EMGALITY 120 mg/ml enjeksiyonluk çözelti içeren kullanıma hazır kalem (1 kalem) Farmakolojik Özellikler
{ Galkanezumab }
5. FARMAKOLOJİK ÖZELLİKLER
5.1. Farmakodinamik özellikler
Farmakoterapötik grup: Analjezikler, anti migren preparatları, kalsitonin geni ilişkili peptid (CGRP) antagonistleri
ATC kodu: N02CD02
Etki mekanizması
Galcanezumab, kalsitonin gen ilişkili peptide (CGRP) bağlanarak biyolojik aktivitesini engelleyen bir insan IgG4 monoklonal antikorudur. Kandaki yüksek CGRP konsantrasyonları migren ataklarıyla ilişkilendirilmiştir.
Galcanezumab CGRP'ye yüksek afinite (K= 31 pM) ve yüksek özgüllükle bağlanmaktadır (ilgili peptidler adrenomedullin, amilin, kalsitonin ve intermedine kıyasla >10.000 kat).
Klinik etkililik ve güvenlilik
Galcanezumabın etkililiği ve güvenliliği yetişkin hastaların (N=2886) yer aldığı 3 faz 3, randomize, plasebo kontrollü, çift kör çalışmada incelenmiştir. İki epizodik migren çalışmasına (EVOLVE-1 ve EVOLVE-2), auralı veya aurasız migren tanısı için Baş Ağrısı Bozukluklarına İlişkin Uluslararası Sınıflandırma (ICHD) kriterlerini karşılayan, ayda 4-14 gün migren tipi baş ağrısı olan hastalar alınmıştır. Kronik migren çalışmasına (REGAIN), ICHD kriterlerini
karşılayan, en az 8'i migren özellikleri sergilemek üzere ayda en az 15 gün kronik migreni olan hastalar dahil edilmiştir. Yakın zamanda akut kardiyovasküler olay (miyokardiyal enfarktüs, stabil olmayan anjina, koroner arter by-pass ameliyatı, inme, derin ven trombozu dahil) gelişmiş olan ve/veya ciddi kardiyovasküler risk altında olduğu değerlendirilen hastalar galcanezumab klinik çalışmalarına dahil edilmemiştir. Ayrıca, 65 yaş üzeri hastalar da dahil edilmemiştir.
Hastalara plasebo veya galcanezumab 120 mg/ay (ilk ay için başlangıç yükleme dozu olarak 240 mg verildikten sonra) veya galcanezumab 240 mg/ay verilmiş ve migrenin akut tedavisi için ilaç kullanmalarına izin verilmiştir. Bu 3 çalışma genelinde, ortalama migren öyküsü süresi 20 ila 21 yıl olan ve ortalama yaşı 41 olan kadın hastalar ağırlıklıdır (>%83). Çalışmalar genelinde, hastaların üçte biri önceden en az 1 profilaktik migren tedavisinin etkililiğinde başarısızlık yaşamış ve hastaların yaklaşık %16'sı önceden en az 2 profilaktik migren tedavisinin etkililiğinde başarısızlık yaşamıştır.
Üç çalışmanın tamamında primer etkililik ölçütü, başlangıca göre aylık migren baş ağrısı olan günlerin sayısındaki (MBG) ortalama değişikliktir. Yanıt oranı, çift kör tedavi dönemi boyunca aylık migren baş ağrısı olan günlerin sayısında azalmaya ilişkin önceden tanılı bir eşiği (≥%50,
≥%75 ve %100) karşılayan hastaların ortalama yüzdesidir. Migrenin fonksiyonel etkisi Migren Spesifik Yaşam Kalitesi Anketi (MSQ) versiyon 2.1 Rol Fonksiyonu-Kısıtlayıcı alanıyla ve Migren Yeti Yitimi Değerlendirme Ölçeği (MIDAS) ile değerlendirilmiştir. MSQ, migrenin iş veya günlük aktiviteler, aile ve arkadaşlarla ilişkiler, boş zaman aktiviteleri, verimlilik, konsantrasyon, enerji ve yorgunluk üzerine etkisini ölçer. Skorlama 0 ile 100 arasında değişmekte olup, yüksek puanlar daha az bozukluk anlamına gelmektedir, yani hastalar günlük aktivitelerine ilişkin performansta daha az kısıtlılık yaşamaktadır. MIDAS için, daha yüksek skorlar daha fazla yeti yitimine işaret eder. Başlangıçtaki MIDAS skorları EVOLVE-1 ve EVOLVE-2 çalışmalarındaki hastalarda migrenle ilgili şiddetli yeti yitimi (ortalama 33,1) ve REGAIN popülasyonunda migrenle ilgili çok şiddetli yeti yitimi (ortalama 67,2) olduğunu yansıtmıştır.
