ZYTIGA 250 mg 120 tablet Kısa Ürün Bilgisi
{ Abirateron }
1. BEŞERİ TIBBİ ÜRÜNÜN ADI
ZYTIGA 250 mg tablet
2. KALİTATİF VE KANTİTATİF BİLEŞİM
Etkin madde
Her bir tablet 250 mg abirateron asetat içerir.
Yardımcı maddeler
Her bir tablet 198,65 mg laktoz monohidrat (sığır kaynaklı) ve 6,8 mg sodyum içerir. Yardımcı maddeler için Bölüm 6.1'e bakınız.
3. FARMASÖTİK FORMU
Tablet
Beyaz – gri beyaz renkli, bir yüzünde AA250 baskılı oval tabletler.
4. KLİNİK ÖZELLİKLER
4.1. Terapötik endikasyonlar
ZYTIGA, prednizolon ile birlikte aşağıdaki durumların tedavisinde endikedir:
Hormonal tedaviye duyarlı ancak kemoterapi için uygun olmayan* metastatik prostat kanserli hastalarda progresyona kadar;
4.2. Pozoloji ve uygulama şekli
Pozoloji, uygulama sıklığı ve süresi:Bu tıbbi ürün uygun bir sağlık mesleği mensubu tarafından reçete edilmelidir.
ZYTIGA günde tek seferde 1.000 mg (dört adet 250 mg tablet) olarak yutulmalı ve yiyeceklerle birlikte alınmamalıdır (uygulama şekli bölümüne bakınız). ZYTIGA'nın yiyeceklerle birlikte alınması ilaca sistemik maruziyeti arttırır (bkz. Bölüm 4.5 ve 5.2).
Prednizolon dozu
ZYTIGA, metastatik hormona duyarlı prostat kanserli hastalarda günde 5 mg prednizolon ile birlikte kullanılır.
ZYTIGA, metastatik kastrasyona dirençli prostat kanserli hastalarda günde 10 mg prednizolon ile birlikte kullanılır.
Cerrahi kastrasyon uygulanmamış hastalarda tedavi sırasında luteinizan hormon serbestleyici hormon (LHRH) analoğu ile tıbbi kastrasyona devam edilmelidir.
Önerilen izlem
ZYTIGA ile tedaviye başlamadan önce serum transaminaz düzeyleri ölçülmelidir; tedavinin ilk üç ayında iki haftada bir, daha sonra ayda bir bu testler tekrarlanmalıdır. Hastalar kan basıncı, serum potasyumu ve sıvı retansiyonu açısından aylık olarak izlenmelidir. Bununla birlikte, konjestif kalp yetmezliği açısından anlamlı bir risk taşıyan hastalar tedavinin ilk 3 ayı boyunca iki haftada bir, daha sonra ise ayda bir kere izlenmelidir (bkz. Bölüm 4.4).
Daha önceden hipokalemisi olan ya da ZYTIGA tedavisi sırasında hipokalemi gelişen hastalarda, hastanın potasyum düzeyinin 4,0 mM ve üzerinde tutulması değerlendirilmelidir.
Hipertansiyon, hipokalemi, ödem ve diğer mineralokortikoid dışı toksisiteler dahil olmak üzere, Derece 3 ve üzerinde toksisite gelişen hastalarda, tedavi durdurulmalı ve uygun tıbbi tedaviye başlanmalıdır. Toksisite semptomları Derece 1 ya da başlangıç düzeyine dönünceye kadar ZYTIGA tedavisine yeniden başlanmamalıdır.
ZYTIGA veya prednizolonun günlük dozunun alınmasının unutulması durumunda, tedaviye ertesi gün olağan günlük dozla devam edilmelidir.
Uygulama şekli:
ZYTIGA ağızdan alınır.
Tabletler günde bir kez aç karnına tek doz olarak alınmalıdır. ZYTIGA yemek yedikten en az iki saat sonra alınmalı ve ZYTIGA'yı aldıktan sonra en az bir saat boyunca yemek yenmemelidir. ZYTIGA tabletleri bütün olarak suyla yutulmalıdır.
Özel popülasyonlara ilişkin ek bilgiler:
Hepatotoksisite
ZYTIGA tedavisi sırasında hepatotoksisite gelişen hastalarda (alanin aminotransferaz [ALT] veya aspartat aminotransferaz [AST] düzeylerinin normal kabul edilen üst sınırın 5 katından fazla yükselmesi) tedavi hemen durdurulmalıdır (bkz. Bölüm 4.4). Karaciğer fonksiyon testleri tedaviye başlamadan önceki başlangıç değerlerine döndükten sonra tedaviye azaltılmış dozla günde 500 mg (iki tablet) olarak başlanabilir. Tedaviye yeniden başlanan bu hastalarda serum transaminaz düzeyleri, tedavinin ilk üç ayında iki haftada bir, daha sonra ise ayda bir ölçülmelidir. Azaltılmış 500 mg'lık günlük dozla da hepatotoksisite tekrarlarsa, tedavi tümüyle kesilmelidir.
Tedavinin herhangi bir döneminde ağır hepatotoksisite gelişmesi durumunda (ALT ya da AST düzeylerinin normal kabul edilen üst sınırın 20 katı kadar yükselmesi) tedaviye hemen son verilmeli ve ZYTIGA ile yeniden tedavi uygulanmamalıdır.
Karaciğer yetmezliği:
Önceden hafif şiddette karaciğer bozukluğu olan hastalarda (Child-Pugh Sınıf A) doz ayarlamasına gerek yoktur.
Orta şiddette karaciğer yetmezliğinin (Child Pugh sınıf B), abirateron asetatın oral yoldan tek doz halinde 1,000 mg alınması sonrası abiraterona sistemik maruziyeti yaklaşık dört kat arttırdığı gösterilmiştir (bkz. Bölüm 5.2). Orta şiddette veya ağır karaciğer yetmezliği (Child-Pugh sınıf B veya C) olan hastalarda abirateron asetatın birden fazla dozunun klinik güvenlilik ve etkililiğini gösteren bir veri bulunmamaktadır. Bu tür hastalarda doz ayarlaması öngörülemez. ZYTIGA kullanımı faydanın olası riskten açıkça ağır bastığı, orta şiddette karaciğer yetmezliğine sahip hastalarda dikkatle değerlendirilmelidir (bkz. Bölüm 4.2 ve 5.2). ZYTIGA şiddetli karaciğer yetmezliği olan hastalarda kullanılmamalıdır (bkz. Bölüm 4.3, 4.4 ve 5.2).
Böbrek yetmezliği:
Böbrek yetmezliği olan hastalarda doz ayarlamasına gerek yoktur (bkz. Bölüm 5.2). Ancak prostat kanserli ağır böbrek yetmezliği olan hastalarda klinik deneyim bulunmamaktadır. Bu tür hastalarda dikkatli olunması tavsiye edilmektedir (bkz. Bölüm 4.4).
Pediyatrik popülasyon:
Pediyatrik popülasyonda prostat kanseri görülmediği için ZYTIGA'nın çocuklarda ve adolesanlarda kullanımı bulunmamaktadır.
Geriyatrik popülasyon:
Yaşlı hastalarda herhangi bir doz ayarlaması gerekmemektedir.
4.3. Kontrendikasyonlar
Abirateron asetata veya Bölüm 6.1'de listelenen herhangi bir yardımcı maddeye karşı aşırı duyarlılık varsa,
4.4. Özel kullanım uyarıları ve önlemleri
Mineralokortikoid fazlalığına bağlı hipertansiyon, hipokalemi, sıvı retansiyonu ve kalp yetmezliği
ZYTIGA, CYP17 inhibisyonu sonucunda (bkz. Bölüm 5.1) mineralokortikoid düzeylerindeki artışa bağlı olarak hipertansiyon, hipokalemi ve sıvı retansiyonuna (bkz. Bölüm 4.8) yol açabilir. ZYTIGA ile birlikte kortikosteroid uygulanması, adrenokortikotropin hormon (ACTH) salgılanmasını baskılayarak bu advers etkilerin görülme sıklığı ve şiddetinde bir azalma sağlar. Kan basıncının yükselmesi, hipokalemi (örneğin kardiyak glikozidleri kullanan hastalar) veya sıvı retansiyonu (örneğin kalp yetmezliği olan hastalar, ağır veya stabil olmayan anjina pektoris, yakın zamanda miyokard enfarktüsü veya ventriküler aritmi ve ağır böbrek yetmezliği) nedeniyle altta yatan tıbbi durumu risk altına girebilecek hastalar tedavi edilirken dikkatli olunmalıdır.
ZYTIGA kardiyovasküler hastalık öyküsü olan hastalarda dikkatle kullanılmalıdır. Hipertansiyonu kontrol altına alınamayan, miyokard enfarktüsüyle ortaya çıkmış klinik açıdan anlamlı kalp hastalığı olan, son 6 ayda arteriyel trombotik olay geçirmiş olan, ağır ya da unstabil anjinası olan, New York Kalp Cemiyeti (NYHA) Sınıf III ve IV kalp yetmezliği olan (çalışma 301) ya da Sınıf II'den IV'e kalp yetmezliği (çalışma 3011 ve 302) olan ya da kardiyak ejeksiyon fraksiyonu % 50'nin altında olan hastalar Faz 3 çalışmalara dahil edilmemiştir. Medikal terapi gerektiren atriyal fibrilasyonu veya diğer kardiyak aritmisi olan hastalar çalışma 3011 ve 302'den çıkarılmıştır. Sol ventrikül ejeksiyon fraksiyonu (LVEF) % 50'nin altında olan hastalar ya da New York Kalp Cemiyeti (NYHA) Sınıf III ve IV kalp yetmezliği olan (çalışma 301'de) ya da NYHA Sınıf II'den IV'e kalp yetmezliği (çalışma 3011 ve 302) olan hastalarda güvenlilik değerlendirilmemiştir (bkz. Bölüm 4.8 ve 5.1).
Konjestif kalp yetmezliği açısından anlamlı risk taşıyan hastaların tedavi edilmesinden önce (örneğin, kalp yetmezliği, kontrol altına alınamayan hipertansiyon ya da iskemik kalp hastalığı gibi kalp olayları), kalp fonksiyonunun bir değerlendirmesinin yapılması düşünülmelidir (örneğin, ekokardiyogram). ZYTIGA ile tedaviden önce, kalp yetmezliği tedavi edilmeli ve kalp fonksiyonu mümkün olan en iyi düzeye çıkarılmalıdır. Hipertansiyon, hipokalemi ve sıvı retansiyonu düzeltilmeli ve kontrol altına alınmalıdır. Tedavi sırasında, 3 ay süreyle 2 haftada bir ve daha sonra ayda bir kere olmak üzere kan basıncı, serum potasyum, sıvı retansiyonu (kilo artışı, periferik ödem) ve diğer konjestif kalp yetmezliği bulgu ve belirtileri izlenmeli ve anormallikler düzeltilmelidir. ZYTIGA ile ilişkili hipokalemi görülen hastalarda QT uzaması gözlenmiştir. Kalp fonksiyonunda klinik olarak anlamlı bir azalma olması durumunda, kalp fonksiyonu klinik endikasyona göre değerlendirilmeli, uygun tedavi başlatılmalı ve ZYTIGA tedavisinin kesilmesi değerlendirilmelidir (bkz. Bölüm 4.2).
