advers reaksiyonların özeti
Luteinizan hormon salgılayıcı hormon (LHRH) agonistinin kullanılmakta olduğu ya da daha önceden orşiektomi ile tedavi edilmiş ileri evre metastatik prostat kanserli hastalardaki çalışmalarda, ZYTIGA, düşük doz prednizon veya prednizolon (endikasyona bağlı olarak günlük 5 veya 10 mg) ile kombine olarak günde 1.000 mg dozunda kullanılmıştır.
Klinik çalışmalarda ve pazarlama sonrası deneyimlerde gözlenen advers etkiler aşağıdaki sıklık derecelerine göre listelenmiştir. Çok yaygın (≥1/10); yaygın (≥1/100 ila <1/10); yaygın olmayan (≥1/1,000 ila <1/100); seyrek (≥1/10,000 ila <1/1,000); çok seyrek (<1/10,000), bilinmiyor (eldeki verilerden hareketle tahmin edilemiyor).
Her bir sıklık grubunda, istenmeyen etkiler azalan ciddiyet sırasına göre sunulmuştur.
Enfeksiyonlar ve enfestasyonlar Çok yaygın: İdrar yolu enfeksiyonu Yaygın: Sepsis
İmmün sistem bozuklukları
Bilinmiyor: Anafilaktik reaksiyonlar
Endokrin hastalıkları
Yaygın olmayan: Adrenal yetmezlik
Metabolizma ve beslenme hastalıkları
Çok yaygın: Hipokalemi Yaygın: Hipertrigliseridemi
Kardiyak hastalıkları
Yaygın: Kalp yetmezliği*, anjina pektoris, atrial fibrilasyon, taşikardi Yaygın olmayan: Diğer aritmiler
Bilinmiyor: Miyokard enfarktüs, QT uzaması (bkz. Bölüm 4.4 ve 4.5)
Vasküler hastalıkları
Çok yaygın: Hipertansiyon
Solunum, göğüs bozuklukları ve mediastinal hastalıkları
Seyrek: Alerjik alveolit
Gastrointestinal hastalıkları
Çok yaygın: Diyare Yaygın: Dispepsi
Hepato-bilier hastalıkları
Çok yaygın: Alanin aminotransferaz düzeylerinde yükselme ve/veya aspartat aminotransferaz düzeylerinde yükselme
Seyrek: Fulminant hepatit, akut karaciğer yetmezliği
Deri ve deri altı doku hastalıkları
Yaygın: Döküntü
Kas-iskelet bozuklukları, bağ doku ve kemik hastalıkları
Yaygın olmayan: Miyopati, rabdomiyoliz
Böbrek ve idrar yolu hastalıkları
Yaygın: Hematüri
Genel bozukluklar ve uygulama bölgesine ilişkin hastalıkları
Çok yaygın: Periferik ödem
Yaralanma ve zehirlenme
Yaygın : Kırıklar**
* Kalp yetmezliği aynı zamanda konjestif kalp yetmezliği, sol ventriküler disfonksiyon ve
ejeksiyon fraksiyonunda azalmayı da içermektedir.
**Kırıklar, osteoporoz ve patolojik kırık dışındaki tüm kırıkları içerir.
Abirateron asetat ile tedavi edilen hastalarda aşağıdaki CTCAE (versiyon 4.0) Grad 3 advers reaksiyonlar görülmüştür: % 5 hipokalemi; % 2 idrar yolu enfeksiyonu; % 4 alanin aminotransferaz düzeyinde yükselme ve/veya aspartat aminotransferaz düzeyinde yükselme, % 6 hipertansiyon, % 2 kırık; % 1 periferik ödem, kalp yetmezliği ve atrial fibrilasyon. CTCAE (versiyon 4.0) Grad 3 hipertrigliseridemi ve anjina pektoris hastaların % 1'inden azında meydana gelmiştir. Hastaların % 1'inden azında CTCAE (versiyon 4.0) Grad 4 idrar yolu enfeksiyonu, alanin aminotransferaz düzeyinde yükselme ve/veya aspartat aminotransferaz düzeyinde yükselme, hipokalemi, kalp yetmezliği, atriyal fibrilasyon ve kırıklar görülmüştür.
Hormona duyarlı popülasyonda (çalışma 3011) hipertansiyon ve hipokalemi daha yüksek bir insidansta gözlemlenmiştir. Hormona duyarlı popülasyonda (çalışma 3011) hastaların % 36,7'sinde hipertansiyon rapor edilmişken, Çalışma 301 ve 302'de sırasıyla % 11,8 ve % 20,2'idi. Hormona duyarlı popülasyonda (çalışma 3011) hastaların % 20,4'ünde hipokalemi gözlemlenmişken, Çalışma 301 ve 302'de sırasıyla % 19,2 ve % 14,9'idi.
Temel ECOG2 performans durum derecesine sahip olan alt grup hastalarda ve ayrıca yaşlı hastalarda (≥75 yaş), advers olayların görülme insidansı ve düzeyi daha yüksekti.
Seçilmiş advers reaksiyonların tanımlanması
Kardiyovasküler reaksiyonlar
Yürütülen üç Faz 3 çalışmasına, hipertansiyonu kontrol altına alınamayan, miyokard enfarktüsüyle ortaya çıkmış klinik açıdan anlamlı kalp hastalığı olan, son 6 ayda arteriyel trombotik olay geçirmiş olan, ağır ya da unstabil anjinası olan, New York Kalp Cemiyeti Sınıf III ve IV kalp yetmezliği (Çalışma 301) ya da Sınıf II ila IV kalp yetmezliği (Çalışma 3011 ve 302) olan ya da kardiyak ejeksiyon fraksiyon ölçümü % 50'den düşük olan hastalar dahil edilmemiştir. Çalışmaya alınan diyabet, miyokard enfarktüsü, serebrovasküler olay ve ani kardiyak ölüm riski olan tüm hastalara (hem aktif ilaç, hem de plasebo alanlar) aynı zamanda öncelikle LHRH agonistleri kullanılarak androjen azaltma tedavisi uygulanmıştır. Faz 3 çalışmasında kardiyovasküler advers reaksiyonların sıklığı abirateron asetat alanlarda ve plasebo alanlarda aşağıdaki gibi bulunmuştur: atriyal fibrilasyon % 2,6 ve % 2; taşikardi, % 1,9 ve % 1; anjina pektoris % 1,7 ve % 0,8; kalp yetmezliği % 0,7 ve % 0,2 ve aritmi, % 0,7 ve % 0,5.
Hepatotoksisite
Abirateron asetat ile tedavi edilen hastalarda ALT, AST ve total bilirubin düzeylerinde yükselmeyle seyreden hepatotoksisite bildirilmiştir. Faz 3 klinik çalışmalarında, abirateron asetat alan hastaların yaklaşık % 6'sında tipik olarak tedaviye başladıktan sonraki ilk 3 ayda Grad 3 ve 4 karaciğer toksisitesi (örneğin, ALT ve AST düzeylerinde normal kabul edilen üst sınırın 5 katından fazla yükselme veya bilirubin düzeylerinde normal kabul edilen üst sınırın 1,5 katından fazla yükselme) bildirilmiştir. Çalışma 3011'de, ZYTIGA ile tedavi edilen hastaların % 8,4'ünde Grad
3 ve 4 hepatotoksisite gözlemlenmiştir. ZYTIGA alan hastalardan onunda hepatotoksisite sebebiyle tedavi sonlandırılmıştır; bunlardan ikisi Grad 2 hepatotoksisite, altı tanesi Grad 3 hepatotoksisite ve iki tanesi Grad 4 hepatotoksisitedir. Çalışma 3011'de hepatotoksisite sebebiyle ölen hasta olmamıştır. Faz 3 klinik çalışmalarında, başlangıç ALT veya AST düzeyleri yüksek
olan hastalarda, başlangıç değerleri normal olanlara göre karaciğer fonksiyon testlerinde artış olasılığı daha yüksek olmuştur.