Epizodik migren
EVOLVE-1 ve EVOLVE-2 çalışmalarında 6 aylık, çift kör, plasebo kontrollü bir tedavi dönemi değerlendirilmiştir. Galcanezumab alan hastaların çift kör tedavi fazını tamamlama oranları
%82,8 ila %87,7 arasında değişmiştir.
Galcanezumab 120 mg ve 240 mg tedavi grupları başlangıca göre MBG sayısında ortalama değişiklikte plaseboya kıyasla istatistiksel olarak anlamlı ve klinik açıdan önemli iyileşmeler sergilemiştir (bkz. Tablo 2). Galcanezumab tedavisi alan hastalarda yanıt oranları ve akut ilaç tedavisi gerektiren aylık MBG sayısındaki azalma, plasebo tedavisi uygulanan hastalara kıyasla daha yüksek olmuştur. Galcanezumab tedavisi alan hastalarda (MSQ Rol Fonksiyonu-Kısıtlayıcı alan skoruyla ölçülen) fonksiyonlar bakımından plasebo tedavisi alanlara kıyasla 1. aydan itibaren daha fazla iyileşme görülmüştür. Fonksiyonlarda klinik açıdan anlamlı iyileşme (yanıt verenlerin oranı MSQ Rol Fonksiyonu-Kısıtlayıcı alanına dayalıdır), plasebo tedavisi uygulanan hastalara kıyasla, galcanezumab tedavisi alan daha fazla sayıda hastada görülmüştür. 120 mg
dozu, plaseboya göre istatistiksel olarak anlamlı derecede yeti yitimi azalmasıyla ilişkilendirilmiştir.
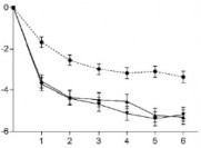
Plasebo tedavisi alan hastalara kıyasla galcanezumab 120 mg veya 240 mg tedavisi alan hastalarda aylık MBG sayısı, 1. ayda ve 6. aya kadar takip eden tüm aylarda, başlangıca göre anlamlı derecede daha fazla azalmıştır (bkz. Şekil 1). Ayrıca, galcanezumab tedavisi alan hastalarda (yükleme dozu 240 mg) 1.ay içerisinde, 1.haftada ve takip eden tüm haftalarda plasebo tedavisi alanlara kıyasla anlamlı derecede daha az sayıda haftalık MBG bildirmiştir.
Şekil 1 EVOLVE-1 ve EVOLVE-2 çalışmalarında aylık migren baş ağrısı olan günlerde zaman içindeki azalma
Migren Baş Ağrısı Olan Günler Başlangıca Göre Ortalama
Değişiklik (SH)
EVOLVE-1 Çalışması (Epizodik Migren)
EVOLVE-2 Çalışması (Epizodik Migren)


Migren Baş Ağrısı Olan Günler Başlangıca Göre Ortalama
Değişiklik (SH)
Ay Ay
GMB 120 mg ve 240 mg için plaseboya kıyasla tüm aylarda p<,001
GMB 120 mg ve 240 mg için plaseboya kıyasla tüm aylarda p<,001
Tablo 2. Etkililik ve hasta tarafından bildirilen sonuç ölçütleri
EVOLVE-1 – Epizodik Migren EVOLVE-2 – Epizodik Migren
| ||||||
EMGALITY EMGALITY
Plasebo Plasebo
120 mg 240 mg 120 mg 240 mg N = 210 N = 208 N = 425 N = 226 N = 220 N = 450 | ||||||
Etkililik Sonuçları
| ||||||
MBG | ||||||
Başlangıç | 9,21 | 9,14 | 9,08 | 9,07 | 9,06 | 9,19 |
Ortalama Değişiklik | -4,73 | -4,57 | -2,81 | -4,29 | -4,18 | -2,28 |
Tedavi Farkı | -1,92 | -1,76 |
| -2,02 | -1,90 |
|
%95 GA | (-2,48, - 1,37) | (-2,31, - 1,20) |