Hepatotoksisite ve karaciğer yetmezliği
Kontrollü klinik çalışmalarda karaciğer enzimlerinde ilacın kesilmesine ya da doz değişikliğine neden olan belirgin artışlar bildirilmiştir (bkz. Bölüm 4.8). ZYTIGA ile tedaviye başlamadan önce serum transaminaz düzeyleri ölçülmelidir; tedavinin ilk üç ayında iki haftada bir, daha sonra ayda bir bu testler tekrarlanmalıdır. Hepatotoksisitenin klinik belirti veya bulguları görülür görülmez, hemen serum transaminaz düzeyleri ölçülmelidir. Tedavinin herhangi bir yerinde ALT ya da AST düzeyleri normal kabul edilen üst sınırın (NÜS) 5 katından fazla yükselen hastalarda ZYTIGA tedavisine hemen ara verilmeli ve karaciğer fonksiyonları yakından takip edilmelidir. ZYTIGA ile yeniden tedaviye ancak karaciğer fonksiyon testleri başlangıç değerlerine döndüğünde ve azaltılmış dozlarla başlanabilir (bkz. Bölüm 4.2).
Tedavinin herhangi bir döneminde ağır hepatotoksisite gelişmesi durumunda (ALT ya da AST düzeylerinin normal kabul edilen üst sınırın 20 katı kadar yükselmesi) ZYTIGA tedavisi kesilmeli ve bir daha başlatılmamalıdır.
Klinik çalışmalara aktif veya semptomatik viral hepatiti olan hastalar dahil edilmemiştir; bu nedenle ZYTIGA'nın bu popülasyonda kullanımını destekleyen bir veri bulunmamaktadır.
Orta şiddette veya ağır karaciğer yetmezliği (Child-Pugh sınıf B veya C) olan hastalarda abirateron asetatın birden fazla dozunun klinik güvenlilik ve etkililiğini gösteren bir veri bulunmamaktadır. ZYTIGA kullanımı, faydanın olası riskten açıkça ağır bastığı, orta şiddette karaciğer yetmezliğine sahip hastalarda dikkatle değerlendirilmelidir (bkz. Bölüm 4.2 ve 5.2). ZYTIGA şiddetli karaciğer yetmezliği olan hastalarda kullanılmamalıdır (bkz. Bölüm 4.2, 4.3 ve 5.2).
Akut karaciğer yetmezliği ve fulminant hepatit tanımlayan az sayıda pazarlama sonrası rapor mevcuttur. Bunların bazıları ölümle sonuçlanmıştır (bkz. Bölüm 4.8)
Kortikosteroidin geri çekilmesi ve stresli durumların karşılanması
Prednizolon tedavisinin kesilmesi durumunda dikkatli olunması ve adrenokortikal yetmezlik gelişmemesi için hastaların izlenmesi önerilir. Kortikosteroidler kesildikten sonra ZYTIGA tedavisine devam edilecekse, hastalar mineralokortikoid fazlalığına bağlı semptomlar açısından izlenmelidir (bkz. Bölüm 4.4 Mineralokortikoid fazlalığına bağlı hipertansiyon, hipokalemisıvı retansiyonu ve kalp yetmezliği başlığı).
Prednizolon kullanan hastalarda olağan dışı stres ortaya çıktığında, bu stresli durum öncesinde, sırasında ve sonrasında kortikosteroid dozunun arttırılması gerekebilir.
Kemik dansitesi
İleri evre metastatik prostat kanseri olan erkeklerde kemik dansitesinde azalma görülebilir. ZYTIGA'nın bir glukokortikoid ile birlikte kullanımı bu etkiyi arttırabilir.
Daha önceden ketokonazol kullanımı
Daha önceden prostat kanseri için ketokonazol kullanmış olan hastalarda daha düşük yanıt oranları beklenebilir.
Hiperglisemi
Glukokortikoid kullanımı hiperglisemiyi artırabileceği için, diyabetli hastalarda kan şekeri sıklıkla ölçülmelidir. Diyabetik hastalarda abirateron ile birlikte kullanılacak kortikosteroidler kan şekeri regülasyonunu bozabileceğinden dikkatli kullanılmalıdır.
Hipoglisemi
Önceden diyabeti olup pioglitazon veya repaglinid alan hastalara ZYTIGA ve prednizolon uygulandığında hipoglisemi vakaları bildirilmiştir (bkz. Bölüm 4.5); bu nedenle diyabetli hastalarda kan şekeri izlenmelidir.
Kemoterapi ile kullanım
ZYTIGA'nın sitotoksik kemoterapi ile eşzamanlı olarak kullanılmasının güvenliliği ve etkililiği gösterilmemiştir (bkz. Bölüm 5.1).
Potansiyel riskler
ZYTIGA ile tedavi görenler de dahil, prostat kanseri olan erkeklerde anemi ve cinsel işlev bozukluğu görülebilir.
İskelet kası etkileri
ZYTIGA ile tedavi gören hastalarda miyopati ve rabdomiyoliz vakaları bildirilmiştir. Bu olayların çoğu tedavinin ilk 6 ayında ortaya çıkmış ve ZYTIGA'nın kesilmesinden sonra düzelmiştir. Miyopati/rabdomiyoliz ile ilişkili olduğu bilinen ilaçlarla eş zamanlı tedavi gören hastalarda dikkatli olunması önerilir.
Diğer tıbbi ürünler ile etkileşim
Azalmış ZYTIGA maruziyeti riski nedeniyle, başka bir tedavi seçeneği olmadığı sürece tedavi sırasında güçlü CYP3A4 indükleyicilerinden kaçınılmalıdır (bkz. Bölüm 4.5).
Abirateron ve prednizolonun Ra-223 ile kombinasyonu
Ra-223 ile kombinasyon halinde abirateron ve prednizolon ile tedavi, asemptomatik veya hafif semptomatik prostat kanseri hastalarda yürütülen klinik çalışmalarda gözlendiği üzere artmış kırık riski ve artmış mortalite eğilimi nedeniyle kontrendikedir (bkz. Bölüm 4.3).
ZYTIGA'nın prednizolon ile kombine kullanıldığı son dozunu takiben en az 5 gün süreyle ardışık tedavide Ra-223 başlanması önerilmemektedir.
Yardımcı maddeler
Bu tıbbi ürün laktoz ihtiva eder. Nadir kalıtımsal galaktoz intoleransı, total laktaz yetmezliği ya da glukoz-galaktoz malabsorbsiyon problemi olan hastaların bu ilacı kullanmamaları gerekir. Bu tıbbi ürünün dört tabletlik her bir dozu 27,2 mg (1,18 mmol) sodyum ihtiva eder. Bu DSÖ'nün bir yetişkin için önerdiği günlük maksimum 2 g sodyum alımının % 1,36'sına eşdeğerdir.
4.5. Diğer tıbbi ürünler ile etkileşimler ve diğer etkileşim şekilleri
Yiyeceklerin abirateron üzerindeki etkisi
ZYTIGA'nın yiyeceklerle birlikte alınması abirateron emilimini anlamlı derecede arttırır. ZYTIGA'nın yiyeceklerle birlikte alınması halindeki etkililik ve güvenliliği gösterilmemiştir, bu nedenle ZYTIGA yiyeceklerle birlikte alınmamalıdır (bkz. Bölüm 4.2 ve 5.2).
4.5. Diğer tıbbi ürünler ile etkileşimler ve diğer etkileşim şekilleri
Diğer ilaçların abirateron maruziyetlerini etkileme potansiyeli
Güçlü bir CYP3A4 indükleyicisi olan rifampisin ile önce 6 gün boyunca günde bir kere 600 mg dozunda tedavi edilen ve takiben tek bir 1.000 mg'lık abirateron asetat dozu verilen sağlıklı gönüllülerde yürütülen bir klinik farmakokinetik etkileşim çalışmasında, ortalama abirateron plazma EAAdeğeri % 55 azalmıştır.
Başka bir tedavi seçeneği olmadığı sürece tedavi sırasında güçlü CYP3A4 indükleyicilerinden kaçınılmalıdır (örneğin; fenitoin, karbamazepin, rifampisin, rifabutin, rifapentin, fenobarbital, St John's wort (sarı kantaron - Hypericum perforatum).
Sağlıklı gönüllülerde yürütülen ayrı bir klinik farmakokinetik etkileşim çalışmasında, güçlü bir CYP3A4 inhibitörü olan ketokonazolün eşzamanlı uygulanması, abirateronun farmakokinetiği üzerinde klinik olarak anlamlı bir etki yaratmamıştır.
Abirateronun diğer ilaçların maruziyetini etkileme potansiyeli
Abirateron, hepatik ilaç metabolize eden CYP2D6 ve CYP2C8 enzimlerinin bir inhibitörüdür. Abirateron asetatın (artı prednizolon) tek dozda alınan CYP2D6 substratı dekstrometorfan üzerindeki etkisini belirlemek için yapılan bir çalışmada, dekstrometorfanın sistemik maruziyetinin (EAA) yaklaşık 2,9 kat arttığı bildirilmiştir. Dekstrometorfanın aktif metaboliti dekstrorfanın EAA'ü ise yaklaşık % 33 artmıştır.
ZYTIGA, özellikle dar terapötik indekse sahip ilaçlar olmak üzere, CYP2D6 tarafından aktive veya metabolize edilen ilaçlarla birlikte alındığında dikkatli olunmalıdır. CYP2D6 tarafından metabolize edilen dar terapötik indekse sahip ilaçların dozunun azaltılması değerlendirilmelidir. CYP2D6 tarafından metabolize edilen ilaçlara örnek olarak metoprolol, propranolol, desipramin, venlafaksin, haloperidol, risperidon, propafenon, flekainid, kodein, oksikodon ve tramadol gösterilebilir (kodein, oksikodon ve tramadolun aktif analjezik metabolitlerinin oluşabilmesi için CYP2D6 gereklidir).
Sağlıklı gönüllüler üzerinde yapılan bir CYP2C8 ilaç-ilaç etkileşim çalışmasında, pioglitazon 1,000 mg'lık tek doz abirateron asetat ile birlikte verildiğinde, pioglitazonun EAA değeri % 46 artmış ve pioglitazonun aktif metabolitleri olan M-III ve M-IV için EAA değerleri % 10 azalmıştır. CYP2C8 substratı olan dar terapötik aralıklı ilaçlar ile birlikte ZYTIGA kullanılması durumunda hastalar toksisite semptomları açısından izlenmelidir. CYP2C8 tarafından metabolize edilen tıbbi ürün örnekleri arasında pioglitazon ve repaglinid bulunmaktadır (bkz. Bölüm 4.4).