ALT veya AST düzeylerinde normal kabul edilen üst sınırın 5 katından fazla yükselme olduğunda ya da bilirubin düzeylerinde normal kabul edilen üst sınırın 3 katından fazla yükselme olduğunda abirateron asetat tedavisine ara verilmiş ya da kesilmiştir. İki vakada karaciğer fonksiyon testlerinde belirgin yükselmeler görülmüştür (bkz. Bölüm 4.4). Başlangıç değerleri normal olan bu iki hastada ALT veya AST düzeyleri normal üst sınır değerlerin 15 ila 40 katı ve bilirubin düzeyleri ise normal üst sınır değerlerin 2 ila 6 katı yükselmiştir. Tedavinin kesilmesinden sonra, her iki hastada da karaciğer fonksiyon testleri normale dönmüş ve hastalardan birinde bu defa yükselme olmaksızın yeniden tedavi uygulanabilmiştir. Çalışma 302'deki abirateron asetat ile tedavi edilen 35 (% 6,5) hastada, Grad 3 veya 4 ALT ya da AST yükselmeleri gözlemlenmiştir. Aminotransferaz yükselmeleri 3 hasta (son abirateron asetat dozundan yaklaşık 3 hafta sonra yeni çoklu karaciğer metastazı olan 2 ve AST yükselmesi olan 1 hasta) hariç tüm hastalarda normale dönmüştür. Faz 3 klinik çalışmalarında, ALT ve AST artışları veya karaciğer fonksiyonlarında anormallik nedeniyle tedaviyi kesme oranları abirateron asetat alan hastalar için % 1,1, plasebo alan hastalar için ise % 0,6 olarak bildirilmiştir; hepatotoksisite olaylarına bağlı hiçbir ölüm vakası bildirilmemiştir.
Klinik çalışmalarda başlangıçta hepatiti ya da karaciğer fonksiyon testlerinde anlamlı anormallikleri olan hastalar hariç tutulmak suretiyle hepatotoksisite riski azaltılmıştır. Çalışma 3011'de, başlangıç ALT ve AST değerleri NÜS'ün 2,5 katından fazla olan hastalar, bilirubin değerleri normal kabul edilen üst sınırın 1,5 katından fazla olan hastalar ve aktif veya semptomatik viral hepatit veya kronik karaciğer hastaları; karaciğer fonksiyon bozukluğuna bağlı assit veya kanama bozukluğu olan hastalar çalışmaya alınmamıştır. Çalışma 301'de, başlangıç ALT ve AST düzeyleri karaciğer metastazının olmadığı durumlarda normal kabul edilen üst sınırın ≥2,5 katı, karaciğer metastazı olanlarda ise normal kabul edilen üst sınırın >5 katı olan hastalar çalışmaya dahil edilmemiştir. Çalışma 302'de, karaciğer metastazı olanlar seçilebilir değildir ve başlangıç ALT ve AST düzeyleri ≥ 2,5 x NÜS olan hastalar çalışmaya alınmamıştır. Klinik çalışmaya alınan hastalarda karaciğer fonksiyon testlerinde anormalleşme olduğunda ise, bu hastaların tedavileri kesilmiş ve ancak karaciğer fonksiyon testleri tedavinin başlangıcındaki düzeylerine döndükten sonra yeniden tedavi almalarına izin verilerek aktif bir şekilde yönetilmiştir (bkz. Bölüm 4.2). ALT ve AST düzeyleri normal kabul edilen üst sınırın 20 katından fazla yükselen hastalarda yeniden tedavi uygulanmamıştır. Bu tür hastalarda tedaviye yeniden tedavinin güvenliliği bilinmemektedir. Hepatotoksisitenin mekanizması bilinmemektedir.
Şüpheli advers reaksiyonların raporlanması
Ruhsatlandırma sonrası şüpheli ilaç advers reaksiyonlarının raporlanması büyük önem taşımaktadır. Raporlama yapılması, ilacın yarar/risk dengesinin sürekli olarak izlenmesine olanak sağlar. Sağlık mesleği mensuplarının herhangi bir şüpheli advers reaksiyonu Türkiye Farmakovijilans Merkezi (TÜFAM)'ne bildirmeleri gerekmektedir (www.titck.gov.tr; e-posta: tufam@titck.gov.tr; tel: 0 800 314 00 08; faks: 0 312 218 35 99).
4.9. Doz aşımı ve tedavisi
ZYTIGA ile doz aşımına dair insan deneyimi sınırlıdır.
Spesifik antidotu yoktur. Doz aşımı durumunda ZYTIGA uygulaması durdurularak aritmilerin, hipokalemi ve sıvı retansiyonunun bulgu ve belirtilerinin izlenmesi de dahil olmak üzere genel destekleyici önlemler alınmalıdır. Karaciğer fonksiyonları da değerlendirilmelidir.
5. FARMAKOLOJİK ÖZELLİKLER
5.1. Farmakodinamik özellikler
Farmakoterapötik grup: Endokrin tedavisi, diğer hormon antagonistleri ve ilişkili ajanlar
ATC kodu: L02BX03
Etki mekanizması
Abirateron asetat (ZYTIGA) in vivo olarak bir androjen biyosentez inhibitörü olan abiraterona dönüşür. Spesifik olarak abirateron 17α-hidroksilaz/C17,20-liyaz (CYP17) enzimini seçici olarak inhibe eder. Bu enzim testiküler, adrenal ve prostatik tümör dokularında eksprese olur ve androjenin biyosentezi için gereklidir. CYP17, sırasıyla 17α-hidroksilasyon ve C17,20 bağının kırılmasıyla pregnenolon ve progesteronun testesteron prekürsörleri olan DHEA ve androstenediona dönüşümünü katalize eder. CYP17 inhibisyonu aynı zamanda adrenaller tarafından mineralokortikoid üretiminde artışa da yol açar (bkz. Bölüm 4.4).
Androjene duyarlı prostat karsinomu, androjen düzeylerini azaltan tedaviye yanıt verir. LHRH agonistleri ya da orşiektomi gibi androjen azaltıcı tedaviler, testislerdeki androjen üretimini azaltmalarına rağmen, adrenaller ya da tümördeki androjen üretimini etkilemezler. LHRH agonistleri (ya da orşiektomi) ile birlikte ZYTIGA tedavisi uygulandığında serum testesteron düzeyleri (ticari testlerle ölçüldüğünde) saptanamayan düzeylere düşer.
Farmakodinamik etkiler
ZYTIGA, serum testesteron ve diğer androjen seviyelerini, tek başına LHRH agonistleri ya da orşiektomi ile elde edilen seviyelerin altına düşürür. Bu, androjen biyosentezi için gerekli olan CYP17 enziminin selektif olarak inhibe edilmesinin bir sonucudur. Prostat spesifik antijen (PSA) prostat kanserli hastalarda bir biyogösterge olarak kullanılır. Daha önce taksanlarla yapılan kemoterapiden fayda görmeyen hastalarda gerçekleştirilen bir Faz 3 klinik çalışmada, abirateron asetat ile tedavi edilen hastaların % 38'inde başlangıç PSA değerlerine göre en az % 50 azalma sağlanabilmişken, bu azalma oranı plasebo ile tedavi edilenlerin % 10'unda sağlanabilmiştir.