| (-2,55, - 1,48) | (-2,44, - 1,36) |
|
P değeri | < ,001 | < ,001 |
| < ,001 | < ,001 |
|
≥%50 MBG Yanıtı Verenler | ||||||
Yüzde oran, % | 62,3 | 60,9 | 38,6 | 59,3 | 56,5 | 36,0 |
P değeri | < ,001 | < ,001 |
| < ,001 | < ,001 |
|
≥%75 MBG Yanıtı Verenler | ||||||
Yüzde oran, % | 38,8 | 38,5 | 19,3 | 33,5 | 34,3 | 17,8 |
P değeri | < ,001 | < ,001 |
| < ,001 | < ,001 |
|
%100 MBG Yanıtı Verenler | ||||||
Yüzde oran, % | 15,6 | 14,6 | 6,2 | 11,5 | 13,8 | 5,7 |
P değeri | < ,001 | < ,001 |
| < ,001 | < ,001 |
|
Akut İlaç Kullanılan MBG |
|
|
|
|
|
|
Başlangıç | 7,42 | 7,34 | 7,38 | 7,47 | 7,47 | 7,62 |
Ortalama Değişiklik | -3,96 | -3,76 | -2,15 | -3,67 | -3,63 | -1,85 |
Tedavi Farkı | -1,81 | -1,61 |
| -1,82 | -1,78 |
|
%95 GA | (-2,28, - 1,33) | (-2,09, - 1,14) |
| (-2,29, - 1,36) | (-2,25, - 1,31) |
|
P değeri | < ,001 | < ,001 |
| < ,001 | < ,001 |
|
Hasta Tarafından Bildirilen Sonuç Ölçütleri | ||||||
MSQ Rol Fonksiyonu- Kısıtlayıcı Alan |
|
|
|
|
|
|
N | 189 | 184 | 377 | 213 | 210 | 396 |
Başlangıç | 51,39 | 48,76 | 52,92 | 52,47 | 51,71 | 51,35 |
Ortalama Değişiklik | 32,43 | 32,09 | 24,69 | 28,47 | 27,04 | 19,65 |
Tedavi Farkı | 7,74 | 7,40 |
| 8,82 | 7,39 |
|
%95 GA | (5,20, 10,28) | (4,83, 9,97) |
| (6,33, 11,31) | (4,88, 9,90) |
|
P değeri | < ,001 | < ,001 |
| < ,001 | < ,001 |
|
MSQ Rol Fonksiyonu Kısıtlayıcı Alan Yanıtı Verenler |
|
|
|
|
|
|
N | 189 | 184 | 377 | 213 | 210 | 396 |
Yüzde oran, % | 63,5 | 69,6 | 47,2 | 58,2 | 60,0 | 43,4 |
P değeri | < ,001 | < ,001 |
| < ,001 | < ,001 |
|
MIDAS Toplam Skoru |
|
|
|
|
|
|
N | 177 | 170 | 345 | 202 | 194 | 374 |
Başlangıç | 32,93 | 36,09 | 31,84 | 30,87 | 32,75 | 34,25 |
Ortalama Değişiklik | -21,16 | -20,06 | -14,87 | -21,17 | -20,24 | -12,02 |
Tedavi Farkı | -6,29 | -5,19 |
| -9,15 | -8,22 |
|
%95 GA | (-9,45, - 3,13) | (-8,39, - 1,98) |
| (-12,61, - 5,69) | (-11,71, - 4,72) |
|
P değeri | < ,001 | < ,002 |
| < ,001 | < ,001 |
|
N = hasta sayısı; %95GA= %95 güven aralığı. Etkililik sonuçları 1-6. aylarda değerlendirilmiştir. 4-6. aylarda değerlendirilmiştir.
EVOLVE-1 ve EVOLVE-2 çalışmalarının birleştirilmiş verilerine göre, etkililik nedenleriyle bir veya daha fazla profilaktik tedavinin başarısız olduğu hastalarda ortalama aylık MBG azalması için galcanezumab 120 mg ve plasebo arasında gözlenen tedavi farkı -2,69 gün (p<0,001) iken, galcanezumab 240 mg ve plasebo arasında gözlenen fark -2,78 gündür (p<0,001). İki veya daha fazla profilaktik tedavinin başarısız olduğu hastalarda galcanezumab 120 mg ve plasebo
arasındaki tedavi farkı -2,64 gün (p<0,001) iken, galcanezumab 240 mg ve plasebo arasındaki fark -3,04 gündür (p<0,001).