İn vitro ortamda, abirateronun majör metabolitleri olan abirateron sülfat ve N-oksit abirateron sulfatın karaciğer alım taşıyıcısı OATP1B1'i inhibe ettiği ve sonuç olarak OATP1B1 tarafından elimine edilen ilaçların konsantrasyonlarını artırabileceği gösterilmiştir. Taşıyıcı bağlı etkileşimi doğrulayacak klinik veri yoktur.
QT aralığını uzattığı bilinen ilaçlar ile kullanımı
Androjen azaltma tedavisi QT aralığını uzattığı için, QT aralığını uzattığı bilinen ilaçlar ile ZYTIGA verirken veya sınıf IA (örn. kinidin, disopiramid) gibi Torsade de pointes'i indükleyebilecek ya da sınıf III (örn. amiadoron, sotalol, dofetilid, ibutilid) gibi antiaritmik ürünler, metadon, moksifloksasin, antipsikotikler gibi ürünler ile verilirken dikkatli olunması önerilir.
Spironolakton ile kullanım
Spironolakton androjen reseptörüne bağlanır ve prostat spesifik antijen (PSA) seviyelerini artırabilir. ZYTIGA ile kullanımı önerilmez (bkz. Bölüm 5.1).
Özel popülasyonlara ilişkin ek bilgiler
Herhangi bir etkileşim çalışması yapılmamıştır.
Pediyatrik popülasyon:
Herhangi bir etkileşim çalışması yapılmamıştır.
4.6. Gebelik ve laktasyon
Gebelik kategorisi: X
ZYTIGA kadınlarda kullanımı olan bir ilaç değildir. ZYTIGA gebe olan ya da gebe olma olasılığı bulunan kadınlarda kontrendikedir (bkz. Bölüm 4.3 ve 5.3).
Çocuk doğurma potansiyeli bulunan kadınlar
Gebelikte ZYTIGA kullanımına ilişkin klinik bir veri mevcut değildir ve ZYTIGA çocuk doğurma potansiyeli bulunan kadınlarda kullanım için uygun bir ilaç değildir.
Doğum kontrolü (kontrasepsiyon)
ZYTIGA ya da metabolitlerinin semende bulunup bulunmadığı bilinmemektedir. Hastanın gebe bir kadınla cinsel ilişkiye girmesi durumunda kondom kullanması gerekir. Hastanın çocuk doğurma potansiyeli bulunan bir kadınla cinsel ilişkiye girmesi durumunda etkili bir doğum kontrol yöntemine ek olarak kondom kullanması gerekir. Hayvanlarda yapılan çalışmalar üreme toksisitesi olduğunu göstermiştir (bkz. Bölüm 5.3).
Gebelik dönemi
ZYTIGA kadınlarda kullanımı olan bir ilaç değildir ve gebelik döneminde ya da gebelik potansiyeline sahip kadınlarda kontrendikedir (bkz. Bölüm 4.3 ve 5.3).
Laktasyon dönemi
ZYTIGA kadınlarda kullanımı olan bir ilaç değildir.
Üreme yeteneği / Fertilite
Abirateron asetat erkek ve dişi sıçanlarda fertiliteyi etkilemiş olmakla birlikte bu etkiler tamamen geri dönüşümlü olmuştur (bkz. Bölüm 5.3).
4.7. Araç ve makine kullanımı üzerindeki etkiler
ZYTIGA'nın araç ve makine kullanımı yeteneği üzerinde etkisi yoktur ya da ihmal edilebilir düzeydedir.
4.8. İstenmeyen etkiler
Güvenlilik profilinin özeti
Birleştirilmiş Faz 3 çalışmalarının istenmeyen yan etkiler üzerindeki bir analizinde, ZYTIGA ile hastaların % 10'unda veya fazlasında gözlemlenen istenmeyen etkiler; periferik ödem, hipokalemi, hipertansiyon, idrar yolu enfeksiyonu ve alanin aminotransferaz düzeylerinde yükselme ve/veya aspartat aminotransferaz düzeylerinde yükselmedir.
Diğer önemli advers etkiler arasında kalp hastalıkları, hepatotoksisite, kırıklar ve alerjik alveolit bulunur.
ZYTIGA, etki mekanizmasının farmakodinamik sonucu olarak hipertansiyon, hipokalemi ve sıvı retansiyonuna neden olabilir. Faz 3 çalışmalarında, abirateron asetat ile tedavi edilen hastalarda, plasebo ile tedavi edilen hastalara oranla beklenen mineralokortikoid advers etkiler daha yaygın olarak görülmüştür. Çalışmada hipokalemi abirateron asetat alanlarda % 18 iken plasebo alanlarda % 8, hipertansiyon abirateron asetat alanlarda % 22 iken plasebo alanlarda % 16 ve sıvı retansiyonu (periferik ödem) abirateron asetat alanlarda % 23 iken plasebo alanlarda % 17 olarak bildirilmiştir. Abirateron asetat ile tedavi edilen hastalarda, Grade 3 ve 4 hipokalemi (CTCAE, versiyon 4.0 sınıflamasına göre) % 6 iken plasebo alanlarda % 1; abirateron asetat ile tedavi edilen hastalarda Grade 3 ve 4 hipertansiyon (CTCAE, versiyon 4.0 sınıflamasına göre) % 7 iken plasebo alanlarda % 5; abirateron asetat ile tedavi edilen hastalarda Grade 3 ve 4 sıvı retansiyonu (periferal ödem) % 1 iken plasebo alanlarda % 1 olarak gözlemlenmiştir. Mineralokortikoid reaksiyonlar tıbbi tedaviyle genellikle başarıyla yönetilebilmiştir. Kortikosteroidlerin birlikte kullanılması bu advers ilaç reaksiyonlarının sıklık ve şiddetini azaltır (bkz. Bölüm 4.4).
Advers reaksiyonların özeti
Luteinizan hormon salgılayıcı hormon (LHRH) analoğunun kullanılmakta olduğu ya da daha önceden orşiektomi tedavisi uygulanmış ileri evre metastatik prostat kanserli hastalardaki çalışmalarda, ZYTIGA, düşük doz prednizolon (endikasyona bağlı olarak günlük 5 veya 10 mg) ile kombine olarak günde 1.000 mg dozunda kullanılmıştır.
Klinik çalışmalarda ve pazarlama sonrası deneyimlerde gözlenen advers etkiler aşağıdaki sıklık derecelerine göre listelenmiştir. Çok yaygın (≥1/10); yaygın (≥1/100 ila <1/10); yaygın olmayan (≥1/1.000 ila <1/100); seyrek (≥1/10.000 ila <1/1.000); çok seyrek (<1/10.000), bilinmiyor (eldeki verilerden hareketle tahmin edilemiyor).
Her bir sıklık grubunda, istenmeyen etkiler azalan ciddiyet sırasına göre sunulmuştur.
Enfeksiyonlar ve enfestasyonlar Çok yaygın: İdrar yolu enfeksiyonu Yaygın: Sepsis
Bağışıklık sistemi hastalıkları
Bilinmiyor: Anafilaktik reaksiyonlar
Endokrin hastalıkları
Yaygın olmayan: Adrenal yetmezlik
Metabolizma ve beslenme hastalıkları
Çok yaygın: Hipokalemi Yaygın: Hipertrigliseridemi
Kardiyak hastalıklar
Yaygın: Kalp yetmezliği*, anjina pektoris, atrial fibrilasyon, taşikardi Yaygın olmayan: Diğer aritmiler
Bilinmiyor: Miyokard enfarktüs, QT uzaması (bkz. Bölüm 4.4 ve 4.5)
Vasküler hastalıklar
Çok yaygın: Hipertansiyon
Solunum, göğüs hastalıkları ve mediastinal hastalıklar
Seyrek: Alerjik alveolit
Gastrointestinal hastalıklar
Çok yaygın: Diyare Yaygın: Dispepsi
Hepato-bilier hastalıklar
Çok yaygın: Alanin aminotransferaz düzeylerinde yükselme ve/veya aspartat aminotransferaz düzeylerinde yükselme
Seyrek: Fulminant hepatit, akut karaciğer yetmezliği
Deri ve deri altı doku hastalıkları
Yaygın: Döküntü
Kas-iskelet bozuklukları, bağ doku ve kemik hastalıkları
Yaygın olmayan: Miyopati, rabdomiyoliz
Böbrek ve idrar yolu hastalıkları
Yaygın: Hematüri
Genel bozukluklar ve uygulama bölgesine ilişkin hastalıklar
Çok yaygın: Periferik ödem
Yaralanma ve zehirlenme
Yaygın : Kırıklar**
* Kalp yetmezliği aynı zamanda konjestif kalp yetmezliği, sol ventriküler disfonksiyon ve ejeksiyon fraksiyonunda azalmayı da içermektedir.
**Kırıklar, osteoporozu ve patolojik kırık dışındaki tüm kırıkları içerir.
Abirateron asetat ile tedavi edilen hastalarda aşağıdaki Grade 3 advers ilaç reaksiyonları (CTCAE, versiyon 4.0 sınıflamasına göre) görülmüştür: % 5 hipokalemi; % 2 idrar yolu enfeksiyonu; % 4 alanin aminotransferaz düzeyinde yükselme ve/veya aspartat aminotransferaz düzeyinde yükselme, % 6 hipertansiyon, % 2 kırık; % 1 periferik ödem, kalp yetmezliği ve atrial fibrilasyon. CTCAE (versiyon 4.0) Grade 3 hipertrigliseridemi ve anjina pektoris hastaların % 1'inden azında meydana gelmiştir. Hastaların % 1'inden azında Grade 4 idrar yolu enfeksiyonu, alanin aminotransferaz düzeyinde yükselme ve/veya aspartat aminotransferaz düzeyinde yükselme, hipokalemi, kalp yetmezliği, atriyal fibrilasyon ve kırıklar görülmüştür.
Hormona duyarlı popülasyonda (çalışma 3011) hipertansiyon ve hipokalemi daha yüksek bir insidansta gözlemlenmiştir. Hormona duyarlı popülasyonda (çalışma 3011) hastaların % 36,7'sinde hipertansiyon rapor edilmişken, çalışma 301 ve 302'de sırasıyla % 11,8 ve % 20,2'idi. Hormona duyarlı popülasyonda hastaların % 20,4'ünde hipokalemi gözlemlenmişken (çalışma 3011), çalışma 301 ve 302'de sırasıyla % 19,2 ve % 14,9'idi.
ECOG2 performans durum skoru temel olan alt grup hastalarda ve ayrıca yaşlı hastalarda (≥75 yaş), yan etkilerin görülme sıklığı ve ciddiyeti daha yüksekti.