Klinik etkililik ve güvenlilik
ZYTIGA'nın etkililik metastatik hormona duyarlı prostat kanseri (mHDPK) ve metastatik kastrasyona dirençli prostat kanseri (mKDPK)'li hastalarda gerçekleştirilen plasebo kontrollü çok merkezli randomize üç Faz 3 çalışmasında (Çalışma 3011, 302 ve 301) gösterilmiştir. Çalışma 3011'e, yüksek riskli prognostik faktörlere sahip yeni tanı almış (randomizasyonun 3 ayı içerisinde) mHDPK'li hastalar dahil edilmiştir. Yüksek riskli prognoz aşağıdaki 3 risk faktöründen en az 2'sine sahip olmak olarak tanımlanmıştır: (1) Gleason skorunın ≥8 olması; (2) kemik taramasında 3 veya daha fazla lezyon olması; (3) ölçülebilir visseral (lenf nodu hastalığı hariç) metastaz olması. Aktif tedavi kolunda, standart tedavi olan ADT'ye (LHRH agonisti veya orşiektomi) ilave olarak, ZYTIGA günde 1000 mg dozunda, günde tek doz 5 mg düşük doz prednizon ile kombine olarak uygulandı. Kontrol kolundaki hastalara ZYTIGA ve prednizon yerine ADT ve plasebo verildi Çalışma 301'e daha önceden dosetaksel almış hastalar, çalışma 302'ye ise daha önce dosetaksel kullanmamış hastalar dahil edilmişir. Hastalar bir LHRH agonisti kullanıyorlardı ya da daha önce orşiektomi olmuşlardı. Aktif tedavi kolunda, ZYTIGA, günde iki defa 5 mg düşük doz prednizon veya prednizolonla kombine olarak günde 1.000 mg dozunda uygulanmıştır. Kontrol hastaları plasebo ve günde iki defa 5 mg düşük doz prednizon veya prednizolon almıştır.
Serum PSA konsantrasyonlarındaki değişiklikler bağımsız olarak her zaman klinik faydayı göstermeyebilir. Bu nedenle, tüm çalışmalarda hastaların her bir çalışma için aşağıda belirtildiği şekilde tedavi kesilme kriterlerini karşılamalarına kadar tedaviye devam etmeleri önerilir.
Spironolakton androjen reseptörüne bağlandığından ve PSA seviyelerini artırabileceğinden, tüm
çalışmalarda spironolakton kullanımına izin verilmedi.
Çalışma 3011 (yeni tanı almış yüksek riskli mHDPK hastaları)
Çalışma 3011'e (n=1199) dahil edilen hastaların medyan yaşı 67 idi. ZYTIGA ile tedavi edilen hastaların 832'si (% 69,4) beyaz ırka mensup, 246'sı (% 20,5) sarı ırktan, 25'i (% 2,1) Siyahi veya Afro Amerikan, 80'i (% 6,7) diğer, 13'ü (% 1,1) bilinmiyen/raporlanmamış ve 3'ü (% 0,3) Amerikan yerlisi veya Alaska yerlisi ırklara mensuptu. Hastaların % 97'si için ECOG performans statüsü 0 veya 1 idi. Bilinen beyin metastazı, kontrol altına alınamayan hipertansiyonu, anlamlı kalp hastalığı olan veya NYHA Sınıf II-IV kalp yetmezliği olan hastalar çalışmaya alınmamıştır. Metastatik hastalıktan kaynaklanan semptomların tedavisi için 3 aya kadar ADT veya 1kür palyatif radyasyon veya operasyon tedavisi alan hastalar haricinde daha önce farmakoterapi, radyasyon terapisi veya metastatik prostat kanseri operasyonu geçirerek tedavi edilen hastalar çalışmaya alınmamıştır. Ortak primer etkililik sonlanım noktaları genel sağkalım (OS) ve radyografik progresyonsuz sağkalım (rPFS) idi. Kısa Ağrı Envanteri Kısa Form (BPI-SF) ile ölçülen medyan başlangıç ağrı skoru hem tedavi kolunda hem de Plasebo gruplarında 2,0 idi. Ortak primer sonlanım noktaları ölçümlerine ilave olarak; iskeletle ilişkili olaya (SRE) kadar olan süre, prostat kanseri için müteakip tedaviye kadar geçen süre, kemoterapi başlangıcına kadar geçen süre, ağrı progresyonuna kadar geçen süre ve PSA progresyonuna kadar geçen süre kullanılarak tedavi faydası da değerlendirildi. Tedavi hastalık progresyonuna, onamın geri çekilmesine, kabul edilemez toksisiteye veya ölüme kadar devam etti.
Radyografik progresyonsuz sağkalım, randomizasyondan radyografik progresyonun görülmesine veya herhangi bir nedene bağlı ölüme kadar geçen süre olarak tanımlandı. Radyografik progresyon, kemik taramasıyla progresyonu (modifiye PCWG2'ye göre) veya BT veya MRG ile yumuşak doku lezyonlarındaki progresyonu (RECIST 1.1'e göre) kapsıyordu.
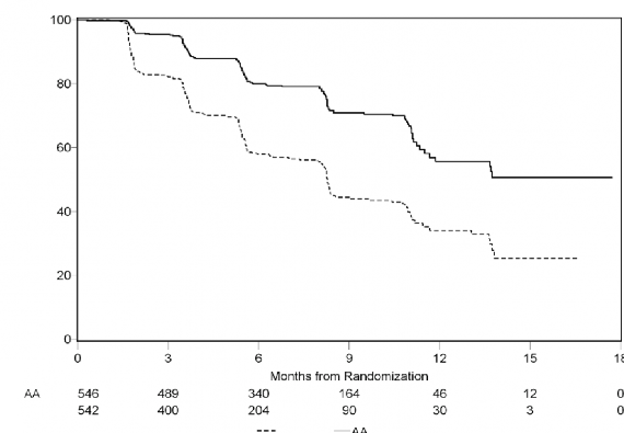
Tedavi grupları arasında rPFS bakımından anlamlı bir farklılık gözlendi (bkz. Tablo 1 ve Şekil 1).
Tablo 1: Radyografik Progresyonsuz Sağkalım - Katmanlı Analiz; Intent-to-treat Popülasyonu (çalışma PCR3011) | ||
| AA-P | Plasebo |
Randomize hastalar | 597 | 602 |
Olay | 239 (% 40,0) | 354 (% 58,8) |
Sansürlendi | 358 (% 60,0) | 248 (% 41,2) |
Olaya Kadar Geçen Süre (ay) |
|
|
Medyan (% 95 GA) | 33,02 (29,57, NE) |
14,78 (14,69, 18,27) |
Aralık | (0,0+, 41.0+) | (0,0+, 40,6+) |
p değeri | < 0,0001 |
|
Risk oranı (% 95 GA) | 0,466 (0,394, 0,550) |
|
Not: += sansürlenmiş gözlem, NE=Değerlendirilebilir değil. rPFS olayını tanımlamada radyografik progresyon ve ölüm dikkate alınmıştır. AA-P= abirateron asetat ve prednizolon alan hastalar.
![]()
Şekil 1: Radyografik Progresyonsuz Sağkalıma ilişkin Kaplan-Meier Grafiği; Intent-to-treat

Popülasyonu (Çalışma PCR3011)
Riskteki denekler Abirateron asetatat
Plasebo
Progresyon veya ölüm olmaksızın % gönüllüler
Randomizasyondan sonraki zaman, ay
Abirateron asetatat Plasebo
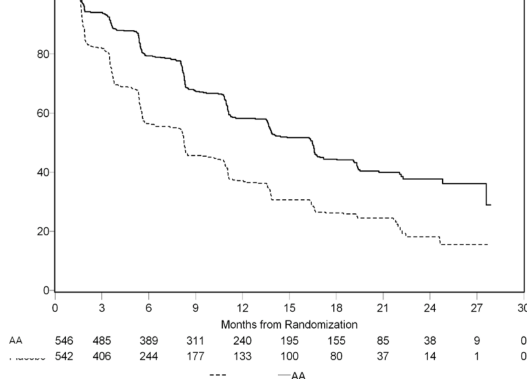
Plasebo artı ADT ile karşılaştırıldığında ölüm riskinde % 34 azalma ile OS'de AA-P artı ADT lehine istatistiksel olarak anlamlı bir iyileşme gözlemlendi (HR=0,66; % 95 CI: 0,56, 0,78; p<0,0001, (bkz. Tablo 2 ve Şekil 2).