Kronik Migren
REGAIN çalışması, 3 aylık, çift kör, plasebo kontrollü bir tedavi döneminin ardından 9 aylık açık etiketli uzatma döneminden oluşmaktadır. Hastaların yaklaşık %15'i protokolün migren profilaksisi için izin verdiği şekilde topiramat veya propranolol ile eşzamanlı tedaviye devam etmiştir. Galcanezumab alan hastaların çift kör tedavi fazını tamamlama oranları %95,3'dür.
Galcanezumab 120 mg ve 240 mg tedavi grupları başlangıca göre plaseboya kıyasla MBG'de ortalama değişiklikte istatistiksel olarak ve klinik açıdan anlamlı iyileşmeler sergilemiştir (bkz. Tablo 3). Galcanezumab tedavisi alan hastalarda yanıt oranları plasebo tedavisi uygulanan hastalara kıyasla daha yüksek ve akut ilaç tedavisi alınan aylık MBG sayısındaki azalma daha büyük olmuştur. Galcanezumab tedavisi alan hastalarda (MSQ Rol Fonksiyonu-Kısıtlayıcı alan skoruyla ölçülen) fonksiyonlar bakımından plasebo tedavisi alanlara kıyasla 1. aydan itibaren daha fazla iyileşme kaydedilmiştir. Plasebo tedavisi uygulanan hastalara kıyasla galcanezumab tedavisi alan daha fazla sayıda hasta fonksiyonlarda klinik açıdan anlamlı düzeyde iyileşme elde etmiştir (yanıt verenlerin oranı MSQ Rol Fonksiyonu-Kısıtlayıcı alanına dayalıdır). 120 mg'lık doz, plaseboya kıyasla istatistiksel olarak anlamlı derecede yeti yitimi azalmasıyla ilişkilendirilmiştir.
Plasebo tedavisi alan hastalara kıyasla galcanezumab, 120 mg veya 240 mg tedavisi alanlarda 1. aydan 3. aya kadar her ay için aylık MBG sayısında başlangıca göre ortalama azalmalar anlamlı derecede daha fazladır (bkz. Şekil 2). Ayrıca, galcanezumab tedavisi alan hastalar (yükleme dozu 240 mg) plasebo tedavisi alanlara kıyasla 1. aydaki 1. haftada ve sonraki tüm haftalarda anlamlı derecede daha az sayıda haftalık MBG göstermiştir.
Şekil 2 REGAIN çalışmasında aylık migren baş ağrısı olan günlerde zaman içindeki
azalma
REGAIN Çalışması (Kronik Migren)

Migren Baş Ağrısı Olan Günler Başlangıca Göre Ortalama Değişiklik (SH)
Ay
2. ayda GMB 240 mg için plaseboya kıyasla p=,002 hariç, GMB 120 mg ve 240 mg için plaseboya kıyasla tüm aylarda p<,001
Tablo 3. Etkililik ve hasta tarafından bildirilen sonuç ölçütleri
| REGAIN – Kronik Migren | |||
Emgality | Plasebo N=538 | |||
120 mg 240 mg N = 273 N = 274 | ||||
Etkililik Sonuçları
| ||||
MBG |
|
|
|
|
Başlangıç |
| 19,36 | 19,17 | 19,55 |
Ortalama Değişiklik |
| -4,83 | -4,62 | -2,74 |
Tedavi Farkı |
| -2,09 | -1,88 |
|
%95 GA | (-2,92, -1,26) | (-2,71, -1,05) |
| |
P değeri | < ,001 | < ,001 |
| |
≥%50 MBG Yanıtı Verenler | ||||
Yüzde oran, % |
| 27,6 | 27,5 | 15,4 |
P değeri | < ,001 | < ,001 |
| |
≥%75 MBG Yanıtı Verenler | ||||
Yüzde oran, % |
| 7,0 | 8,8 | 4,5 |
P değeri |
| ,031 | < ,001 |
|
%100 MBG Yanıtı Verenler | ||||
Yüzde oran, % |
| 0,7 | 1,3 | 0,5 |
P değeri |
| > ,05 | > ,05 |
|
Akut İlaç Kullanılan MBG | ||||
Başlangıç |
| 15,12 | 14,49 | 15,51 |
Ortalama Değişiklik |
| -4,74 | -4,25 | -2,23 |
Tedavi Farkı |
| -2,51 | -2,01 |
|
%95 GA | (-3,27, -1,76) | (-2,77, -1,26) |
| |
P değeri | < ,001 | < ,001 |
| |
Hasta Tarafından Bildirilen Sonuç Ölçütleri | ||||