Seçilmiş advers reaksiyonların tanımlanması Kardiyovasküler etkiler
ZYTIGA ile yürütülen üç Faz 3 çalışmasında da, hipertansiyonu kontrol altına alınamayan, miyokard enfarktüsüyle ortaya çıkmış klinik açıdan anlamlı kalp hastalığı olan, son 6 ayda arteriyel trombotik olay geçirmiş olan, ağır ya da unstabil anjinası olan, New York Kalp Cemiyeti (NYHA) Sınıf III ve IV kalp yetmezliği (çalışma 301) ya da Sınıf II ila IV kalp yetmezliği (çalışma 3011 ve 302) olan ya da kardiyak ejeksiyon fraksiyon ölçümü % 50'den düşük olan hastalar çalışmaya dahil edilmemiştir. Çalışmaya alınan diyabet, miyokard enfarktüsü, serebrovasküler olay ve ani kardiyak ölüm riski olan tüm hastalara (hem aktif ilaç, hem de plasebo alanlar) aynı zamanda öncelikle LHRH analogları kullanılarak androjen azaltma tedavisi uygulanmıştır. Faz 3 çalışmasında kardiyovasküler advers reaksiyonların sıklığı ZYTIGA alanlarda ve plasebo alanlarda aşağıdaki gibi bulunmuştur: Atriyal fibrilasyon % 2,6 ve
% 2,0; taşikardi, % 1,9 ve % 1,0; anjina pektoris % 1,7 ve % 0,8; kalp yetmezliği % 0,7 ve % 0,2 ve aritmi, % 0,7 ve % 0,5.
Hepatotoksisite
Abirateron asetat ile tedavi edilen hastalarda ALT, AST ve total bilirubin düzeylerinde yükselmeyle seyreden hepatotoksisite bildirilmiştir. Faz 3 klinik çalışmalarında, ZYTIGA alan hastaların yaklaşık % 6'sında tipik olarak tedaviye başladıktan sonraki ilk 3 ayda Grade 3 ve 4
karaciğer toksisitesi (örneğin, ALT ve AST düzeylerinde normal kabul edilen üst sınırın 5 katından fazla yükselme veya bilirubin düzeylerinde normal kabul edilen üst sınırın 1,5 katından fazla yükselme) bildirilmiştir. Çalışma 3011'de, ZYTIGA ile tedavi edilen hastaların % 8,4'ünde Grade 3 ve 4 hepatotoksisite gözlemlenmiştir. ZYTIGA alan hastalardan 10'unda hepatotoksisite sebebiyle tedavi sonlandırılmıştır; bunlardan ikisi Grade 2 hepatotoksisite, altı tanesi Grade 3 hepatotoksisite ve iki tanesi Grade 4 hepatotoksisitedir. Çalışma 3011'de hepatotoksisite sebebiyle ölen hasta olmamıştır. Faz 3 klinik çalışmalarında, başlangıç ALT veya AST düzeyleri yüksek olan hastalarda, başlangıç değerleri normal olanlara göre karaciğer fonksiyon testlerinde artış olasılığı daha yüksek olmuştur.
ALT veya AST düzeylerinde normal kabul edilen üst sınırın 5 katından fazla yükselme olduğunda ya da bilirubin düzeylerinde normal kabul edilen üst sınırın 3 katından fazla yükselme olduğunda ZYTIGA tedavisine ara verilmiş ya da kesilmiştir. İki olguda karaciğer fonksiyon testlerinde belirgin yükselmeler görülmüştür (bkz. Bölüm 4.4). Başlangıç değerleri normal olan bu iki hastada ALT veya AST düzeyleri normal üst sınır değerlerin 15 ila 40 katı ve bilirubin düzeyleri ise normal üst sınır değerlerin 2 ila 6 katı yükselmiştir. ZYTIGA tedavisinin kesilmesinden sonra, her iki hastada da karaciğer fonksiyon testleri normale dönmüş ve hastalardan birinde bu defa yükselme olmaksızın ZYTIGA ile yeniden tedavi uygulanabilmiştir. Çalışma 302'deki ZYTIGA ile tedavi edilen 35 (% 6,5) hastada, Grade 3 veya 4 ALT ya da AST yükselmeleri gözlemlenmiştir. Aminotransferaz yükselmeleri 3 hasta (son abirateron asetat dozundan yaklaşık 3 hafta sonra yeni çoklu karaciğer metastazı olan 2 ve AST yükselmesi olan 1 hasta) hariç tüm hastalarda normale dönmüştür. Faz 3 klinik çalışmalarında, ALT ve AST artışları veya karaciğer fonksiyonlarında anormallik nedeniyle tedaviyi kesme oranları abirateron asetat alan hastalar için % 1,1, plasebo alan hastalar için ise % 0,6 olarak bildirilmiştir; hepatotoksisite olaylarına bağlı hiçbir ölüm vakası bildirilmemiştir.
Klinik çalışmalarda başlangıçta hepatiti ya da karaciğer fonksiyon testlerinde anlamlı anormallikleri olan hastalar hariç tutulmak suretiyle hepatotoksisite riski azaltılmıştır. Çalışma 3011'de, başlangıç ALT ve AST değerleri NÜS'ün 2,5 katından fazla olan hastalar, bilirubin değerleri normal kabul edilen üst sınırın 1,5 katından fazla olan hastalar ve aktif veya semptomatik viral hepatit veya kronik karaciğer hastaları; karaciğer fonksiyon bozukluğuna bağlı assit veya kanama bozukluğu olan hastalar çalışmaya alınmamıştır. Çalışma 301'de, başlangıç ALT ve AST düzeyleri karaciğer metastazının olmadığı durumlarda normal kabul edilen üst sınırın ≥2,5 katı, metastaz olanlarda ise normal kabul edilen üst sınırın >5 katı olan hastalar çalışmaya dahil edilmemiştir. Çalışma 302'de, karaciğer metastazı olanlar ve başlangıç ALT ve AST düzeyleri ≥ 2,5 × NÜS olan hastalar çalışmaya alınmamıştır. Klinik çalışmaya alınan hastalarda karaciğer fonksiyon testlerinde anormalleşme olduğunda ise, bu hastaların tedavileri kesilmiş ve ancak karaciğer fonksiyon testleri tedavinin başlangıcındaki düzeylerine döndükten sonra yeniden tedavi almalarına izin verilmiştir (bkz. Bölüm 4.2). ALT ve AST düzeyleri normal kabul edilen üst sınırın 20 katından fazla yükselen hastalarda yeniden tedavi uygulanmamıştır. Bu tür hastalarda tedaviye yeniden başlamanın güvenliliği bilinmemektedir. ZYTIGA tedavisi sırasında gelişen hepatotoksisitenin mekanizması bilinmemektedir.
Şüpheli advers reaksiyonların raporlanması
Ruhsatlandırma sonrası şüpheli ilaç advers reaksiyonlarının raporlanması büyük önem taşımaktadır. Raporlama yapılması, ilacın yarar/risk dengesinin sürekli olarak izlenmesine olanak sağlar. Sağlık mesleği mensuplarının herhangi bir şüpheli advers reaksiyonu Türkiye Farmakovijilans Merkezi (TÜFAM)'ne bildirmeleri gerekmektedir (www.titck.gov.tr; e-posta: tufam@titck.gov.tr; tel: 0 800 314 00 08; faks: 0 312 218 35 99).
4.9. Doz aşımı ve tedavisi
ZYTIGA ile doz aşımına dair insan deneyimi sınırlıdır.
Spesifik antidotu yoktur. Doz aşımı durumunda ZYTIGA uygulaması durdurularak aritmilerin, hipokalemi ve sıvı retansiyonunun bulgu ve belirtilerinin izlenmesi de dahil olmak üzere genel destekleyici önlemler alınmalıdır. Karaciğer fonksiyonları da değerlendirilmelidir.
5. FARMAKOLOJİK ÖZELLİKLER
5.1. Farmakodinamik özellikler
Farmakoterapötik grup: Endokrin tedavisi, diğer hormon antagonistleri ve ilişkili ajanlar ATC kodu: L02BX03
Etki mekanizması
Abirateron asetat (ZYTIGA) in vivo olarak bir androjen biyosentez inhibitörü olan abiraterona dönüşür. Spesifik olarak abirateron 17α-hidroksilaz/C17,20-liyaz (CYP17) enzimini seçici olarak inhibe eder. Bu enzim testiküler, adrenal ve prostatik tümör dokularında eksprese olur ve androjenin biyosentezi için gereklidir. CYP17 enzimi, sırasıyla 17α-hidroksilasyon ve C17,20 bağının kırılmasıyla pregnenolon ve progesteronun testesteron prekürsörleri olan DHEA ve androstenediona dönüşümünü katalize eder. CYP17 inhibisyonu aynı zamanda adrenaller tarafından mineralokortikoid üretiminde artışa da yol açar (bkz. Bölüm 4.4).
Androjene duyarlı prostat karsinomu, androjen düzeylerini azaltan tedaviye yanıt verir. LHRH analogları ya da orşiektomi gibi androjen azaltıcı tedaviler, testislerdeki androjen üretimini azaltmalarına rağmen, adrenaller ya da tümör dokusundaki androjen üretimini etkilemezler. LHRH analogları (ya da orşiektomi) ile birlikte ZYTIGA tedavisi uygulandığında serum testesteron düzeyleri (ticari testlerle ölçüldüğünde) saptanabilir düzeylerin altına düşer.
Farmakodinamik etkiler
ZYTIGA, serum testesteron ve diğer androjen seviyelerini, tek başına LHRH analogları ya da orşiektomi ile elde edilen seviyelerin altına düşürür. Bu, androjen biyosentezi için gerekli olan CYP17 enziminin selektif olarak inhibe edilmesinin bir sonucudur. Prostat spesifik antijen (PSA) prostat kanserli hastalarda bir biyogösterge olarak kullanılır. Daha önce taksanlarla yapılan kemoterapiden fayda görmeyen hastalarda gerçekleştirilen bir Faz 3 klinik çalışmada, ZYTIGA ile tedavi edilen hastaların % 38'inde başlangıç PSA değerlerine göre en az % 50 azalma sağlanabilmişken, bu azalma oranı plasebo ile tedavi edilenlerin ancak % 10'unda sağlanabilmiştir.
Klinik etkililik ve güvenlilik
ZYTIGA'nın etkililiği metastatik hormona duyarlı prostat kanseri (mHDPK) ve metastatik kastrasyona dirençli prostat kanseri (mKDPK) olan hastalarda gerçekleştirilen plasebo kontrollü çok merkezli randomize üç Faz 3 çalışmayla (çalışma 3011, 302 ve 301) gösterilmiştir. Çalışma 3011'e, yüksek riskli prognostik faktörlere sahip yeni tanı almış (randomizasyondan önceki 3 ay içerisinde) mHDPK'li hastalar dahil edilmiştir. Yüksek riskli prognoz aşağıdaki 3 risk faktöründen en az 2'sine sahip olmak olarak tanımlanmıştır: (1) Gleason skorunun ≥8 olması; (2) kemik taramasında 3 veya daha fazla lezyon olması; (3) ölçülebilir visseral (lenf nodu hastalığı hariç) metastaz olması. Aktif tedavi kolunda, standart tedavi olan ADT'ye (LHRH analoğu veya orşiektomi) ilave olarak, ZYTIGA günde 1.000 mg dozunda, günde tek doz 5 mg düşük doz prednizon ile kombine olarak uygulandı. Kontrol kolundaki hastalara ZYTIGA ve prednizon
yerine ADT ve plasebo verildi. Çalışma 301'e daha önceden dosetaksel kullanmış hastalar, çalışma 302'ye ise daha önce dosetaksel kullanmamış hastalar dahil edilmiştir. Hastalar bir LHRH analoğu kullanıyorlardı ya da daha önce orşiektomi olmuşlardı. Aktif tedavi uygulanan kolda, ZYTIGA, günde iki defa 5 mg düşük doz prednizon ya da prednizolonla kombine olarak günde 1.000 mg dozunda kullanılmıştır. Kontrol grubundaysa plaseboya ek olarak günde iki defa 5 mg düşük doz prednizon ya da prednizolon uygulanmıştır.