Tablo 2: PCR3011 çalışmasında ZYTIGA veya Plasebo ile Tedavi Edilen Hastaların Genel Sağkalımı (Intent-to-treat Analiz) | ||
Genel Sağkalım | ZYTIGA ve Prednizon (N=597) |
Plasebo (N=602) |
Ölüm (%) | 275 (% 46) | 343 (% 57) |
Medyan sağkalım (aylar) | 53,3 | 36,5 |
(% 95 CI) | 48,2, NE | 33,5, 40,0 |
Risk oranı (% 95 CI) | 0,66 (0,56, 0,78) | |
NE= Değerlendirilebilir değil
Risk oranı tabakalandırılmış orantısal riskler modelinden hesaplanmıştır. Risk oranı 1 ZYTIGA ve prednizon lehine
![]()
Şekil 2: Genel Sağkalıma ilişkin Kaplan-Meier Grafiği; Intent-to-treat Popülasyon

Riskteki gönüllüler Abirateron asetatat
Plasebo
Abirateron asetatat
Plasebo
Randomizasyondan sonraki zaman, ay
Ölüm olmaksızın % sağkalan gönüllüler
Analizi (çalışma PCR3011)
![]()
Plasebo
Alt grup analizleri tutarlı olarak ZYTIGA tedavisi lehine sonuçlanmaktadır. Önceden belirlenmiş alt gruplarda AA-P'nin rPFS ve OS üzerindeki tedavi etkisi, fayda gözlenmesi yönünde hiçbir eğilimin görülmediği ECOG skoru 2 olan alt grup hariç, genel çalışma popülasyonunda daha üstün ve tutarlı olmuştur, ancak örneklem büyüklüğünün küçük olması (n=40) anlamlı bir sonuç çıkarılmasını kısıtlamaktadır.
Genel sağkalım ve rPFS'de gözlenen artışlara ilave olarak, prospektif olarak tanımlanan tüm sekonder sonlanım noktaları için plasebo karşısında ZYTIGA lehine faydalar gösterilmiştir.
Çalışma 302 (daha önce kemoterapi almamış hastalar)
Bu çalışmaya asemptomatik veya hafif düzeyde semptomatik olan ve henüz klinik olarak kemoterapi endikasyonu bulunmayan kemoterapi almamış hastalar dahil edilmiştir. Kısa Ağrı Envanteri - Kısa Formunun (BPI-SF) “son 24 saat içindeki en kötü ağrı†maddesinin skorunun 0- 1 olması asemptomatik, puanın 2-3 olması ise hafif semptomatik olarak değerlendirildi.
Çalışma 302'de (n = 1088) yer alan hastaların medyan yaşı ZYTIGA ile birlikte prednizon veya prednizolon alan hastalar için 71, plasebo ile birlikte prednizon veya prednizolon alan hastalar için 70 idi. ZYTIGA ile tedavi edilen hastaların ırklarına göre dağılımı şöyleydi: 520 (% 95,4) beyaz ırktan 15 (% 2,8) siyah ırk, 4 (% 0,7) sarı ırktan ve 6 (% 1,1) diğer. Doğu Ortak Onkoloji Grubu (ECOG) performans statüsü, her iki koldaki hastaların % 76'sı için 0 ve % 24'ü için 1 idi. Hastaların % 50'si yalnızca kemik metastazlarına, % 31'i kemik ve yumuşak doku veya lenf nodu
metastazlarına ve % 19'u yalnızca yumuşak doku veya lenf nodu metastazlarına sahipti. Visseral metastazı olan hastalar çalışmaya alınmamamıştır. Ortak birincil etkililik sonlanım noktaları genel sağkalım ve radyografik progresyonsuz sağkalım (rPFS) idi. Ortak primer sonlanım noktaları ölçümlerine ilave olarak; kanser ağrısı için opiat kullanımına kadar geçen süre, sitotoksik kemoterapi başlangıcına kadar geçen süre, ECOG performans skorunda ≥ 1 puanlık kötüleşmeye kadar geçen süre ve Prostat Kanseri Çalışma Grubu 2 (PCWG2) kriterlerine göre PSA progresyonuna kadar geçen süre kullanılarak tedavi faydası da değerlendirildi. Bariz klinik progresyon durumunda çalışma tedavilerine son verildi. Araştırmacı kararıyla, doğrulanmış radyografik progresyon süresinde de tedavi kesilebilecekti.
Radyografik progresyonsuz sağkalım (rPFS) PCWG2 kriterlerinde (kemik lezyonları için) tanımlanan seri görüntüleme çalışmalarına ve değiştirilen Solid Tümörlerde Yanıt Değerlendirme Kriterleri'nin (RECIST) kullanımı ile (yumuşak doku lezyonları için) değerlendirildi. rPFS analizinde, radyografik progresyon değerlendirmesi merkezi inceleme ile yapılmıştır.
Planlı rPFS analizi 401 olayı kapsamış, ZYTIGA ile tedavi edilen hastaların 150'si (% 28) ve plasebo ile tedavi edilen hastaların 251'i (% 46) ya radyografik progresyon göstermiş ya da ölmüştür. Tedavi grupları arasında rPFS bakımından anlamlı bir farklılık gözlendi (bkz. Tablo 3 ve Şekil 3).
Tablo 3: Çalışma 302: ZYTIGA veya plasebo ile birlikte prednizolon ve LHRH agonistleri ya da öncesinde orşiektomi olan hastalardaki radyolografik progresyonsuz sağkalım | ||
| ZYTIGA (N = 546) | Plasebo (N = 542) |
Radyografik Progresyonsuz Sağkalım (rPFS) |
|
|
Progresyon veya ölüm | 150 (% 28) | 251 (% 46) |
Medyan rPFS (ay) (% 95 GA) | Ulaşılmadı (11,66; NE) | 8,3 (8,12; 8,54) |
p-değeri* | < 0,0001 | |
Risk oranı** (% 95 GA) | 0,425 (0,347; 0,522) | |
NE = Değerlendirilebilir değil
* p-değeri, başlangıçtaki ECOG skoruna (0 veya 1) göre tabakalandırılmış bir log-rank testinden hesaplanmıştır.
** Risk oranı < 1 ZYTIGA lehine

Randomizasyondan sonraki zaman, ay
Plasebo
Plasebo
Progresyon veya ölüm olmaksızın % gönüllüler
Şekil 3: ZYTIGA veya plasebo ile birlikte prednizolon ve LHRH agonistleri ya da öncesinde orşiektomi olan hastalardaki radyografik progresyonsuz sağkalımın Kaplan Meier grafiği
Ancak, Genel Sağkalıma (OS) ilişkin ikinci ara analiz tarihine kadar hasta verisi toplanmaya devam edilmiştir. Araştırmacının rPFS üzerinde bir takip duyarlılık analizi olarak yaptığı radyografik inceleme Tablo 4 ve Şekil 4'te sunulmuştur.
271'i (% 50) abirateron asetat grubundan, 336'sı (% 62) plasebo grubundan olmak üzere toplam altı yüz yedi (607) hasta radyografik progresyon göstermiş veya ölmüştür. Abirateron asetat ile tedavi, plaseboya kıyasla radyografik progresyon veya ölüm riskini % 47'ye kadar azaltmıştır (HR = 0,530; % 95 CI: [0,451; 0,623], p < 0,0001). Medyan rPFS, abirateron asetat grubunda 16,5 ay, plasebo grubunda ise 8,3 ay olmuştur.
