ZYKADIA 150 mg 150 kapsül Kısa Ürün Bilgisi
{ Seritinib }
1. BEŞERİ TIBBİ ÜRÜNÜN ADI
ZYKADIA 150 mg kapsül
2. KALİTATİF VE KANTİTATİF BİLEŞİM
Etkin madde
Her bir kapsül 150 mg seritinib içerir.
Yardımcı maddeler
Yardımcı maddeler için bölüm 6.1'e bakınız.
3. FARMASÖTİK FORMU
Kapsül.
Beyaz ile beyaza yakın toz içeren, beyaz opak gövdeye ve mavi opak kapağa sahip, kapak üzerinde “LDK 150MG†ve gövde üzerinde “NVR†basılı kapsül.
4. KLİNİK ÖZELLİKLER
4.1. Terapötik endikasyonlar
ZYKADIA;
Anaplastik lenfoma kinaz (ALK) pozitifliğinin akredite bir laboratuvarda değerlendirilmesi koşulu ile, ileri evre küçük hücreli dışı akciğer kanserli (KHDAK) erişkin hastalarda monoterapi olarak birinci basamak tedavide progresyona kadar kullanımı endikedir.
ALK pozitif olup daha önce krizotinib ile tedavi edilmiş olan ve tedavi sonunda progresyon gelişen ileri evre küçük hücreli dışı akciğer kanserli (KHDAK) erişkin hastaların tedavisinde monoterapi olarak progresyona kadar kullanımı endikedir.
Seritinib, krizotinib dışı diğer ALK inhibitör tedavileri sonrası progresyonda kullanılmaz.
4.2. Pozoloji ve uygulama şekli
ZYKADIA ile tedavi, anti-kanser tıbbi ürünlerinin kullanımı konusunda deneyimli bir hekim
tarafından başlatılmalı ve izlenmelidir.
ALK testi:
ALK-pozitif KHDAK hastalarının seçilmesi için doğruluk özelliğine sahip valide edilmiş bir ALK tayini gereklidir (bkz. Farmakodinamik özellikler).
ZYKADIA tedavisine başlanmadan önce ALK-pozitif KHDAK durumu tespit edilmelidir. ALK-pozitif KHDAK değerlendirmesi, kullanılan spesifik teknoloji konusunda uzmanlığını göstermiş olan laboratuarlar tarafından gerçekleştirilmelidir.
Pozoloji:
ZYKADIA'nın önerilen dozu, her gün aynı saatte yemekle birlikte günde bir kez oral yolla alınan 450 mg'dır.
Yemek ile birlikte önerilen maksimum doz günde bir kez oral yolla alınan 450 mg'dır. Tedavi,
klinik yarar gözlendiği sürece devam etmelidir.
Bir dozun atlanması durumunda, eğer bir sonraki doz 12 saat içinde alınmayacaksa, hasta
atlanan bu dozu alabilir.
Tedavi sırasında kusma meydana gelirse, ilave bir doz alınmamalı, bir sonraki planlanan
ZYKADIA dozuyla devam edilmelidir.
Günde yemekle birlikte alınan 150 mg'ı tolere edemeyen hastalarda ZYKADIA kesilmelidir.
Advers reaksiyonlara bağlı doz ayarlaması
Hastanın güvenliliği ve tolerabilitesine göre ZYKADIA dozlarına geçici olarak ara vermek ve/veya dozunu azaltmak gerekli olabilir. Tablo 1'de yer almayan herhangi bir advers ilaç reaksiyonu nedeniyle doz azaltımı gerekirse, bu durum ZYKADIA dozunun günlük 150 mg'lık azaltımlarıyla yapılmalıdır. Advers ilaç reaksiyonlarının erken dönemde belirlenmesi ve standart destekleyici bakım önlemleri ile tedavi edilmesi göz önünde bulundurulmalıdır.
Yemek ile birlikte ZYKADIA 450 mg ile tedavi edilen hastalarda, hastaların %24,1'inde en az bir doz azaltımı gerektiren bir advers olay ve hastaların %55,6'sında en az bir doz kesintisi gerektiren bir advers olay gözlenmiştir. Herhangi bir sebepten dolayı ilk doz azaltımına kadar geçen medyan süre 9,7 hafta olarak belirlenmiştir.