Serum PSA konsantrasyonlarındaki değişiklikler bağımsız olarak her zaman klinik faydayı göstermeyebilir. Bu nedenle, tüm çalışmalarda hastaların aşağıda verilen tedavi kesilme kriterlerini karşılamalarına kadar tedaviye devam etmeleri önerilir.
Spironolakton androjen reseptörüne bağlandığı ve PSA düzeylerini artırabileceği için, tüm çalışmalarda spironolakton kullanımına izin verilmemiştir.
Çalışma 3011 (yeni tanı almış yüksek riskli mHDPK hastaları)
Çalışma 3011'e (n=1.199) dahil edilen hastaların medyan yaşı 67 idi. ZYTIGA ile tedavi edilen hastaların 832'si (% 69,4) beyaz ırka mensup, 246'sı (% 20,5) Asyalı, 25'i (% 2,1) Siyahi veya Afro Amerikan, 80'i (% 6,7) diğer, 13'ü (% 1,1) bilinmeyen/raporlanmamış ve 3'ü (% 0,3) Amerikan yerlisi veya Alaska yerlisi idi. Hastaların % 97'si için ECOG performans durumu 0 veya 1 idi. Bilinen beyin metastazı, kontrol altına alınamayan hipertansiyonu, önemli kalp hastalığı olan veya NYHA Sınıf II-IV kalp yetmezliği olan hastalar çalışmaya alınmamıştır. Metastatik hastalıktan kaynaklanan semptomların tedavisi için 3 aya kadar ADT veya 1 kür palyatif radyasyon veya operasyon tedavisi alan hastalar haricinde daha önce farmakoterapi, radyasyon terapisi veya metastatik prostat kanseri operasyonu geçirerek tedavi edilen hastalar çalışmaya alınmamıştır. Ortak birincil etkililik sonlanım noktaları, genel sağkalım (OS) ve radyografik progresyonsuz sağkalım (rPFS) idi. Kısa Ağrı Envanteri Kısa Form (BPI-SF) ile ölçülen medyan başlangıç ağrı skoru hem tedavi kolunda, hem de plasebo gruplarında 2,0 idi. Ortak birincil sonlanım noktaları ölçümlerine ilave olarak; iskeletle ilişkili olaya (SRE) kadar geçen süre, prostat tedavisi için sonraki tedaviye kadar geçen süre, kemoterapi başlangıcına kadar geçen süre, ağrı progresyonuna kadar geçen süre ve PSA progresyonuna kadar geçen süre kullanılarak tedavi faydası da değerlendirildi. Tedavi, hastalık progresyonuna, onamın geri çekilmesine, kabul edilemez toksisite veya ölüme kadar devam etti.
Radyografik progresyonsuz sağkalım, randomizasyondan radyografik progresyon görülmesine veya herhangi bir nedene bağlı ölüme kadar geçen süre olarak tanımlandı. Radyografik progresyon, kemik taramasıyla progresyonu (modifiye PCWG2'ye göre) veya BT veya MRG ile yumuşak doku lezyonlarındaki progresyonu (RECIST 1.1'e göre) kapsıyordu.
Tedavi grupları arasında rPFS bakımından anlamlı bir farklılık gözlendi (bkz. Tablo 1 ve Şekil 1).
Tablo 1: Radyografik Progresyonsuz Sağkalım - Katmanlı Analiz; Intent-to-treat Popülasyonu (çalışma PCR3011) | ||
| AA-P | Plasebo |
Randomize hastalar | 597 | 602 |
Olay | 239 (% 40,0) | 354 (% 58,8) |
Sansürlendi | 358 (% 60,0) | 248 (% 41,2) |
Olaya Kadar Geçen Süre (ay) |
|
|
Medyan (% 95 GA) | 33,02 (29,57, NE) | 14,78 (14,69, 18,27) |
Aralık | (0,0+, 41,0+) | (0,0+, 40,6+) |
p değeri | < 0,0001 |
|
Tehlike oranı (% 95 GA) | 0,466 (0,394, 0,550) |
|
Not: += Sansürlenmiş gözlem, NE=Hesaplanmadı. rPFS olayını tanımlamada radyografik progresyon ve ölüm dikkate alınmıştır. AA-P= Abirateron asetat ve prednizolon alan hastalar.
Progresyon veya ölüm olmaksızın % gönüllüler
Şekil 1: Radyografik Progresyonsuz Sağkalıma ilişkin Kaplan-Meier Grafiği; Intent-to- treat Popülasyonu (çalışma PCR3011) |
Risk altındaki Randomizasyondan sonraki zaman, ay gönüllüler Abirateron asetat Plasebo Abirateron asetat Plasebo |
OS bakımından Plasebo artı ADT (TO=0,66; % 95 GA: 0,56, 0,78; p<0,0001) ile karşılaştırıldığında, ölüm riskinde % 34'lük bir azalma ile AA-P artı ADT lehine istatistiksel olarak anlamlı bir iyileşme gözlenmiştir (bkz. Tablo 2 ve Şekil 2).
Tablo 2: PCR3011 çalışmasında ZYTIGA veya Plasebo ile Tedavi Edilen Hastaların Genel Sağkalımı (Intent-to-treat Analiz) | ||
Genel Sağkalım | ZYTIGA ve Prednizon (N=597) | Plasebo (N=602) |
Ölüm (%) | 275 (% 46) | 343 (% 57) |
Medyan sağkalım (aylar) | 53,3 | 36,5 |
(% 95 GA) | 48,2, NE | 33,5, 40,0 |
Tehlike oranı (% 95 GA) | 0,66 (0,56, 0,78) | |
NE= Hesaplanmadı
Tehlike oranı tabakalandırılmış orantısal riskler modelinden hesaplanmıştır. Tehlike oranı 1 ZYTIGA ve prednizon lehine
![]()
Şekil 2: Genel Sağkalıma ilişkin Kaplan-Meier Grafiği; Intent-to-treat Popülasyon

Analizi (çalışma PCR3011)
Ölüm olmaksızın % sağkalan gönüllüler
Risk altındaki gönüllüler Abirateron asetat
Plasebo
Randomizasyondan sonraki zaman, ay
Abirateron asetat Plasebo
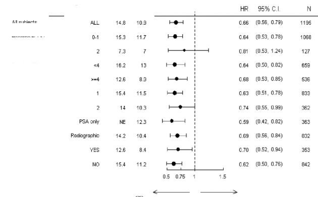
Alt grup analizleri ZYTIGA ile tedaviyi sürekli olarak desteklemektedir. Önceden belirlenmiş alt gruplarda AA-P'nin rPFS ve OS üzerindeki tedavi etkisi genel çalışma popülasyonunda daha üstün ve tutarlı olurken, ECOG skoru 2 olan alt grupta lehde bir yarar gözlenmemiştir, ancak örneklem büyüklüğünün küçük olması (n=40) anlamlı bir sonuç çıkarılmasını kısıtlamıştır.
Genel sağkalım ve rPFS'de gözlenen artışlara ilave olarak, prospektif olarak tanımlanan tüm ikincil sonlanım noktaları için plasebo karşısında ZYTIGA lehine faydalar gösterilmiştir.
Çalışma 302 (daha önce kemoterapi almamış hastalar)
Bu çalışmaya asemptomatik veya hafif düzeyde semptomatik olan ve henüz kemoterapi endikasyonu bulunmayan kemoterapi almamış hastalar dahil edilmiştir. Kısa Ağrı Envanteri - Kısa Formunun (BPI-SF) “son 24 saat içindeki en kötü ağrı†maddesinin puanının 0-1 olması asemptomatik, puanın 2-3 olması ise hafif semptomatik olarak değerlendirilmiştir.
Çalışma 302'de (n = 1.088) yer alan hastaların medyan yaşı ZYTIGA ile birlikte prednizon veya prednizolon alan hastalar için 71, plasebo ile birlikte prednizolon alan hastalar için 70 idi. ZYTIGA ile tedavi edilen hastaların ırklarına göre dağılımı şöyleydi: 520 (% 95,4) beyaz ırk, 15 (% 2,8) siyah ırk, 4 (% 0,7) sarı ırk ve 6 (% 1,1) diğer ırklar. Doğu Ortak Onkoloji Grubu (ECOG) performans durumu, her iki koldaki hastaların % 76'sı için 0 ve % 24'ü için 1 idi. Hastaların % 50'sinde yalnızca kemik metastazları, % 31'inde kemik ve yumuşak doku veya lenf nodu metastazları ve % 19'unda yalnızca yumuşak doku veya lenf nodu metastazları meydana gelmiştir. Visseral metastazı olan hastalar çalışmaya alınmamıştır. Ortak birincil etkinlik sonlanım noktaları, genel sağkalım ve radyografik progresyonsuz sağkalım (rPFS) idi. Ortak birincil sonlanım noktaları ölçümlerine ilave olarak; kanser ağrısı için opiat kullanımına kadar geçen süre, sitotoksik kemoterapi başlangıcına kadar geçen süre, ECOG performans durumunda
≥ 1 puanlık kötüleşmeye kadar geçen süre ve Prostat Kanseri Çalışma Grubu 2 (PCWG2) kriterlerine göre PSA progresyonuna kadar geçen süre kullanılarak tedavi faydası da değerlendirilmiştir. Bariz klinik progresyon durumunda çalışma tedavilerine son verilmiştir. Araştırmacı kararıyla, doğrulanmış radyografik progresyon ile de tedavi kesilebilecekti.
Radyografik progresyonsuz sağkalım (rPFS) PCWG2 kriterlerinde (kemik lezyonları için) tanımlanan seri görüntüleme çalışmalarına ve Solid Tümörlerde Yanıt Değerlendirme Kriterleri'ne (RECIST) göre (yumuşak doku lezyonları için) değerlendirildi. rPFS analizinde, radyografik progresyon değerlendirmesi merkezi inceleme ile yapılmıştır.
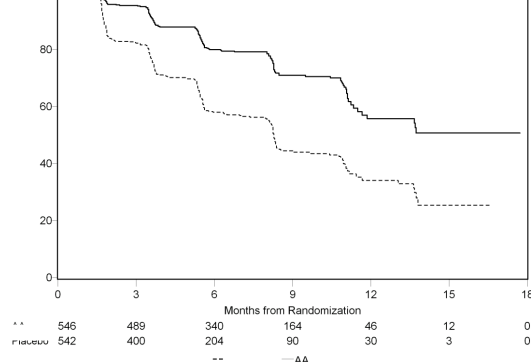
Planlı rPFS analizi 401 olayı kapsamış, ZYTIGA ile tedavi edilen hastaların 150'sinde (% 28) ve plasebo ile tedavi edilen hastaların 251'inde (% 46) ya radyografik progresyon bulgusu görülmüş ya da hastalar ölmüştür. Tedavi grupları arasında rPFS bakımından anlamlı bir farklılık gözlenmiştir(bkz. Tablo 3 ve Şekil 3).