Tablo 4: Çalışma 302: ZYTIGA veya plasebo ile birlikte prednizolon ve LHRH agonistleri ya da öncesinde orşiektomi olmuş hastalardaki radyografik progresyonsuz sağkalım (İkinci ara analizindeki OS - Araştırıcı İncelemesi) | ||
| ZYTIGA (N = 546) | Plasebo (N = 542) |
Radyografik Progresyonsuz Sağkalım (rPFS) |
|
|
Progresyon veya ölüm | 271 (% 50) | 336 (% 62) |
Medyan rPFS (ay) (% 95 GA) | 16,5 (13,80; 16,79) | 8,3 (8,05; 9,43) |
p-değeri* | < 0,0001 | |
Risk oranı** (% 95 GA) | 0,530 (0,451; 0.623) |
* p-değeri, başlangıçtaki ECOG skoruna (0 veya 1) göre tabakalandırılmış bir log-rank testinden türetilmiştir. ** Risk oranı < 1 ZYTIGA lehine | |

Randomizasyondan sonraki zaman, ay
Plasebo
Plasebo
Progresyon veya ölüm olmaksızın % gönüllüler
Şekil 4: ZYTIGA veya plasebo ile birlikte prednizolon ve LHRH agonistleri ya da öncesinde orşiektomi olmuş hastalardaki radyografik progresyonsuz sağkalımın Kaplan Meier grafiği (İkinci ara analizindeki OS - Araştırıcı İncelemesi)
333 ölüm gözlendikten sonra, OS için planlı bir ara analiz (IA) yapıldı. Gözlenen klinik faydanın büyüklüğü dikkate alınarak çalışmanın körlüğü kaldırıldı ve plasebo grubundaki hastalara ZYTIGA ile tedavi olmaları teklif edildi. ZYTIGA ölüm riskini % 25 azaltarak plaseboya kıyasla daha uzun bir genel sağkalım sağladı (HR = 0,752; % 95 CI: [0,606; 0,934], p = 0,0097), ancak OS olgunlaşmamıştı ve ara sonuçlar istatistiksel anlamlılık için önceden belirlenmiş durdurma sınırını karşılamıyordu (bkz. Tablo 4). Bu ara analiz sonrasında, sağkalım takibine devam edildi. OS için planlanan nihai analiz 741 ölüm gözlendikten sonra yapıldı (medyan takip süresi 49 ay). ZYTIGA ile tedavi edilen hastaların % 65'inin (354/546), plasebo ile tedavi edilen hastaların ise
% 71'inin (387/542) öldüğü saptandı. Ölüm riskinde % 19,4'lük bir azalma ile, OS bakımından ZYTIGA ile tedavi edilen grup lehine istatistiksel olarak anlamlı bir fayda (HR = 0,806; % 95 CI: [0,697; 0,931], p = 0,0033) ve 4,4 aylık medyan OS artışı sağlanmıştır (ZYTIGA 34,7 ay, plasebo 30,3 ay) (bkz. Tablo 5 ve Şekil 5). Bu iyileşme, plasebo kolundaki hastaların % 44'ü müteakip tedavi olarak ZYTIGA almış olmalarına rağmen gösterilmiştir.
Tablo 5: Çalışma 302: ZYTIGA veya plasebo ile birlikte prednizolon ve LHRH agonistleri ya da öncesinde orşiektomi olmuş hastalardaki genel sağkalım | ||
| ZYTIGA (N = 546) | Plasebo (N = 542) |
Ara sağkalım analizi |
|
|
Ölümler (%) | 147 (% 27) | 186 (% 34) |
Medyan sağkalım (ay) (% 95 GA) | Ulaşılmadı (NE; NE) | 27.2 (25,95; NE) |
p-değeri* | 0,0097 | |
Risk oranı** (% 95 GA) | 0,752 (0,606; 0,934) | |
Nihai sağkalım analizi |
| |
Ölüm Vakaları | 354 (% 65) | 387 (% 71) |
Medyan genel sağkalım (ay, % 95 GA)] | 34,7 (32,7; 36,8) | 30,3 (28,7; 33,3) |
p-değeri* | 0,0033 | |
Risk oranı** (% 95 GA) | 0,806 (0,697; 0,931) | |
NE = Değerlendirilebilir değil
* p-değeri, başlangıçtaki ECOG skoruna (0 veya 1) göre tabakalandırılmış bir log-rank testinden türetilmiştir.
** Risk oranı < 1 ZYTIGA lehine
Şekil 5: ZYTIGA veya plasebo ile birlikte prednizolon ve LHRH agonistleri ya da
öncesinde orşiektomi olmuş hastalardaki genel sağkalımın Kaplan Meier grafiği

Randomizasyondan sonraki zaman, ay
Plasebo
Plasebo
Ölüm olmaksızın % gönüllüler
- nihai analiz
Genel sağkalım ve rPFS'de gözlenen artışlara ilave olarak, tüm sekonder sonlanım noktaları için
plasebo tedavisi karşısında ZYTIGA için aşağıdaki faydalar gösterilmiştir:
PCWG2 kriterlerine göre PSA progresyonuna kadar geçen süre: PSA progresyonuna kadar geçen medyan süre ZYTIGA alan hastalar için 11,1 ay, plasebo alan hastalar için ise 5,6 ay olmuştur (HR = 0,488; % 95 CI: [0,420; 0,568], p < 0,0001). PSA progresyonuna kadar geçen süre ZYTIGA tedavisi ile yaklaşık iki katına çıkmıştır (HR = 0,488). Doğrulanmış PSA yanıtına sahip olan hastaların oranı ZYTIGA grubunda, plasebo grubuna oranla daha fazla olmuştur (% 24 karşısında % 62, p=0,0001). Yumuşak doku hastalığı ölçülebilir olan hastalarda, ZYTIGA ile anlamlı düzeyde artmış tam ve kısmi yanıt oranları görülmüştür.
Kanser ağrısı için opiat kullanımına kadar geçen süre: Nihai analiz sırasında, prostat kanseri ağrısı için opiat kullanımına kadar geçen medyan süre ZYTIGA alan hastalar için 33,4 ay, plasebo alan hastalar için 23,4 ay olmuştur; (HR = 0,721; % 95 CI: [0,614; 0,846], p < 0,0001).
Sitotoksik kemoterapi başlangıcına kadar geçen süre: Sitotoksik kemoterapi başlangıcına kadar geçen medyan süre ZYTIGA alan hastalar için 25,2 ay, plasebo alan hastalar için 16,8 ay olmuştur (HR = 0,580; % 95 CI: [0,487; 0,691], p < 0,0001).
ECOG performans skorunda ≥ 1 puan gerilemeye kadar geçen süre: ECOG performans skorunda
≥ 1 puan gerilemeye kadar geçen medyan süre ZYTIGA alan hastalar için 12,3 ay, plasebo alan hastalar için 10,9 ay olmuştur (HR = 0,821; % 95 CI: [0,714; 0,943], p = 0,0053).
Aşağıdaki çalışma sonlanım noktaları ZYTIGA tedavisi lehine istatistiksel olarak anlamlı bir
avantaj göstermiştir:
Objektif yanıt: Objektif yanıt, RECIST kriterlerine göre ölçülebilir hastalığa sahip olup tam veya kısmi yanıt elde eden hastaların oranı olarak tanımlanmıştır (hedef lezyon olarak değerlendirilebilmesi için başlangıçtaki lenf nodu büyüklüğünün ≥ 2 cm olması gerekmiştir). Başlangıçta ölçülebilir hastalığı olup objektif yanıt elde eden hastaların oranı ZYTIGA grubunda
% 36, plasebo grubunda ise % 16 olmuştur (p < 0,0001).