MSQ Rol Fonksiyonu-Kısıtlayıcı Alan | ||||
N |
| 252 | 253 | 494 |
Başlangıç |
| 39,29 | 38,93 | 38,37 |
Ortalama Değişiklik |
| 21,81 | 23,05 | 16,76 |
Tedavi Farkı |
| 5,06 | 6,29 |
|
%95 GA | (2,12, 7,99) | (3,03, 9,55) |
| |
P değeri | < ,001 | < ,001 |
| |
MSQ Rol Fonksiyonu Kısıtlayıcı Alan Yanıtı Verenler | ||||
N |
| 252 | 253 | 494 |
Yüzde oran, % |
| 64,3 | 64,8 | 54,1 |
P değeri |
| ,003 | ,002 |
|
MIDAS Toplam Skoru |
|
|
|
|
N |
| 254 | 258 | 504 |
Başlangıç |
| 62,46 | 69,17 | 68,66 |
Ortalama Değişiklik | -20,27 | -17,02 | -11,53 | |
Tedavi Farkı |
| -8,74 | -5,49 |
|
%95 GA | (-16,39, -1,08) | (-13,10, 2,12) |
| |
P değeri |
| ,025 | > ,05 |
|
N = hasta sayısı; %95GA= %95 güven aralığı.
Etkililik nedenleriyle bir veya daha fazla profilaktik tedavinin başarısız olduğu hastalarda ortalama aylık MBG azalması için galcanezumab 120 mg ve plasebo arasında gözlenen tedavi farkı -3,54 gün (p<0,001) olurken, galcanezumab 240 mg ve plasebo arasında gözlenen fark - 1,37 gündür (p<0,05). İki veya daha fazla profilaktik tedavinin başarısız olduğu hastalarda galcanezumab 120 mg ve plasebo arasındaki tedavi farkı 4,48 gün (p<0,001) iken, galcanezumab 240 mg ve plasebo arasındaki fark -1,86 gündür (p<0,01).
Aşırı miktarda akut baş ağrısı ilacı kullanımı görülen hasta oranı başlangıçta %64'dür. Bu hastalarda MBG sayısındaki azalma bakımından galcanezumab 120 mg ve plasebo arasında gözlenen tedavi farkı -2,53 gün (p<0,001) iken, galcanezumab 240 mg ve plasebo arasında gözlenen fark -2,26 gündür (p<0,001).
Uzun süreli etkililik
Etkililik, epizodik veya kronik migrenli hastalara (başlangıçtaki ortalama aylık MBG sayısı 10,6 olmak üzere) galcanezumabın 120 mg/ay (ilk ay için başlangıç yükleme dozu olarak 240 mg verildikten sonra) veya 240 mg/ay verildiği açık etiketli bir çalışmada 1 yıla kadar korunmuştur. Hastaların %77,8'i tedavi dönemini tamamlamıştır. Aylık MBG sayısında başlangıca göre genel ortalama azalmanın tedavi fazı süresince 120 mg doz grubu için ortalama 5,6 gün, 240 mg doz grubu için ortalama 6,5 gündür. Çalışmayı tamamlayan hastaların %72'sinden fazlası 12. ayda MBG bakımından %50 azalma bildirmiştir. EVOLVE-1 ve EVOLVE-2 çalışmalarının birleştirilmiş verilerinde, galcanezumab tedavisi alan hastaların %19'undan fazlasında ≥%50 yanıt, 1. aydan 6. aya kadar korunurken, plasebo uygulanan hastalar için bu oran %8 olmuştur (p<0,001).
Daha önce 2 ila 4 migren önleyici ilaç kategorisinde başarısız olan popülasyonda Faz 3 çalışması
CONQUER çalışması, son 10 yılda 2 ila 4 profilaktik ilaç kategorisinde daha önce başarısızlık yaşamış epizodik ve kronik migren hastalarında, önceki migren etkililik çalışmalarının ana bulgularını desteklemektedir, yani galcanezumab tedavisi aylık MBG sayısında ortalama bir azalmaya yol açmıştır (plasebo grubunda 1,0 güne kıyasla 4,1 gün; p<0,0001). Aylık MBG sayısındaki ortalama azalma, epizodik migren (plasebo için 0,3 güne kıyasla galcanezumab için 2,9 gündür; p<0,0001) ve kronik migren (plasebo için 2,2 güne kıyasla galcanezumab için 5,9 gündür; p<0,0001) alt popülasyonlarında da gözlenmiştir.