Tablo 3: Çalışma 302: ZYTIGA veya plasebo ile birlikte prednizolon ve LHRH analogları ya da öncesinde orşiektomi olan hastalardaki radyolografik progresyonsuz sağkalım | ||
| ZYTIGA (N = 546) | Plasebo (N = 542) |
Radyografik Progresyonsuz Sağkalım (rPFS) |
|
|
Progresyon veya ölüm | 150 (% 28) | 251 (% 46) |
Medyan rPFS (ay) (% 95 GA) | Ulaşılmadı (11,66; NE) | 8,3 (8,12; 8,54) |
p-değeri* | < 0,0001 | |
Tehlike oranı** (% 95 GA) | 0,425 (0,347; 0,522) | |
NE = Hesaplanmadı
* p-değeri, başlangıçtaki ECOG skoruna (0 veya 1) göre tabakalandırılmış bir log-rank testinden hesaplanmıştır.
** Tehlike oranı < 1 ZYTIGA lehine

Randomizasyondan sonraki zaman, ay
Plasebo
Plasebo
Progresyon veya ölüm olmaksızın gönüllülerin
%' si
Şekil 3: Kaplan Meier grafiğinde ZYTIGA veya plasebo ile birlikte prednizolon ve LHRH analogları ya da öncesinde orşiektomi olan hastalardaki radyografik progresyonsuz sağkalım
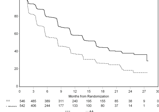
Ancak, Genel Sağkalıma (OS) ilişkin ikinci ara analiz tarihine kadar hasta verisi toplanmaya devam edilmiştir. Araştırmacının rPFS üzerinde bir takip duyarlılık analizi olarak yaptığı radyografik inceleme Tablo 4 ve Şekil 4'te sunulmuştur.
271'i (% 50) abirateron asetat grubundan, 336'sı (% 62) plasebo grubundan olmak üzere toplam 607 hasta radyografik progresyon göstermiş veya ölmüştür. Abirateron asetat ile tedavi, plaseboya kıyasla radyografik progresyon riskini % 47'ye kadar azaltmıştır (TO = 0,530; % 95 GA: [0,451; 0,623], p < 0,0001). Medyan rPFS, abirateron asetat grubunda 16,5 ay, plasebo grubunda ise 8,3 ay olmuştur.
Tablo 4: Çalışma 302: ZYTIGA veya plasebo ile birlikte prednizolon ve LHRH analogları ya da öncesinde orşiektomi olmuş hastalardaki radyografik progresyonsuz sağkalım (İkinci ara analizdeki OS - Araştırıcı İncelemesi) | ||
| ZYTIGA (N = 546) | Plasebo (N = 542) |
Radyografik Progresyonsuz Sağkalım (rPFS) |
|
|
Progresyon veya ölüm | 271 (% 50) | 336 (% 62) |
Medyan rPFS (ay) (% 95 GA) | 16,5 (13,80; 16,79) | 8,3 (8,05; 9,43) |
p-değeri* | < 0,0001 | |
Tehlike oranı** (% 95 GA) | 0,530 (0,451; 0,623) | |
![]()
* p-değeri, başlangıçtaki ECOG skoruna (0 veya 1) göre tabakalandırılmış bir log-rank testinden hesaplanmıştır.
**Tehlike oranı < 1 ZYTIGA lehine

Randomizasyondan sonraki zaman, ay
Plasebo
Plasebo
Progresyon veya ölüm olmaksızın gönüllülerin
%' si
Şekil 4: Kaplan Meier grafiğinde ZYTIGA veya plasebo ile birlikte prednizolon ve LHRH analogları ya da öncesinde orşiektomi olmuş hastalardaki radyografik progresyonsuz sağkalım (İkinci ara analizdeki OS - Araştırıcı İncelemesi)
333 ölüm gözlendikten sonra, OS için planlı bir ara analiz (IA) yapıldı. Gözlenen klinik faydanın büyüklüğü dikkate alınarak çalışmanın körlüğü kaldırıldı ve plasebo grubundaki hastalara ZYTIGA ile tedavi olmaları teklif edildi. ZYTIGA ölüm riskini % 25 azaltarak plaseboya kıyasla daha uzun bir genel sağkalım sağladı (TO = 0,752; % 95 GA: [0,606; 0,934], p = 0,0097), ancak OS yeterli düzeye erişmemişti ve ara analiz sonuçları istatistiksel anlamlılık için önceden belirlenmiş sonlandırma sınırını karşılamıyordu (bkz. Tablo 3). Bu ara analiz sonrasında, sağkalım takibine devam edildi.
OS için planlanan nihai analiz 741 ölüm gözlendikten sonra yapıldı (medyan takip süresi 49 ay). ZYTIGA ile tedavi edilen hastaların % 65'inin (354/546), plasebo ile tedavi edilen hastaların ise
% 71'inin (387/542) öldüğü saptandı. Ölüm riskinde % 19,4'lük bir azalma ile, OS bakımından ZYTIGA ile tedavi edilen grup lehine istatistiksel olarak anlamlı bir fayda (TO = 0,806; % 95 GA: [0,697; 0,931], p = 0,0033) ve 4,4 aylık medyan OS artışı sağlanmıştır (ZYTIGA 34,7 ay, plasebo 30,3 ay) (bkz. Tablo 5 ve Şekil 5). Bu iyileşme, plasebo kolundaki hastaların % 44'ü müteakip tedavi olarak ZYTIGA almış olmalarına rağmen gösterilmiştir.
Tablo 5: Çalışma 302: ZYTIGA veya plasebo ile birlikte prednizolon ve LHRH analogları ya da öncesinde orşiektomi olmuş hastalardaki genel sağkalım | ||
| ZYTIGA (N = 546) | Plasebo (N = 542) |
Ara sağkalım analizi |
|
|
Ölüm vakaları (%) | 147 (% 27) | 186 (% 34) |
Ortalama sağkalım (ay) (% 95 GA) | Ulaşılmadı (NE; NE) | 27.2 (25,95; NE) |
p-değeri* | 0,0097 | |
Tehlike oranı** (% 95 GA) | 0,752 (0,606; 0,934) | |
Nihai sağkalım analizi |
| |
Ölüm Vakaları | 354 (% 65) | 387 (% 71) |
Medyan genel sağkalım (ay, % 95 GA)] | 34,7 (32,7; 36,8) | 30,3 (28,7; 33,3) |
p-değeri* | 0,0033 | |
Tehlike oranı** (% 95 GA) | 0,806 (0,697; 0,931) | |
NE = Hesaplanmadı
* p-değeri, başlangıçtaki ECOG skoruna (0 veya 1) göre tabakalandırılmış bir log-rank testinden hesaplanmıştır.
** Tehlikeoranı < 1 ZYTIGA lehine

Randomizasyondan sonraki zaman, ay
Plasebo
Plasebo
Ölüm olmaksızın gönüllü %' si
Şekil 5: Kaplan Meier grafiğinde ZYTIGA veya plasebo ile birlikte prednizolon ve LHRH analogları ya da öncesinde orşiektomi olmuş hastalardaki genel sağkalım - nihai analiz
Genel sağkalım ve rPFS'de gözlenen artışlara ilave olarak, tüm sekonder sonlanım noktaları için plasebo karşısında ZYTIGA lehine aşağıdaki faydalar gösterilmiştir:
PCWG2 kriterlerine göre PSA progresyonuna kadar geçen süre: PSA progresyonuna kadar geçen medyan süre ZYTIGA alan hastalar için 11,1 ay, plasebo alan hastalar için ise 5,6 ay olmuştur (TO = 0,488; % 95 GA: [0,420; 0,568], p < 0,0001). PSA progresyonuna kadar geçen süre ZYTIGA tedavisi ile yaklaşık iki katına çıkmıştır (TO = 0,488). PSA yanıtı belgelenmiş olan hastaların oranı ZYTIGA grubunda, plasebo grubuna oranla daha fazla olmuştur (% 24 karşısında % 62, p=0,0001). Yumuşak doku hastalığı ölçülebilir olan hastalarda, ZYTIGA ile anlamlı düzeyde artmış tam ve kısmı yanıt oranları görülmüştür.
Kanser ağrısı için opiat kullanımına kadar geçen süre: Nihai analiz sırasında, prostat kanseri ağrısı için opiat kullanımına kadar geçen medyan süre ZYTIGA alan hastalar için 33,4 ay, plasebo alan hastalar için 23,4 ay olmuştur; (TO = 0,721; % 95 GA: [0,614; 0,846], p < 0,0001).
Sitotoksik kemoterapi başlangıcına kadar geçen süre: Sitotoksik kemoterapi başlangıcına kadar geçen medyan süre ZYTIGA alan hastalar için 25,2 ay, plasebo alan hastalar için 16,8 ay olmuştur (TO = 0,580; % 95 GA: [0,487; 0,691], p < 0,0001).
ECOG performans skorunda ≥ 1 puan gerilemeye kadar geçen süre: ECOG performans skorunda
≥ 1 puan gerilemeye kadar geçen medyan süre ZYTIGA alan hastalar için 12,3 ay, plasebo alan hastalar için 10,9 ay olmuştur (TO = 0,821; % 95 GA: [0,714; 0,943], p = 0,0053).
Aşağıdaki çalışma sonlanım noktaları ZYTIGA tedavisi lehine istatistiksel olarak anlamlı bir üstünlük göstermiştir:
Objektif yanıt: Objektif yanıt, RECIST kriterlerine göre ölçülebilir hastalığı olup tam veya kısmi yanıt elde eden hastaların oranı olarak tanımlanmıştır (hedef lezyon olarak değerlendirilebilmesi için başlangıçtaki lenf nodu büyüklüğü ≥ 2 cm olması gereklidir). Başlangıçta ölçülebilir hastalığı olup objektif yanıt elde eden hastaların oranı ZYTIGA grubunda % 36, plasebo grubunda ise % 16 olmuştur (p < 0,0001).
Ağrı: ZYTIGA tedavisi, plasebo ile karşılaştırıldığında, ortalama ağrı şiddeti progresyonunu anlamlı şekilde % 18'e kadar azaltmıştır (p = 0,0490). Progresyona kadar geçen medyan süre ZYTIGA grubunda 26,7 ay, plasebo grubunda ise 18,4 ay olmuştur.
FACT-P (Toplam Skor) anketinde kötüleşmeye kadar geçen süre: ZYTIGA tedavisi, plasebo ile karşılaştırıldığında, FACT-P (Toplam Skor) anketindeki kötüleşme riskini anlamlı şekilde % 22'ye kadar azaltmıştır (p = 0,0028). FACT-P (Toplam Skor) anketinde kötüleşmeye kadar geçen süre ZYTIGA grubunda 12,7 ay, plasebo grubunda ise 8,3 ay olmuştur.