Ağrı: ZYTIGA tedavisi, plasebo ile karşılaştırıldığında, ortalama ağrı şiddeti progresyonu riskini anlamlı şekilde % 18'e kadar azaltmıştır (p = 0,0490). Progresyona kadar geçen medyan süre ZYTIGA grubunda 26,7 ay, plasebo grubunda ise 18,4 ay olmuştur.
FACT-P (Toplam Skor) kötüleşmesine kadar geçen süre: ZYTIGA tedavisi, plasebo ile karşılaştırıldığında, FACT-P (Toplam Skor) anketindeki kötüleşme riskini anlamlı şekilde % 22'ye kadar azaltmıştır (p = 0,0028). FACT-P (Toplam Skor) kötüleşmesine kadar geçen medyan süre ZYTIGA grubunda 12,7 ay, plasebo grubunda ise 8,3 ay olmuştur.
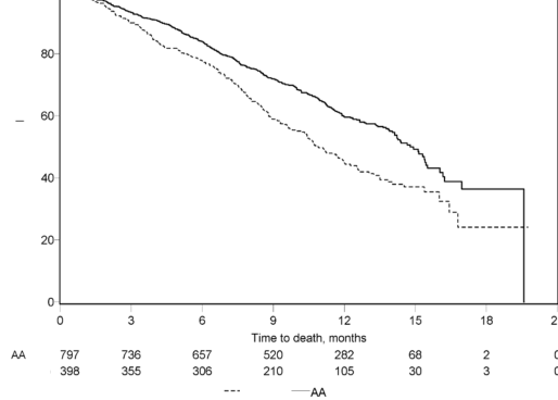
Çalışma 301 (daha önce kemoterapi almış olan hastalar)
Çalışma 301'e daha önceden dosetaksel kullanmış olan hastalar dahil edilmiştir. Bu kemoterapiden kaynaklanan toksisite tedavinin kesilmesine neden olmuş olabileceği için, hastaların dosetaksel tedavisi sırasında hastalık ilerlemesi göstermiş olması gerekmemiştir. Hastalar protokole tanımlanan radyografik ilerleme ve semptomatik ya da klinik ilerleme ile birlikte PSA ilerlemesi oluncaya kadar (hastanın başlangıç/en düşük düzeyine göre doğrulanmış % 25 artış) hastalar çalışma tedavilerine devam etmiştir. Daha önceden prostat kanseri için ketokonazol tedavisi gören hastalar bu çalışmaya alınmamıştır. Primer etkililik sonlanım noktası genel sağkalım olmuştur.
Çalışmaya alınan hastaların medyan yaşı 69 idi (aralık 39 - 95). ZYTIGA ile tedavi edilen hastaların ırklarına göre dağılımı şöyleydi: 737'si (% 93,2) beyaz ırktan, 28'i (% 3,5) siyah ırktan, 11'i (% 1,4) sarı ırktan ve geri kalan 14'ü (% 1,8) ise diğer ırklardandı. Çalışmaya alınan hastaların yüzde on birinin ECOG performans skoru 2 idi; % 70'i için PSA ilerlemesi olsun ya da olmasın, hastalık ilerlemesine dair radyografik kanıtlar mevcuttu; % 70'i daha önce bir sitotoksik kemoterapi, % 30'u ise iki sitotoksik kemoterapi almıştı. ZYTIGA ile tedavi edilen hastaların % 11'inde karaciğer metastazı vardı.
552 ölüm gözlendikten sonra yapılan planlı bir analizde, ZYTIGA ile tedavi edilen hastaların % 42'sinin (333/797), plasebo ile tedavi edilen hastaların ise % 55'inin (398 hastanın 219'u) öldüğü saptandı. ZYTIGA ile tedavi edilen hastaların medyan genel sağkalımda istatistiksel olarak anlamlı bir artış görüldü (bkz. Tablo 6).
Tablo 6: ZYTIGA veya plasebo ile birlikte prednizolon ve LHRH agonistleri ya da öncesinde orşiektomi olmuş hastalardaki genel sağkalım | ||
| ZYTIGA | Plasebo |
| (N=797) | (N=398) |
Primer Sağkalım Analizi |
|
|
Ölümler (%) | 333 (% 42) | 219 (% 55) |
Medyan genel sağkalım (ay) | 14,8 (14,1; 15,4) | 10,9 (10,2; 12,0) |
(% 95 GA) |
|
|
p-değeri | < 0,0001 | |
Risk oranı (% 95 GA) | 0,646 (0,543; 0,768) | |
Güncel Sağkalım Analizi |
|
|
Ölümler (%) | 501 (% 63) | 274 (% 69) |
Medyan genel sağkalım (ay) | 15,8 (14,8; 17,0) | 11,2 (10,4; 13,1) |
(% 95 GA) |
|
|
Risk oranı (% 95 GA) | 0,740 (0,638; 0,859) | |
Tedavinin başlangıçtaki ilk birkaç ayından sonra tüm değerlendirme zaman noktalarında, plasebo ile tedavi edilenlerin oranıyla karşılaştırıldığında, daha yüksek oranda ZYTIGA ile tedavi edilen hasta hayatta kalmıştır (bkz. Şekil 6).
Şekil 6: ZYTIGA veya plasebo ile birlikte prednizolon ve LHRH agonistleri ya da
öncesinde orşiektomi olmuş hastalardaki Kaplan Meier sağkalım grafiği

Altgrup sağkalım analizleri ZYTIGA tedavisi için tutarlı bir sağkalım faydası gösterdi (bkz. Şekil
7).

Değişken
Alt Grup
HR %95 GA
N
Tüm gönüllüler
Başlangıç ECOG
Başlangıç BPI
Daha önceki kemo
rejimlerinin sayısı
Progresyon türü
Girişte viskeral hastalık
Plasebo Lehine
Radyografi
Sadece PSA
AA Lehine
Şekil 7: Alt gruplara göre genel sağkalım: risk oranı ve % 95'lik güven aralığı
AA=ZYTIGA; BPI=Kısa ağrı envanteri; GA=Güven aralığı; ECOG=doğu kooperatif onkoloji grubu (eastern cooperative oncology grup) performans skoru; HR=Tehlike oranı; NE=Değerlendirilebilir değil
Genel sağkalımda gözlenen artışa ek olarak, tüm ikincil çalışma sonlanım noktaları ZYTIGA lehine idi ve aşağıda gösterildiği şekilde bu farklılıklar birden fazla test için ayarlandıktan sonra istatistiksel olarak anlamlı idi:
ZYTIGA alan hastalarda, plasebo alan hastalara göre anlamlı düzeylerde daha yüksek toplam PSA yanıt oranı (başlangıç değerinden ≥% 50 azalma olarak tanımlanmış) elde edildi, ZYTIGA ile % 38 iken, plaseboyla % 10, p < 0,0001.
ZYTIGA ile tedavi edilen hastalarda, PSA ilerlemesine kadar olan medyan süre 10,2 ay iken, bu süre plasebo ile tedavi edilen hastalarda 6,6 ay idi (HR=0,580; % 95 CI: [0,462; 0,728], p < 0,0001).
ZYTIGA ile tedavi edilen hastalarda medyan radyografik progresyonsuz sağkalım 5,6 ay iken, bu süre plasebo alan hastalarda 3,6 ay idi (HR=0,673; % 95 CI: [0,585; 0,776], p < 0,0001).