Tablo 1'de seçili advers ilaç reaksiyonlarının tedavisinde ZYKADIA dozlarına ara verilmesi, dozun azaltılması veya dozun kesilmesi ile ilgili öneriler özetlenmektedir.
Tablo 1 Advers ilaç reaksiyonları için ZYKADIA doz ayarlamaları
Kriterler | ZYKADIA dozu |
Optimal antiemetik veya antidiyareik tedaviye rağmen şiddetli veya dayanılmaz bulantı, kusma veya diyare | İyileşme görülene kadar tedaviye ara verilir, dahasonra 150 mg doz azaltımı ile ZYKADIA tedavisine yeniden başlanır. |
Alanin aminotransferaz (ALT) veya aspartat aminotransferaz (AST) seviyesinde, normalin üst sınırının (ULN) 5 kat üzeri ile eş zamanlı olarak total bilirubinin normal üst sınırının (NÜS) 2 katı veya daha fazla yükselmesi | Başlangıç ALT/AST değerlerine ya da ≤3 kat ULN değerine geri dönüş olana kadar ZYKADIA tedavisine ara verilir, ardından 150 mg düşürülmüş dozla tedaviye yeniden başlanır. |
ALT veya AST seviyesinde ULN'nin >3 katı yükselme ile eş zamanlı olarak >2 kat ULN total bilirubin yükselmesi (kolestaz veya hemoliz yokken) | ZYKADIA bir daha başlanmamak üzere kesilir. |
Herhangi bir derecede tedavi ile ilişkili interstisyel akciğer hastalığı (IAH)/ pnömonit | ZYKADIA bir daha başlanmamak üzere kesilir. |
En az iki ayrı elektrokardiyogramda (EKG) kalp hızına göre düzeltilmiş QT (QTc) >500 milisaniye | Başlangıç değerine ya da QTc ≤480 milisaniye değerine geri dönüş olana kadar ZYKADIA tedavisine ara verilir, elektrolitler gözden geçirilir, |
| gerekirse düzeltilir, ardından 150 mg düşürülmüş dozla tedaviye yeniden başlanır. |
QTc >500 milisaniye ya da başlangıca göre >60 milisaniye değişiklik ve Torsade de pointes veya polimorfik ventriküler taşikardi veya ciddi aritmi işaretleri/belirtileri | ZYKADIA bir daha başlanmamak üzere kesilir. |
Bradikardi (semptomatik, şiddetli ve medikal açıdan önemli olabilir; medikal müdahale gerekliliği) | Asemptomatik bradikardiye (≤1 derece) veya ≥ 60 atım/dakika (bpm) kalp atış hızına düzelme olana kadar ZYKADIA tedavisine ara verilir. Bradikardiye neden olduğu bilinen eşzamanlı ilaçlar ve ayrıca anti-hipertansif ilaçlar değerlendirilir. Eğer katkısı olan eşzamanlı bir ilaç tanımlanırsa ve kesilirse ya da dozunda ayarlama yapılırsa, asemptomatik bradikardiye veya ≥ 60 bpm kalp atış hızına kadar düzelme olduğunda ZYKADIA tedavisine önceki dozdan tekrar başlanır. Eğer katkısı olan eşzamanlı ilaç tanımlanamaz ya da katkısı olan eşzamanlı ilaç kesilmez veya dozunda ayarlama yapılmazsa, asemptomatik bradikardiye veya ≥ 60 atım sayısı/dk kalp atış hızına kadar düzelme olduğunda ZYKADIA tedavisine 150 mg düşürülmüş dozla yeniden başlanır. |
Bradikardi (yaşamı tehdit edici sonuçlar, acil müdahale gerekliliği) | Eğer bu tabloya neden olan eşzamanlı kullanılan ilaç bulunmazsa, ZYKADIA bir daha başlanmamak üzere kesilir. Eğer buna neden olan eşzamanlı kullanılan bir ilaç tanımlanır ve kesilirse ya da dozunda ayarlama yapılırsa, ZYKADIA tedavisine asemptomatik bradikardiye veya ve sık izlem gerçekleştirilerek kalp atış hızının 60 atım sayısı/dk ya da üzerine ulaşması durumunda, 150 mg düşürülerek tekrar başlanır. |
Optimal anti-hiperglisemik tedaviye rağmen 250 mg/dL'nin üzerinde kalıcı hiperglisemi | Hiperglisemi yeterli düzeyde kontrol altına alınana kadar ZYKADIA tedavisine ara verilir, ardından 150 mg düşürülmüş doz ile ZYKADIA tedavisine yeniden başlanır. Eğer optimal tıbbi tedavi ile yeterli glukoz kontrolü elde edilemez ise, ZYKADIA bir daha başlanmamak üzere kesilir. |
Lipaz veya amilaz yükselmesi 3. derece ve üzeri seviyede ise, | Lipaz veya amilaz enzimleri ≤1. derece seviyesine inene kadar ZYKADIA tedavisine ara verilir, ardından 150 mg düşürülmüş doz ile ZYKADIA tedavisine yeniden başlanır. |
Güçlü CYP3A inhibitörleri
Güçlü CYP3A inhibitörlerinin eşzamanlı kullanımından kaçınılmalıdır (bkz. Bölüm 4.5). Eğer güçlü bir CYP3A inhibitörü ile eşzamanlı tedavi kaçınılmaz ise, ZYKADIA dozu yaklaşık üçte bir oranında (klinik olarak doğrulanmamıştır), 150 mg'lık dozaj katlarının en yakınına yuvarlanarak azaltılmalıdır. Hastalar güvenlilik açısından dikkatle izlenmelidir.