Çalışma 301 (daha önce kemoterapi almış olan hastalar)
Çalışma 301'e daha önceden dosetaksel kullanmış olan hastalar dahil edilmiştir. Bu kemoterapiden kaynaklanan toksisite tedavinin kesilmesine neden olmuş olabileceği için, hastaların dosetaksel tedavisi sırasında hastalık ilerlemesi göstermiş olması gerekmemiştir. Hastalar, protokole tanımlanan radyografik ilerleme ve semptomatik ya da klinik ilerleme ile birlikte PSA ilerlemesi oluncaya kadar (hastanın başlangıç/en düşük düzeyine göre doğrulanmış
% 25 artış) çalışma tedavilerine devam etmiştir. Daha önceden prostat kanseri için ketokonazol tedavisi gören hastalar bu çalışmaya alınmamıştır. Birincil etkililik sonlanım noktası genel sağkalım olmuştur.
Çalışmaya alınan hastaların medyan yaşı 69 idi (yaş aralığı 39 - 95 yaş). ZYTIGA ile tedavi edilen hastaların ırklarına göre dağılımı şöyleydi: 737'si (% 93,2) beyaz ırktan, 28'i (% 3,5) siyah ırktan, 11'i (% 1,4) sarı ırktan ve geri kalan 14'ü (% 1,8) ise diğer ırklardandı. Çalışmaya alınan hastaların % 11'inin ECOG performans skoru 2 idi; % 70'i için PSA ilerlemesi olsun ya da olmasın, hastalık ilerlemesine dair radyografik kanıtlar mevcuttu; % 70'i daha önce bir sitotoksik kemoterapi, % 30'u ise iki sitotoksik kemoterapi almıştı. ZYTIGA ile tedavi edilen hastaların % 11'inde karaciğer metastazı vardı.
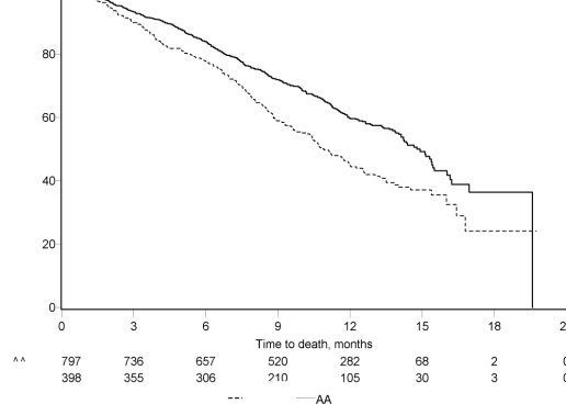
552 ölüm gözlendikten sonra yapılan planlı bir analizde, ZYTIGA ile tedavi edilen hastaların % 42'sinin (797 hastanın 333'ü), plasebo ile tedavi edilen hastaların ise % 55'inin (398 hastanın 219'u) öldüğü saptandı. ZYTIGA ile tedavi edilen hastaların medyan genel sağkalımda istatistiksel olarak anlamlı bir artış görüldü (bkz. Tablo 6).
Tablo 6: ZYTIGA veya plasebo ile birlikte prednizolon ve LHRH analogları ya da öncesinde orşiektomi olmuş hastalardaki genel sağkalım |
| ||
| ZYTIGA | Plasebo | |
| (N=797) | (N=398) | |
Birincil Sağkalım Analizi |
|
| |
Ölümler (%) | 333 (% 42) | 219 (% 55) | |
Medyan genel sağkalım (ay) (% 95 GA) | 14,8 (14,1; 15,4) | 10,9 (10,2; 12) | |
p-değeri | < 0,0001 | ||
Tehlike oranı (% 95 GA) | 0,646 (0,543; 0,768) | ||
Güncel Sağkalım Analizi |
|
| |
Ölümler (%) | 501 (% 63) | 274 (% 69) | |
Medyan genel sağkalım (ay) (% 95 GA) | 15,8 (14,8; 17) | 11,2 (10,4; 13,1) | |
Tehlike oranı (% 95 GA) | 0,740 (0,638; 0,859) | ||
< 1 ZYTIGA lehine
Tedavinin başlangıçtaki ilk birkaç ayından sonra her değerlendirme noktasında, plasebo ile tedavi edilip hayatta kalan hastaların oranıyla karşılaştırıldığında, ZYTIGA ile tedavi edilen hastaların daha yüksek sağkalım oranına sahip olduğu belirlenmiştir (bkz. Şekil 6).
Şekil 6: Kaplan Meier grafiğinde ZYTIGA veya plasebo ile birlikte prednizolon ve LHRH analogları ya da öncesinde orşiektomi olmuş hastalardaki genel sağkalım

Altgrup sağkalım analizleri ZYTIGA tedavisi için tutarlı bir sağkalım faydası gösterdi (bkz. Şekil 7).

Değişken
Alt Grup
Tüm gönüllüler
Başlangıç ECOG
Başlangıç BPI
Daha önceki kemo rejimlerinin sayısı
Progresyon türü
Başlangıçta iç organlarla ilgili hastalık
AA Lehine
Plasebo Lehine
Sadece PSA
Radyografi
TO % 95 GA N
Şekil 7: Alt gruplara göre genel sağkalım: Tehlike oranı ve % 95'lik güven aralığı
AA= ZYTIGA; BPI= Kısa ağrı envanteri; GA= Güven aralığı; ECOG= doğu kooperatif onkoloji grubu (eastern cooperative oncology grup) performans skoru; TO= Tehlike oranı; NE= Hesaplanmadı
Genel sağkalımda gözlenen artışa ek olarak, tüm ikincil sonlanım noktaları ZYTIGA lehine idi ve aşağıda gösterildiği şekilde bu farklılıklar birden fazla test için ayarlandığında istatistiksel olarak anlamlı idi:
ZYTIGA alan hastalarda, plasebo alanlara göre istatistiksel olarak anlamlı düzeylerde daha yüksek PSA yanıt oranı (başlangıç değerinden ≥% 50 olarak tanımlanmış) elde edildi, ZYTIGA ile % 38 iken, plaseboyla % 10, p < 0,0001.
ZYTIGA ile tedavi edilen hastalarda, PSA ilerlemesine kadar olan medyan süre 10,2 ay iken, bu süre plasebo ile tedavi edilen hastalarda 6,6 ay idi (TO=0,580; % 95 GA: [0,462; 0,728], p < 0,0001).
ZYTIGA ile tedavi edilen hastalarda medyan radyografik progresyonsuz sağkalım 5,6 ay iken, bu süre plasebo ile tedavi edilen hastalarda 3,6 ay idi (TO=0,673; % 95 GA: [0,585; 0,776], p < 0,0001).
Ağrı
Ağrısında hafifleme olan hastaların oranı ZYTIGA grubunda, plasebo grubuna oranla istatistiksel olarak anlamlı derecede daha fazlaydı (% 44'e karşı % 27, p=0,0002). Bir hastada dört hafta arayla yapılan iki ardışık değerlendirmede, 24 saatlik bir sürede analjezik kullanım skorunda herhangi bir artış olmaksızın BPI-SF en kötü ağrı yoğunluğu skorunda başlangıca göre en az % 30 azalma sağlanması, ağrının hafiflemesi yanıtı olarak tanımlandı. Ağrı palyasyonu için yalnızca başlangıç ağrı puanı ≥ 4 olan hastalar değerlendirildi ve en az bir başlangıç-sonrası ağrı skoru analiz edildi (N= 512).
ZYTIGA ile tedavi edilen hastalarda, plasebo ile tedavi edilenlere oranla daha düşük oranda ağrı artışı görüldü: 6. ayda ZYTIGA tedavisi alanların % 22'sine karşılık plasebo alanların % 28'i,
12. ayda ZYTIGA tedavisi alanların % 30'una karşılık plasebo alanların % 38'i ve 18. ayda ZYTIGA tedavisi alanların % 35'ine karşılık plasebo alanların % 46'sında ağrıda artış vardı. Ağrı artışı boyunca, iki ardışık değerlendirmede son 24 saatlik bir sürede analjezik kullanım skorunda herhangi bir azalma olmaksızın BPI-SF en kötü ağrı yoğunluğu skorunda başlangıca göre en az % 30 veya daha fazla bir artış ya da iki ardışık değerlendirmede analjezik kullanım skorunda % 30 veya daha fazla bir artış olarak tanımlandı. 25. persentilde ağrı ilerlemesine kadar geçen süre ZYTIGA grubunda 7,4 ay iken, plasebo grubunda 4,7 ay idi.
İskelet sistemiyle ilişkili olaylar
5.2. Farmakokinetik özellikler
Genel özelliklerAbirateron asetat uygulamasından sonra, abirateron farmakokinetiği sağlıklı gönüllülerde, ilerlemiş metastatik prostat kanserli hastalarda ve kanser hastası olmayan karaciğer veya böbrek yetmezliği olan gönüllülerde çalışılmıştır. Abirateron asetat in vivo olarak hızla bir androjen biyosentez inhibitörü olan abiraterona dönüşür (bkz. Bölüm 5.1).
Emilim:
Abirateron asetat açlık durumunda oral yoldan uygulandıktan sonra, en yüksek abirateron konsantrasyonlarına yaklaşık 2 saatte ulaşılır.
Abirateron asetatın yemekle birlikte alınması, yemeğin yağ içeriğine bağlı olarak, aç karına alınmasına oranla 10 kata kadar (EAA açısından) ve 17 kata kadar (Caçısından) daha fazla ortalama sistemik abirateron maruziyetine yol açar. Yemeklerin içerik ve bileşimindeki normal farklılıklar göz önüne alındığında, ZYTIGA'nın yemeklerle birlikte alınması oldukça değişken maruziyetler ile sonuçlanma potansiyeline sahiptir. Bu nedenle, ZYTIGA yemeklerle birlikte alınmamalıdır. ZYTIGA tabletler aç karnına günde bir kez tek doz olarak alınmalıdır. ZYTIGA, yemekten en az iki saat sonra alınmalıdır ve ZYTIGA alındıktan sonra en az bir saat yemek yenmemelidir.Tabletler bütün olarak suyla yutulmalıdır (bkz. Bölüm 4.2).
Dağılım:
İnsan plazmasında C-abirateronun proteine bağlanma oranı % 99,8'dir. Görünür dağılım hacmi yaklaşık 5.630 litre olup, abirateronun periferik dokulara yoğun bir şekilde dağıldığını gösterir.
Biyotransformasyon:
Eliminasyon:
Sağlıklı gönüllülerden elde edilen verilere göre, plazmadaki abirateronun yarılanma süresi yaklaşık 15 saattir. 1.000 mg C-abirateron asetatın oral yoldan alınmasından sonra radyoaktif dozun yaklaşık % 88'i feçeste ve yaklaşık % 5'i idrarda belirlenmiştir. Feçeste bulunan ana bileşikler değişmemiş abirateron asetat ve abiraterondur (sırasıyla uygulanan dozun yaklaşık % 55 ve % 22'si).