Ağrı
Ağrısında hafifleme olan hastaların oranı ZYTIGA grubunda, plasebo grubuna oranla istatistiksel olarak anlamlı derecede daha fazlaydı (% 44'e karşı % 27, p=0,0002). Bir hastada dört hafta arayla yapılan iki ardışık değerlendirmede 24 saatlik bir sürede analjezik kullanım skorunda herhangi bir artış olmaksızın BPI-SF en kötü ağrı yoğunluğu skorunda başlangıca göre en az % 30 azalma sağlanması ağrı hafiflemesi yanıtı olarak tanımlandı. Ağrı palyasyonu için yalnızca başlangıç ağrı skoru ≥ 4 olan hastalar ve en az bir başlangıç-sonrası ağrı skoru analiz edildi (N=512).
ZYTIGA ile tedavi edilen hastalarda, plasebo ile tedavi edilenlere oranla daha düşük oranda ağrı
ilerlemesi görüldü: 6. ayda abirateron asetat tedavisi alanların % 22'sine karşılık plasebo alanların
% 28'i, 12. ayda abirateron asetat tedavisi alanların % 30'una karşılık plasebo alanların % 38'i ve
18. ayda abirateron asetat tedavisi alanların % 35'ine karşılık plasebo alanların % 46'sında ağrıda ilerleme vardı. Ağrının hafiflemesi yanıtı, iki ardışık değerlendirmede son 24 saatlik bir sürede analjezik kullanım skorunda herhangi bir azalma olmaksızın BPI-SF en kötü ağrı yoğunluğu skorunda başlangıca göre % 30 veya daha fazla bir artış ya da iki ardışık değerlendirmede analjezik kullanım skorunda % 30 veya daha fazla bir artış olarak tanımlandı. 25. persentilde ağrı ilerlemesine kadar geçen süre ZYTIGA grubunda 7,4 ay iken, plasebo grubunda 4,7 ay idi.
İskelet sistemiyle ilişkili olaylar
5.2. Farmakokinetik özellikler
Genel özellikler
Abirateron asetat uygulamasından sonra, abirateronun farmakokinetiği sağlıklı gönüllülerde, ilerlemiş metastatik prostat kanserli hastalarda ve kanser hastası olmayan karaciğer veya böbrek yetmezliği olan gönüllülerde çalışılmıştır. Abirateron asetat in vivo olarak hızla bir androjen biyosentez inhibitörü olan abiraterona dönüşür (bkz. Bölüm 5.1).
Emilim:
Abirateron asetat açlık durumunda oral yoldan uygulandıktan sonra, yaklaşık 2 saatte maksimum
plazma abirateron konsantrasyonlarına ulaşılır.
Abirateron asetatın yemekle birlikte alınması, yemeğin yağ içeriğine bağlı olarak, açlık durumunda uygulanmasına oranla 10 kata kadar (EAA açısından) ve 17 kata kadar (Caçısından) daha fazla ortalama sistemik abirateron maruziyetine yol açar. Yemeklerin içerik ve bileşimindeki normal farklılıklar göz önüne alındığında, ZYTIGA'nın yemeklerle birlikte alınması oldukça değişken maruziyetine yol açma olasılığına sahiptir. Bu nedenle, ZYTIGA yemekle birlikte alınmamalıdır. ZYTIGA tabletleri günde bir kez tek doz olarak aç karna alınmalıdır. ZYTIGA, yemek yedikten en az iki saat sonra alınmalıdır ya da ZYTIGA aldıktan sonra en az 1 saat yemek yenmemelidir. Tabletler bütün olarak suyla yutulmalıdır (bkz. Bölüm 4.2).
Dağılım:
İnsan plazmasında C-abirateronun proteine bağlanma oranı % 99,8'dir. Görünür dağılım hacmi yaklaşık 5.63 litre olup, abirateronun periferik dokulara yoğun bir şekilde dağıldığını gösterir.
Biyotransformasyon:
Eliminasyon:
Sağlıklı gönüllülerden elde edilen verilere göre, plazmadaki abirateronun ortalama yarılanma ömrü yaklaşık 15 saattir. 1.000 mg C-abirateron asetatın oral yoldan alınmasından sonra radyoaktif dozun yaklaşık % 88'i feçeste ve yaklaşık % 5'i idrarda görülür. Feçeste bulunan majör bileşikler değişmemiş abirateron asetat ve abiraterondur (sırasıyla uygulanan dozun yaklaşık % 55 ve % 22'si).
Hastalardaki karakteristik özellikler
Karaciğer yetmezliği:
Abirateron asetatın farmakokinetiği hafif ya da orta şiddette karaciğer yetmezliği olan hastalar (sırasıyla Child-Pugh Sınıf A ve B) ile ve sağlıklı kontrollerde çalışılmıştır. 1.000 mg'lık tek bir oral doz sonrası abiraterona sistemik maruziyet hafif ve orta şiddette daha önceden karaciğer yetmezliği olan hastalarda sırasıyla yaklaşık % 11 ve % 260 oranında artmaktadır. Abirateronun ortalama yarılanma ömrü hafif karaciğer yetmezliği olan hastalarda yaklaşık 18 saate ve orta şiddette karaciğer yetmezliği olan hastalarda yaklaşık 19 saate uzamaktadır.
Bir başka çalışmada, abirateronun farmakokinetiği daha önceden ciddi karaciğer yetmezliği (Child-Pugh Sınıf C) olan (n=8) ve normal hepatik fonksiyona sahip 8 sağlıklı birey üzerinde incelenmiştir. Abirateronun sistemik etkisi (EAA) yaklaşık % 600 oranında yükselmiş ve serbest ilacın fraksiyonu şiddetli karaciğer yetmezliği olanlarda normal hepatik fonksiyonu olanlara göre
% 80 artmıştır.
Daha önceden hafif karaciğer yetmezliği olan hastalarda doz ayarlamasına gerek yoktur. Abirateron asetat kullanımı faydanın olası riskten açıkça ağır bastığı, orta şiddette karaciğer yetmezliğine sahip hastalarda dikkatle değerlendirilmelidir (bkz. Bölüm 4.2 ve 4.4). Abirateron asetat ağır karaciğer yetmezliği olan hastalarda kullanılmamalıdır (bkz. Bölüm 4.2, 4.3 ve 4.4).
ZYTIGA tedavi sırasında hepatotoksisite gelişen hastalarda, tedavinin durdurulması ve doz
ayarlaması gerekebilir (bkz. Bölüm 4.2 ve 4.4).
Böbrek yetmezliği:
Stabil bir hemodiyaliz programında olan son dönem böbrek yetmezliği olan hastalar ile normal böbrek fonksiyonları olan eşlenmiş kontrol hastalarında abirateron asetatın farmakokinetiği karşılaştırılmıştır. Diyaliz programında olan son dönem böbrek yetmezliği olan hastalarda
1.000 mg'lık tek bir oral doz sonrası abiraterona sistemik maruziyet artmamıştır. Ağır böbrek yetmezliği dahil, böbrek yetmezliği olan hastalarda ZYTIGA uygulanması sırasında dozu azaltmaya gerek yoktur (bkz. Bölüm 4.2). Ancak prostat kanseri ve ağır böbrek yetmezliği olan hastalarla ilgili klinik deneyim bulunmamaktadır. Bu tür hastalarda dikkatli olunması tavsiye edilir.
5.3. Klinik öncesi güvenlilik verileri
Tüm hayvan toksisite çalışmalarında, dolaşımdaki testesteron düzeyleri anlamlı derecelerde azalmıştır. Sonuç olarak üreme organlarıyla adrenal, hipofiz ve meme bezlerinin organ ağırlıklarında azalma ile morfolojik ve/veya histopatolojik değişiklikler gözlenmiştir. Tüm değişiklikler tamamen ya da kısmen geri döndürülebilirlik göstermiştir. Üreme organları ve androjene duyarlı organlardaki değişiklikler abirateronun farmakolojisiyle uyumludur. Tedaviyle ilişkili tüm hormonal değişiklikler eski haline dönmüştür veya 4 haftalık bir toparlanma dönemi sonunda geri düzeldiği gösterilmiştir.