Eğer uzun dönem güçlü bir CYP3A inhibitörü ile eşzamanlı tedavi gerekli ise ve hasta azaltılan dozu iyi tolere ederse, olası bir tedavi yetersizliğinin önüne geçmek için doz, güvenlilik açısından dikkatli izlem ile birlikte tekrar yükseltilebilir.
Güçlü CYP3A inhibitörü kesildikten sonra, CYP3A inhibitörüne başlanmadan önce alınan dozdan devam edilir.
CYP3A substratları
Seritinib diğer tıbbi ürünlerle eşzamanlı olarak uygulandığında, CYP3A4 inhibitörleri ile eşzamanlı uygulamaya dair öneriler için diğer ürünün Kısa Ürün Bilgileri'ne (SmPC) bakılmalıdır.
Seritinibin büyük oranda CYP3A ile metabolize edilen substratlarla ya da dar terapötik indekse sahip olduğu bilinen CYP3A substratları (örn., alfuzosin, amiodaron, sisaprid, siklosporin, dihidroergotamin, ergotamin, fentanil, pimozid, ketiapin, kinidin, lovastatin, simvastatin, sildenafil, midazolam, triazolam, takrolimus, alfentanil ve sirolimus) ile birlikte uygulanmasından kaçınılmalıdır ve mümkün olduğu durumlarda, CYP3A4 inhibisyonuna daha az duyarlı alternatif tıbbi ürünler kullanılmalıdır. Kaçınılmaz olması durumunda, dar terapötik indekslere sahip CYP3A substratları olan eşzamanlı uygulanan tıbbi ürünlerde doz azaltımı düşünülmelidir.
Uygulama şekli:
ZYKADIA oral kullanıma yöneliktir. Kapsüller her gün aynı saatte yemekle birlikte günde bir kez oral olarak uygulanmalıdır. ZYKADIA'nın uygun maruziyete ulaşması için gıda ile alınması önemlidir. Yiyecekler hafif yemeklerden tam öğüne kadar değişebilir. (bkz. Bölüm 5.2).
Eşzamanlı olarak tıbbi bir durumu gelişen ve ZYKADIA'yı yemek ile birlikte alamayan hastalar için lütfen Bölüm 4.5'e bakınız.
Kapsüller su ile bütün olarak yutulmalıdır ve çiğnenmemeli veya ezilmemelidir.
Özel popülasyonlara ilişkin ek bilgiler:
Böbrek yetmezliği:
Böbrek bozukluğu olan hastalarda spesifik bir farmakokinetik çalışma gerçekleştirilmemiştir. Diğer yandan, eldeki verilere dayanılarak, seritinibin böbrek yoluyla eliminasyonu göz ardı edilebilir düzeydedir. Bu nedenle, hafif ile orta dereceli böbrek bozukluğu olan hastalarda
herhangi bir doz ayarlaması gerekmemektedir. Şiddetli böbrek bozukluğu olan hastalarda seritinib ile deneyim bulunmadığından bu hasta grubunda dikkatli olunmalıdır (bkz. Bölüm 5.2).