5.2. Farmakokinetik özellikler
Genel özellikler:Emilim:
Popülasyon farmakokinetiği (FK) analizine göre, 240 mg'lık bir yükleme dozunu takiben galcanezumabın maksimum serum konsantrasyonu (C) yaklaşık 30 μg/ml (%27 değişim katsayısı [CV]) ve C'a kadar geçen süre doz sonrası 5 gündür.
Aylık 120 mg veya 240 mg dozlarıyla ulaşılan kararlı durum C(C) sırasıyla yaklaşık 28 μg/ml (%35 CV) ve 54 μg/ml (%31 CV) olmuştur. 240 mg'lık yükleme dozundan sonra, 120 mg'lık aylık dozlamalar ile, galcanezumab C'a ulaşılmaktadır.
Enjeksiyon bölgesinin yeri (karın, uyluk, kalça ve kol) galcanezumabın emilimini anlamlı derecede etkilememiştir.
Dağılım:
Popülasyon FK analizine göre, galcanezumabın belirgin dağılım hacmi 7,3 L olmuştur. Biyotransformasyon:
İnsan IgG4 monoklonal antikoru olan galcanezumabın, endojen IgG ile aynı şekilde katabolik yolaklar üzerinden küçük peptidlere ve amino asitlere parçalanması beklenir.
Eliminasyon:
Popülasyon FK analizine göre, galcanezumabın belirgin klerensi yaklaşık 0,008 L/saat, yarılanma ömrü ise 27 gündür.
Doğrusallık/doğrusal olmayan durum:
Galcanezumab maruziyeti dozla orantılı şekilde artar.
Dozların 5-300 mg aralığında değiştiği bir popülasyon FK analizine göre emilim, belirgin klerens ve belirgin dağılım hacminin dozdan bağımsız olduğu saptanmıştır.
Hastalardaki karakteristik özellikler
Yaş, Cinsiyet, Vücut Ağırlığı, Irk, Etnik Köken
Galcanezumabın belirgin klerensi veya belirgin dağılım hacmi üzerinde yaş (18'den 65 yaşa kadar), cinsiyet, vücut ağırlığı, ırk veya etnik köken kaynaklı ve klinik açıdan anlamlı etki görülmediği için, bu faktörlere göre doz ayarlama yapılması gerekli değildir.
Böbrek veya karaciğer yetmezliği
Böbrek veya karaciğer yetmezliğinin galcanezumabın farmakokinetiği üzerindeki etkilerini değerlendirmeye yönelik spesifik klinik farmakoloji çalışması yapılmamıştır. IgG monoklonal antikorunun renal eliminasyonu düşük düzeydedir. Benzer şekilde, IgG monoklonal antikorları temel olarak intraselüler katabolizmayla elimine edilir ve karaciğer yetmezliğinin galcanezumab klerensini etkilemesi beklenmemektedir. Popülasyon FK analizine göre, bilirubin konsantrasyonu veya Cockcroft-Gault kreatinin klerensi (aralık: 24 ila 308 mL/dk) galcanezumabın belirgin klerensini anlamlı derecede etkilememiştir.
5.3. Klinik öncesi güvenlilik verileri
Sıçanlarda ve sinomolgus maymunlarında tekrarlanan doz toksisite çalışmaları ve 240 mg dozunu alan hastalardaki klinik maruziyetin yaklaşık 10 ila 80 katı maruziyet düzeylerinin olduğu sinomolgus maymunlarıyla yapılan güvenlilik farmakoloji değerlendirmeleri, klinik dışı veriler insanlar için spesifik bir risk olduğunu göstermemiştir.
Galcanezumabın karsinojenik veya mutajenik potansiyelinin değerlendirilmesi için klinik dışı çalışma yapılmamıştır. Galcanezumab ile ilgili farmakoloji ve kronik toksikoloji çalışmalarında elde edilen veriler ve CGRP ile ilgili literatür değerlendirmesi doğrultusunda, galcanezumab ile kronik tedavinin karsinogenez riskini arttıracağını düşündürecek herhangi bir kanıt yoktur.