Hem erkek hem de dişi sıçanlarda yapılan fertilite çalışmalarında, abirateron asetat fertiliteyi azaltmış, fakat abirateron asetat kesildikten sonra 4 ila 16 haftada fertilite tam olarak eski haline dönmüştür.
Sıçanlarda yapılan bir gelişim toksisitesi çalışmasında, abirateron asetat azalmış fetüs ağırlığı ve sağkalım da dahil olmak üzere gebeliği etkilemiştir. Abirateron asetat teratojenik olmasa da, dış genital organlarda etkiler görülmüştür.
Sıçanlarda yürütülen bu fertilite ve gelişim toksisitesi çalışmalarında, tüm etkiler abirateronun
farmakolojik aktivitesine bağlı olmuştur.
Tüm hayvan toksikoloji çalışmalarında görülen üreme organlarındaki değişiklikler dışında, klasik güvenlilik farmakolojisi, tekrarlayan doz toksisitesi, genotoksisite ve karsinojenik potansiyel çalışmalarına dayanan klinik dışı veriler insanlar için özel bir tehlikeyi göstermemiştir. Transjenik farelerde (Tg.rasH2) yapılan 6 aylık bir çalışmada abirateron asetat karsinojenik bulunmamıştır. Sıçanlarda yapılan 24 aylık bir karsinojenisite çalışmasında, abirateron asetat testislerde
interstisyel hücre neoplazmalarının insidansını arttırmıştır. Bu bulgu abirateronun farmakolojik aksiyonuna bağlı ve sıçanlara özgü olarak değerlendirilmiştir. Abirateron asetat dişi sıçanlarda karsinojenik bulunmamıştır.
Çevresel Risk Değerlendirmesi:
Abirateron etkin maddesi, akuatik ortam (özellikle balıklar) için çevresel bir risk göstermektedir.
6. FARMASÖTİK ÖZELLİKLER
6.1. Yardımcı maddelerin listesi
Tablet çekirdeği
Mikrokristalin selüloz (silikatlaşmış)
Kroskarmelloz sodyum Hipromelloz 2910 (15 mPa.S) Laktoz monohidrat (sığır kaynaklı) Magnezyum stearat
Kolloidal anhidröz silika Sodyum lauril sülfat
Film kaplama
Siyah demir oksit (E172) Kırmızısı demir oksit (E172) Makrogol 3350
Polivinil alkol Talk
Titanyum dioksit
ayda, 12'inci ayda ve 18'inci ayda ZYTIGA grubunda iskelet sistemiyle ilişkili olay görülen hasta oranı plasebo ile karşılaştırıldığında daha düşüktü (sırasıyla 6. ayda % 18'e karşı % 28, 12. ayda % 30'a karşı % 40 ve 18. ayda % 35'e karşı % 40). 25. persentilde iskelet sistemiyle ilişkili ilk olayın görülme süresi ZYTIGA grubunda 9,9 ay ile, 4,9 ay olan kontrol grubundan iki kat daha uzundu. Patolojik kırık, spinal kord basısı, kemiğe palyatif radyoterapi veya kemiğe yönelik cerrahi girişim iskelet sistemiyle ilişkili olay olarak tanımlandı.
6. FARMASÖTİK ÖZELLİKLER
6.1. Yardımcı maddelerin listesi
Tablet çekirdeği
Mikrokristalin selüloz (silikatlaşmış)
Kroskarmelloz sodyum Hipromelloz 2910 (15 mPa.S) Laktoz monohidrat (sığır kaynaklı) Magnezyum stearat
Kolloidal anhidröz silika Sodyum lauril sülfat
Film kaplama
Siyah demir oksit (E172) Kırmızısı demir oksit (E172) Makrogol 3350
Polivinil alkol Talk
Titanyum dioksit
6.2. Geçimsizlikler
Bilinen herhangi bir geçimsizliği bulunmamaktadır.
6.3. Raf ömrü
24 ay
6.4. Saklamaya yönelik özel tedbirler
30 °C'nin altındaki oda sıcaklığında saklanmalıdır.
Çocukların göremeyeceği, erişemeyeceği yerlerde ve ambalajında saklayınız.
6.5. Ambalajın niteliği ve içeriği
Bir karton cüzdanda 12 film kaplı tablet içeren PVdC/PE/PVC/alüminyum blister. Her bir karton
(60 film kaplı tablet) 5 cüzdan içerir.
6.6. Beşeri tıbbi üründen arta kalan maddelerin imhası ve diğer özel önlemler
Kullanılmamış olan ürünler ya da atık materyaller “Tıbbi Atıkların Kontrolü Yönetmeliği†ve “Ambalaj ve Ambalaj Atıklarının Kontrolü Yönetmelikâ€lerine uygun olarak imha edilmelidir. Bu tıbbi ürün akuatik ortam için bir risk oluşturabilir (bkz. Bölüm 5.3).
Sırt Ağrısı
Sırt ağrısı birden bire ortaya
çıkıp şiddetli (akut) olabilir veya zamanla gelişip daha uzun
süreli sorunlara (kronik) neden olabilir. |
Ruh ve Akıl Sağlığımızı Geliştirmek
İyi akıl ve ruh sağlığı sahip olmaktan ziyade, yaptığınız şeylerdir. Akıl ve
ruhsal olarak sağlıklı olmak için kendinize değer vermeli ve kendinizi kabul
etmelisiniz. |
İLAÇ EŞDEĞERLERİ
| Eşdeğer İlaç Adı | Barkodu | İlaç Fiyatı |
|---|---|---|
| ABIRATEX | 8699541015349 | 32,951.82TL |
| ABITIGA | 8699638095513 | 26,470.36TL |
| ABYGA | 8699525019776 | 25,319.50TL |
| ARVILA | 8699586013331 | 25,319.50TL |
| BYRETU | 8699650012260 | 23,886.32TL |
| Diğer Eşdeğer İlaçlar |
![]() |
Omurilik zedelenmeleri Omurilik zedelenmesini takip eden birkaç gün içinde, hiçkimse hasarin ne kadar olacagini tahmin edemez. Buradaki sorun, omuriligin herhangi bir zedelenmesinden hemen sonra, bir omurilik sokunun olusmasidir. |
![]() |
Pankreas Kanseri Pankreas karnın alt kısmında yatay şekilde bulunan bir organdır. Sindirime yardımcı olan enzimleri ve kan şekerini yönetmeye yardımcı olan hormonları vücuda dağıtmakla görevlidir. |
![]() |
Artrit Artrit, oldukça yaygın bir hastalıktır ancak iyi anlaşılamamıştır. Aslında “artrit” tek bir hastalığın adı değildir; eklem ağrısı veya eklem hastalıklarını adlandırmanın gayri resmi yoludur. |
İLAÇ GENEL BİLGİLERİ
Johnson & Jonhson Sıhhi Malzeme San. ve Tic.Ltd.Şti.
| Satış Fiyatı | 31299.7 TL [ 4 May 2026 ] |
| Önceki Satış Fiyatı | 31299.7 TL [ 27 Apr 2026 ] |
| Original / Jenerik | Original İlaç |
| Reçete Durumu | Normal Reçeteli bir ilaçdır. |
| Barkodu | 8699593095450 |
| Etkin Madde | Abirateron |
| ATC Kodu | L02BX03 |
| Birim Miktar | 500 |
| Birim Cinsi | MG |
| Ambalaj Miktarı | 60 |
| Antineoplastik ve İmmünomodülatör Ajanlar > Hormon Antagonistleri > Abirateron |
| Yerli ve Beşeri bir ilaçdır. |