Karaciğer yetmezliği:
Eldeki verilere dayanılarak, seritinib başlıca karaciğer yoluyla elimine edilmektedir. Şiddetli karaciğer bozukluğu olan hastaların tedavisinde özellikle dikkatli olunmalıdır ve doz yaklaşık üçte bir oranında, 150 mg dozaj katlarının en yakınına yuvarlanarak azaltılır (bkz. Bölüm 4.4 ve 5.2). Hafif ya da orta karaciğer bozukluğu olan hastalarda herhangi bir doz ayarlaması gerekmemektedir.
Pediyatrik popülasyon:
Seritinibin çocuklar ve 18 yaşa kadarki adölesanlardaki güvenliliği ve etkililiği tespit
edilmemiştir. Veri mevcut değildir.
Geriyatrik popülasyon:
Seritinibin 65 yaş ve üzeri hastalardaki güvenliliği ve etkililiğine dair sınırlı veriler, yaşlı hastalarda bir doz ayarlamasının gerekli olduğunu göstermemektedir (bkz. Bölüm 5.2). 85 yaşın üzerindeki hastalarda veri mevcut değildir.
4.3. Kontrendikasyonlar
Etkin madde
4.4. Özel kullanım uyarıları ve önlemleri
Hepatotoksisite
Klinik çalışmalarda seritinib ile tedavi edilen hastaların %1,1'inde hepatotoksisite ortaya çıkmıştır. Hastaların %25'inde 3 veya 4 derece ALT düzeylerine artışlar gözlenmiştir. Olguların büyük kısmı dozlara ara verilerek ve/veya doz azaltılarak kontrol edilebilmiştir. Az sayıda olayda ZYKADIA'nın kesilmesi gerekmiştir.
Hastalara, tedaviye başlanmadan önce, tedavinin ilk üç ayında 2 haftada bir ve sonrasında ayda bir karaciğer laboratuvar testleri (ALT, AST ve total bilirubin dahil) izlemi yapılmalıdır. Transaminaz düzeyinde yükselmelerin ortaya çıktığı hastalarda klinik gerekliliğe göre daha sık karaciğer transaminaz ve total bilirubin izlemi gerçekleştirilmelidir (bkz. Bölüm 4.2 ve 4.8). Şiddetli karaciğer yetmezliği olan hastaları tedavi ederken özellikle dikkatli olunmalıdır ve doz ayarlanmalıdır (bkz. Bölüm 4.2). Bu hastalarda sınırlı deneyim, aç karnına 750 mg tek doz seritinibe maruz kalan 10 hastanın 2'sinde altta yatan durumun (hepatik ensefalopati) kötüleştiğini göstermiştir (bkz. Bölüm 4.2, 4.8 ve 5.2). Çalışma tedavisinin dışında kalan diğer faktörler, hepatik ensefalopatinin gözlenen olaylarını etkilemiş olabilir, ancak, çalışma tedavisi ile olaylar arasındaki ilişki tam olarak göz ardı edilemez. Hafif veya orta şiddette karaciğer yetmezliği olan hastalarda doz ayarlaması gerekmez (bkz. Bölüm 4.2).
İnterstisyel akciğer hastalığı (IAH)/Pnömonit
Klinik çalışmalarda seritinib ile tedavi edilen hastalarda şiddetli, yaşamı tehdit edici veya ölümle sonuçlanan interstisyel akciğer hastalığı (IAH)/pnömonit gözlenmiştir. Tedaviye ara verildiğinde bu ciddi/hayatı tehdit eden olguların çoğunda düzelme ya da iyileşme olmuştur.
Hastalar, IAH/pnömonite işaret edebilecek pulmoner semptomlar açısından izlenmelidir. IAH/pnömonitin diğer olası sebepleri dışlanmalı ve herhangi bir derecede tedavi ile ilişkili IAH/pnömonit tanısı koyulan hastalarda ZYKADIA kalıcı olarak kesilmelidir (bkz. Bölüm
4.2 ve 4.8).
QT aralığında uzama
Klinik çalışmalarda seritinib ile tedavi edilen hastalarda ventriküler taşiaritmiler (örn., torsade de pointes) veya ani ölüm riskinde artışa yol açabilecek QTc uzaması gözlenmiştir (bkz. Bölüm 4.2 ve 4.8).