Galcanezumab uygulanan sıçanlarda östrus döngüsü, sperm analizi veya çiftleşme ya da üreme performansı gibi fertilite parametreleri üzerinde etki gözlenmemiştir (insanlarda 240 mg ile kaydedilen maruziyetin yaklaşık 4 ila 20 katı maruziyet düzeylerinde). Erkek fertilitesi çalışmasında, insanlarda 240 mg ile kaydedilen maruziyetin 4 katı maruziyetle sağ testis ağırlığı anlamlı derecede azalmıştır.
Sıçanlarda yapılan embriyo-fetal gelişimsel toksisite çalışmasında, insanlarda 240 mg ile kaydedilen maruziyetin yaklaşık 20 katı maruziyetle gestasyonun 20. gününde kısa kaburgalı fetus ve yavru sayısında artış, osifiye kaudal vertebraların ortalama sayısında azalma olmuştur. Bu bulgular maternal toksisite olmaksızın gözlenmiş ve galcanezumab ile ilgili olmakla birlikte advers olmayan etkiler kapsamında değerlendirilmiştir.
Tavşanlarda yapılan embriyo-fetal gelişimsel toksisite çalışmasında, insanlarda 240 mg ile kaydedilen maruziyetin yaklaşık 33 katı maruziyetle galcanezumab tedavisi uygulanan bir annenin erkek fetusunda gestasyonun 29. gününde kafatası anomalisi olduğu belirlenmiştir.
Sıçanlara postnatal 21 günden 90 güne kadar haftada iki kez galcanezumab uygulanan bir jüvenil toksikoloji çalışmasında, insanlarda 240 mg ile kaydedilen maruziyetin yaklaşık 50 katı maruziyetle ilişkilendirilen sistemik etkiler toplam kemik mineral içeriğinde ve kemik mineral yoğunluğunda geri dönüşümlü, minimal, advers olmayan azalmalarla sınırlı olmuştur.
Dış Gebelik
Dış gebelik, her 100 gebelikten birini etkileyen, sık görülen ve ölüme sebep
olabilecek bir durumdur. Bu, döllenen yumurta, rahimin dışına yerleşirse, oluşan
bir durumdur. Gebelik ilerledikçe, ağrıya ve kanamalara sebep olur. |
Aşırı Alkol Kullanımı, Alkolizm
Alkol bağımlılığı, alkol kullanımı ve alkol sorunları arasındaki farkı açıklamak güçtür.
Örneğin, geçmişte alkol kullanmış olan bir kimsenin mutlaka alkol bağımlısı olması
gerekmez. |
İLAÇ GENEL BİLGİLERİ
Lilly İlaç Ticaret Ltd.Şti.
| Satış Fiyatı | 15809.79 TL [ 4 May 2026 ] |
| Önceki Satış Fiyatı | 15809.79 TL [ 27 Apr 2026 ] |
| Original / Jenerik | Original İlaç |
| Reçete Durumu | Kırmızı Reçeteli bir ilaçdır. |
| Barkodu | 8699673954714 |
| Etkin Madde | Galkanezumab |
| ATC Kodu | N02CD02 |
| Birim Miktar | 120 |
| Birim Cinsi | MG/ML |
| Ambalaj Miktarı | 1 |
| Sinir Sistemi > Migren İlaçları |
| İthal ( ref. ülke : Abd ) ve Beşeri bir ilaçdır. |
İLAÇ EŞDEĞERLERİ
| Eşdeğer İlaç Adı | Barkodu | İlaç Fiyatı |
|---|---|---|
| Eşdeğer bir ilaç bulunamadı |
![]() |
Şizofrenlik Şizofrenliğin psikiatrik teşhisi hakkında çok fazla anlaşmazlık vardır. Bu sayfadaki bilgiler, şizofrenliğin teşhisi, nedenleri ve tedavisi hakkındaki faklı teoriler hakkında bilgi verecektir. |
![]() |
Kolon, Rektum yada Bağırsak Kanseri Bağırsak kanseri kolon veya rektumda (arka geçit) herhangi bir bölgede ortaya çıkabilir.Kolorektal kanser erken safhalarda teşhis edilmesi halinde daha kolay ve daha başarılı bir şekilde tedavi edilir. |
![]() |
Mide Kanseri Mide kanseri genellikle mideyi tümüyle kaplayan ve mukus üretmekle görevli hücrelerde başlar. Bu kanser tipine adenokarsinom denir. |