Hastalardaki karekteristik özellikler
Karaciğer yetmezliği olan hastalar:
Abirateron asetatın farmakokinetiği, hafif ya da orta şiddette karaciğer yetmezliği olan hastalar (sırasıyla Child-Pugh Sınıf A ve B) ile sağlıklı kontrollerde çalışılmıştır. 1.000 mg'lık tek bir oral doz sonrası abiraterona sistemik maruziyet, hafif ve orta şiddette karaciğer yetmezliği olan hastalarda sırasıyla % 11 ve % 260 oranında artmıştır. Abirateronun ortalama yarılanma ömrü
hafif karaciğer yetmezliği olan hastalarda yaklaşık 18 saate ve orta şiddette karaciğer yetmezliği olan hastalarda ortalama 19 saate uzamaktadır.
Bir başka çalışmada, abirateronun farmakokinetiği daha önceden ciddi karaciğer yetmezliği (Child-Pugh Sınıf C) olan (n= 8) ve normal hepatik fonksiyonu olan 8 sağlıklı birey üzerinde incelenmiştir. Abirateronenin sistemik etkisi (EAA), yaklaşık % 600 oranında artış göstermiş ve serbest ilacın etkisi şiddetli karaciğer bozukluğu olanlarda normal karaciğer fonksiyonu olanlara göre % 80 oranında artmıştır.
Daha önceden hafif karaciğer yetmezliği olan hastalarda doz ayarlamasına gerek yoktur. ZYTIGA kullanımı faydanın olası riskten açıkça ağır bastığı, orta şiddette karaciğer yetmezliği olan hastalarda dikkatle değerlendirilmelidir (bkz. Bölüm 4.2 ve 4.4). ZYTIGA ağır karaciğer yetmezliği olan hastalarda kullanılmamalıdır (bkz. Bölüm 4.2, 4.3 ve 4.4).
ZYTIGA tedavisi sırasında hepatotoksisite gelişen hastalarda, tedavinin durdurulması ve doz ayarlaması gerekebilir (bkz. Bölüm 4.2 ve 4.4).
Böbrek yetmezliği olan hastalar:
Stabil bir hemodiyaliz programında olan son dönem böbrek yetmezliği olan hastalar ile böbrek fonksiyonları normal olan eşlenmiş kontrol hastalarında ZYTIGA farmakokinetiği karşılaştırılmıştır. Diyaliz programında olan son dönem böbrek yetmezliği olan hastalarda
1.000 mg'lık tek bir oral doz sonrası abiraterona sistemik maruziyette artış olmamıştır. Ağır böbrek yetmezliği dahil, böbrek yetmezliği olan hastalarda ZYTIGA uygulanması sırasında dozu azaltmaya gerek yoktur (bkz. Bölüm 4.2). Ancak prostat kanseri ve ağır böbrek yetmezliği olan hastalarla ilgili klinik deneyim bulunmamaktadır. Bu tür hastalarda dikkatli olunması tavsiye edilir.
5.3. Klinik öncesi güvenlilik verileri
Tüm hayvan toksisite çalışmalarında, dolaşımdaki testesteron düzeyleri anlamlı derecelerde azalmıştır. Buna bağlı olarak üreme organlarıyla adrenal, hipofiz ve meme bezlerinin ağırlıklarında azalma ile morfolojik ve/veya histopatolojik değişiklikler gözlenmiştir. Tüm değişiklikler tamamen ya da kısmen geri döndürülebilir nitelikteydi. Üreme organları ve androjene duyarlı organlardaki değişiklikler abirateronun farmakolojisiyle uyumludur. Tedaviyle ilişkili tüm hormonal değişiklikler eski haline dönmüştür veya 4 haftalık bir toparlanma dönemi sonunda düzeldiği gösterilmiştir.
Erkek ve dişi sıçanlarda yapılan fertilite çalışmalarında, abirateron asetat fertiliteyi azaltmış, fakat abirateron asetat kesildikten sonra 4 ila 16 haftada fertilite tamamen eski haline dönmüştür.
Sıçanlarda yapılan bir gelişim toksisitesi çalışmasında, abirateron asetat azalmış fetüs ağırlığında azalma ve sağkalım da dahil olmak üzere gebeliği etkilemiştir. Abirateron asetat teratojenik olmasa da, dış genital organlarda etkiler görülmüştür.
Sıçanlarda yürütülen bu fertilite ve gelişim toksisitesi çalışmalarında, tüm etkiler abirateronun farmakolojik aktivitesine bağlı olmuştur.
Tüm hayvan toksikoloji çalışmalarında görülen üreme organlarındaki değişiklikler dışında, klasik güvenlilik farmakolojisi, tekrarlayan doz toksisitesi, genotoksisite ve karsinojenik potansiyel çalışmalarından elde edilen klinik dışı veriler insanlar için özel bir tehlikeyi
göstermemiştir. Transjenik farelerde (Tg.rasH2) yapılan 6 aylık bir çalışmada abirateron asetat karsinojenik bulunmamıştır. Sıçanlarda yapılan 24 aylık bir karsinojenite çalışmasında, abirateron asetat testislerde interstisyel hücre neoplazmalarının insidansını arttırmıştır. Bu bulgu abirateronun farmakolojik etkisine bağlı ve sıçanlara özgü olarak değerlendirilmiştir. Abirateron asetat dişi sıçanlarda karsinojenik değildir.
Çevresel Risk Değerlendirmesi
Abirateron etkin maddesi, sucul ortam (özellikle balıklar) için çevresel bir risk oluşturur.
6. FARMASÖTİK ÖZELLİKLER
6.1. Yardımcı maddelerin listesi
Mikrokristalin selüloz Kroskarmelloz sodyum
Laktoz monohidrat (sığır kaynaklı) Magnezyum stearat
Povidon (K29/K32) Kolloidal anhidröz silika Sodyum lauril sülfat
ayda, 12'inci ayda ve 18'inci ayda ZYTIGA grubunda iskelet sistemiyle ilişkili olay görülen hasta oranı plasebo ile karşılaştırıldığında daha düşüktü (sırasıyla 6. ayda % 18'e karşı % 28, 12. ayda % 30'a karşı % 40 ve 18. ayda % 35'e karşı % 40). 25. persentilde iskelet sistemiyle ilişkili ilk olayın görülme süresi ZYTIGA grubunda 9,9 ay ile, 4,9 ay olan kontrol grubundan iki kat daha uzundu. Patolojik kırık, spinal kord basısı, kemiğe palyatif radyoterapi veya kemiğe yönelik cerrahi girişim, iskelet sistemiyle ilişkili olay olarak tanımlandı.
6. FARMASÖTİK ÖZELLİKLER
6.1. Yardımcı maddelerin listesi
Mikrokristalin selüloz Kroskarmelloz sodyum
Laktoz monohidrat (sığır kaynaklı) Magnezyum stearat
Povidon (K29/K32) Kolloidal anhidröz silika Sodyum lauril sülfat
6.2. Geçimsizlikler
Bilinen herhangi bir geçimsizliği bulunmamaktadır.
6.3. Raf ömrü
24 ay
6.4. Saklamaya yönelik özel tedbirler
25°C altındaki oda sıcaklığında saklanmalıdır.
Çocukların göremeyeceği, erişemeyeceği yerlerde ve ambalajında saklayınız.
6.5. Ambalajın niteliği ve içeriği
ZYTIGA, polipropilen kapaklı, çocuk emniyetli, beyaz ve yuvarlak yüksek yoğunluklu polietilen şişelerde sunulmaktadır. Her bir şişe 120 tablet içerir.
6.6. Beşeri tıbbi üründen arta kalan maddelerin imhası ve diğer özel önlemler
Etki mekanizmasına dayanarak, bu tıbbi ürün gelişmekte olan fetüse zarar verebilir, bu nedenle gebe olan ya da gebe olma olasılığı bulunan kadınlar ZYTIGA ile korunmasız temas etmemeli; örneğin eldiven kullanmalıdır (bkz. Bölüm 4.6).
Kullanılmamış olan ürünler ya da atık materyaller “Tıbbi Atıkların Kontrolü Yönetmeliği†ve “Ambalaj Atıklarının Kontrolü Yönetmelikâ€lerine uygun olarak imha edilmelidir. Bu tıbbi ürün akuatik ortam için bir risk oluşturabilir (bkz. Bölüm 5.3).
HIV ve Aids
HIV, Human Immunodeficiency Virus’dür (İnsanlarda Bağışıklık Sistemini Bozan
Virüsdür). Bu virüs AIDS hastalığına sebep olur. |
Grip, Soğuk Algınlığı ve Öksürük
Grip ve soğuk algınlığı (nezle) semptomları arasındaki farkı bilmek önemlidir. Soğuk algınlığı gripten daha hafif belirtiler gösteren bir solunum yolu hastalığıdır. |
İLAÇ EŞDEĞERLERİ
| Eşdeğer İlaç Adı | Barkodu | İlaç Fiyatı |
|---|---|---|
| ABIRATEX | 8699541015349 | 32,951.82TL |
| ABITIGA | 8699638095513 | 26,470.36TL |
| ABYGA | 8699525019776 | 25,319.50TL |
| ARVILA | 8699586013331 | 25,319.50TL |
| BYRETU | 8699650012260 | 23,886.32TL |
| Diğer Eşdeğer İlaçlar |
![]() |
Parkinson Hastalığı Hastalık ilk kez 1817 de İngiliz doktor James Parkinson tarafından tanımlanmış ve Dr. Parkinson hastalığı “sallayıcı felç” olarak kaleme almış. |
![]() |
En Yaygın Alerji Türleri Bağışıklık sistemi, polen, arı zehiri veya evcil hayvan gibi yabancı bir maddeye veya çoğu insanda reaksiyona neden olmayan bir yiyeceğe tepki gösterdiğinde alerjiler meydana gelir. |
![]() |
Deri Kanseri Deri kanseri çok rastlanan bir hastalıktır. Üç ana türü bulunur ;genelde kemirici ülser olarak bilinen bazal hücreli karsinom, yassı hücreli karsinom ve kötü huylu tümör. |
İLAÇ GENEL BİLGİLERİ
Johnson & Jonhson Sıhhi Malzeme San. ve Tic.Ltd.Şti.
| Geri Ödeme Kodu | A14606 |
| Satış Fiyatı | 31299.7 TL [ 4 May 2026 ] |
| Önceki Satış Fiyatı | 31299.7 TL [ 27 Apr 2026 ] |
| Original / Jenerik | Original İlaç |
| Reçete Durumu | Normal Reçeteli bir ilaçdır. |
| Barkodu | 8699593015304 |
| Etkin Madde | Abirateron |
| ATC Kodu | L02BX03 |
| Birim Miktar | 250 |
| Birim Cinsi | MG |
| Ambalaj Miktarı | 120 |
| Antineoplastik ve İmmünomodülatör Ajanlar > Hormon Antagonistleri > Abirateron |
| İthal ( ref. ülke : Fransa ) ve Beşeri bir ilaçdır. |