Konjenital uzun QT sendromu olan hastalarda ZYKADIA kullanımından kaçınılmalıdır. Önceden mevcut bradikardisi (kalp hızı <60/dakika [bpm]), QT uzaması öyküsü ya da bu duruma yatkınlığı olan hastalarda, QT aralığını uzattığı bilinen anti-aritmik ilaçlar ve diğer tıbbi ürünler kullanmakta olan hastalarda ve önceden mevcut ve önem arz eden kalp hastalığı ve/veya elektrolit anomalileri olan hastalarda tedaviye başlanmadan önce seritinibin faydaları ve potansiyel riskleri değerlendirilmelidir. Bu hastalarda EKG ile periyodik izlem ve elektrolitlerin (örn. potasyum) periyodik izlemi önerilmektedir. Kusma, diyare, dehidratasyon ya da böbrek işlevinde bozulma durumunda klinik durumun gerektirdiği şekilde elektrolitler düzeltilmelidir. QTc >500 milisaniye ya da başlangıca göre >60 milisaniye değişiklik ve Torsade de pointes veya polimorfik ventriküler taşikardi veya ciddi aritmi işaretleri/belirtileri gelişen hastalarda ZYKADIA bir daha başlanmamak üzere kesilmelidir. En az iki ayrı EKG'de QTc >500 milisaniye gelişen hastalarda başlangıç değerine ya da QTc ≤480 milisaniye değerine geri dönüş olana kadar ZYKADIA tedavisine ara verilmeli, ardından 150 mg azaltım ile ZYKADIA tedavisine yeniden başlanmalıdır (bkz. Bölüm 4.2, 4.8 ve 5.2).
Bradikardi
Klinik çalışmalarda seritinib ile tedavi edilen 925 hastanın 21'inde (%2,3) asemptomatik
bradikardi (kalp hızı 60 atım sayısı/dakikadan az) olguları gözlenmiştir.
ZYKADIA'nın bradikardiye neden olduğu bilinen diğer ajanlarla (örn. beta blokörler, dihidropiridin tipi olmayan kalsiyum kanal blokörleri, klonidin ve digoksin) kombine kullanımından mümkün olduğu ölçüde kaçınılmalıdır. Kalp atış hızı ve kan basıncı düzenli olarak izlenmelidir. Yaşamı tehdit edici boyutta olmayan semptomatik bradikardi olgularında, asemptomatik bradikardiye veya ≥60 atım sayısı/dk kalp atış hızına düzelme olana kadar ZYKADIA'ya ara verilmeli, eşzamanlı ilaç kullanımı değerlendirilmeli ve gerekli ise ZYKADIA dozunda ayarlama yapılmalıdır. Yaşamı tehdit edici bradikardide, katkısı olan eşzamanlı ilaç tanımlanamıyorsa ZYKADIA, bir daha başlanmamak üzere kesilmelidir; ancak, eğer bradikardi veya hipotansiyona yol açtığı bilinen eşzamanlı ilaç birlikteliği varsa, asemptomatik bradikardiye veya ≥60 atım sayısı/dk kalp atış hızına düzelme olana kadar ZYKADIA'ya ara verilmelidir. Eğer eşzamanlı ilaçta düzenleme yapılabiliyorsa veya kesilebiliyorsa, asemptomatik bradikardiye veya ≥60 atım sayısı/dk kalp atış hızına düzelme olduğunda, doz 150 mg düşürülerek ve sık izlem gerçekleştirilerek ZYKADIA tedavisine tekrar başlanır (bkz. Bölüm 4.2 ve 4.8).
Gastrointestinal advers reaksiyonlar
Bir doz optimizasyon çalışmasında, yemek ile alınan 450 mg ZYKADIA ile tedavi edilen 108 hastanın %76,9'unda ishal, mide bulantısı veya kusma meydana gelmiştir ve bu vakalar büyük oranda 1. derece (% 52,8) ve 2. derecedir (%22,2). İki hastanın her birinde (%1,9) 3. derece olay (sırasıyla diyare ve kusma) meydana gelmiştir. Dokuz hastada (%8,3) diyare, mide bulantısı veya kusma nedeniyle ilacın kesilmesi gerekmiştir. Bir hastada (%0,9) kusmaya bağlı olarak dozda ayarlama gerekmiştir. Aynı çalışmada, gastrointestinal advers ilaç reaksiyonlarının insidansı ve şiddeti, aç karnına ZYKADIA 750 mg ile tedavi edilen hastalarda (ishal %80, bulantı %60, kusma %65,5; %17,3'ünde derece 3 olay bildirilmiştir), yemekle alınan 450 mg ile tedavi edilenlere kıyasla (ishal %59,3, mide bulantısı %42,6, kusma
%38,0; %1,9'unda derece 3 olay bildirilmiştir) daha yüksektir.
Bu doz optimizasyonu çalışmasının yemek ile birlikte 450 mg ve aç karnına 750 mg kollarındaki hiçbir hastada ishal, mide bulantısı veya kusmaya bağlı olarak ZYKADIA'nın kesilmesi gerekmemiştir (bkz. Bölüm 4.8).
Hastalar izlenmeli ve klinik olarak gerektiği şekilde anti-diyare, anti-emetik ilaçlar veya sıvı replasmanı dahil olmak üzere standart tedaviler kullanılarak tedavi edilmelidir. Gerektiği takdirde doza ara verilmeli ve doz azaltılmalıdır (bkz. Bölüm 4.2 ve 4.8). Tedavi sırasında kusma ortaya çıkarsa hasta ek bir doz almamalı, planlanmış olan sonraki dozdan devam etmelidir.
Hiperglisemi
Klinik çalışmalarda seritinib ile tedavi edilen hastaların %10'undan azında hiperglisemi (tüm dereceler) bildirilmiştir; derece 3 - 4 hiperglisemi hastaların %5,4'ünde bildirmiştir. Diyabet hastalarında ve/veya eşzamanlı steroid kullanımı olan hastalarda hiperglisemi riski daha yüksek olmuştur.
ZYKADIA tedavisine başlanmadan önce ve sonrasında klinik durumun gerektirdiği şekilde periyodik olarak açlık serum glukoz düzeyi izlenmelidir. Gerektiği şekilde anti-hiperglisemik ilaçlara başlanmalı veya optimize edilmelidir (bkz. Bölüm 4.2 ve 4.8).
Lipaz ve/veya amilaz seviyelerinde yükselme
Klinik çalışmalarda seritinib ile tedavi edilen hastalarda lipaz ve/veya amilaz seviyelerinde yükselme gözlenmiştir. ZYKADIA tedavisine başlanmadan önce ve sonrasında klinik durumun gerektirdiği şekilde periyodik olarak lipaz ve amilaz seviyeleri izlenmelidir (bkz. Bölüm 4.2 ve 4.8). Seritinib ile tedavi edilen hastalarda pankreatit oluşumunun rapor edildiği vakalar olmuştur (bkz. Bölüm 4.8).
4.5. Diğer tıbbi ürünler ile etkileşimler ve diğer etkileşim şekilleri
Seritinibin plazma konsantrasyonlarını yükseltebilen ajanlar
Güçlü CYP3A inhibitörleri
Sağlıklı gönüllülerde, tek 450 mg seritinib dozunun, güçlü bir CYP3A/P-gp inhibitörü olan ketokonazol (14 gün süreyle günde iki kez 200 mg) ile bir arada uygulanması sonucunda seritinibin EAAve Cdeğerlerinde tek başına seritinib uygulaması ile karşılaştırıldığında sırasıyla 2,9 kat ve 1,2 kat artış olmuştur. Simülasyonlar kullanılarak, 14 gün süreyle günde iki kez 200 mg ketokonazol ile bir arada uygulama sonrasında seritinibin daha düşük dozlardaki kararlı durum EAA değerinin, tek başına seritinibin kararlı durum EAA değeri ile benzer olduğu öngörülmüştür. ZYKADIA tedavisi sırasında güçlü CYP3A inhibitörlerinin eşzamanlı kullanımından kaçınılmalıdır. Eğer ritonavir, sakinavir, telitromisin, ketokonazol, itrakonazol, vorikonazol, posakonazol ve nefazodonu içeren ancak bunlarla sınırlı olmayan güçlü CYP3A inhibitörleri ile eşzamanlı kullanım kaçınılamaz ise, ZYKADIA dozu yaklaşık üçte bir oranında, 150 mg dozaj katlarının en yakınına yuvarlanarak azaltılmalıdır. Güçlü CYP3A inhibitörü kesildikten sonra, ZYKADIA tedavisine CYP3A inhibitörüne başlanmadan önceki alınan dozda devam edilmelidir.
P-gp inhibitörleri
İn vitro verilere dayalı olarak, seritinib dışa akış taşıyıcısı P-glikoprotein (P-gp) substratıdır. Seritinib P-gp'yi inhibe eden tıbbi ürünlerle birlikte uygulandığı takdirde, seritinib konsantrasyonunda artış olasıdır. P-gp inhibitörlerinin eşzamanlı uygulamasında dikkatli olunmalıdır ve advers ilaç reaksiyonları dikkatle izlenmelidir.
Seritinib plazma konsantrasyonlarını azaltabilecek ajanlar
Güçlü CYP3A ve P-gp indükleyicileri
Sağlıklı gönüllülerde, aç karnına tek 750 mg seritinib dozunun güçlü bir CYP3A/P-gp indükleyicisi olan rifampisin (14 gün süreyle günde 600 mg) ile bir arada uygulanması sonucunda, tek başına seritinib uygulaması ile karşılaştırıldığında, seritinib EAAve Cdeğerlerinde sırasıyla %70 ve %44 düşüş olmuştur. Seritinibin güçlü CYP3A/P-gp indükleyicileri ile bir arada uygulanması seritinib plazma konsantrasyonlarını düşürür. Güçlü CYP3A indükleyicilerinin eşzamanlı kullanımından kaçınılmalıdır; bu durum, bunlarla sınırlı olmamakla birlikte aşağıdakileri içermektedir: karbamazepin, fenobarbital, fenitoin, rifabutin, rifampisin ve St. John's Wort (Hypericum perforatum). P-gp indükleyicileri ile eşzamanlı kullanımda dikkatli olunmalıdır.
Gastrik pH'yı etkileyen ajanlar
Seritinib pH'ya bağımlı çözünürlük gösterir ve pH in vitro arttıkça daha az çözünür hale gelir. Asit azaltıcı ajanlar (örn., proton pompası inhibitörleri, H-reseptörü antagonistleri, antasitler) seritinibin çözünürlüğünü değiştirebilir ve biyoyararlanımını azaltabilir. Sağlıklı, aç gönüllülerde aç karnına 750 mg'lık tekli seritinib dozunun 6 gün boyunca günde 40 mg'da bir proton pompası inhibitörü (esomeprazol) ile birlikte uygulanması, seritinibin EAAdeğerini
%76 ve Cdeğerini %79 azaltmıştır. En kötü senaryoda proton pompası inhibitörünün etkisini gözlemlemek için bir ilaç-ilaç etkileşimi çalışması tasarlanmıştır; ancak klinik kullanımda, proton pompası inhibitörünün seritinib maruziyeti üzerindeki etkisi daha az belirgin görünmektedir. Gastrik asit azaltıcı ajanların kararlı durum altında seritinibin biyoyararlanımı üzerindeki etkisini değerlendirmek üzere özel bir çalışma yürütülmemiştir. Seritinib maruziyeti azalabileceğinden proton pompası inhibitörlerinin eşzamanlı kullanımında dikkat gösterilmesi tavsiye edilir. Hblokörleri veya antiasit ilaçların eşzamanlı kullanımına ilişkin veri yoktur. Bununla birlikte, seritinibin biyoyararlanımında klinik açıdan azalma riski, Hblokörleri ile eşzamanlı kullanımda seritinib dozundan 10 saat önce veya 2 saat sonra uygulanırlarsa ve antiasit ilaçlarla eşzamanlı kullanımda ceritinib dozundan 2 saat önce veya 2 saat sonra uygulanırlarsa muhtemelen daha düşük olacaktır.
Plazma konsantrasyonu seritinib tarafından değiştirilebilecek ajanlar CYP3A ve CYP2C9 substratları
İn vitro verilere dayalı olarak, seritinib, bir CYP3A substratı olan midazolamın ve bir CYP2C9 substratı olan diklofenakın metabolizmasını kompetitif şekilde inhibe eder. CYP3A'nın zamana bağlı inhibisyonu da gözlenmiştir.
Seritinib, in vivo kuvvetli bir CYP3A4 inhibitörü olarak sınıflandırılmıştır ve CYP3A ile metabolize edilen ilaçlarla, onların serumdaki konsantrasyonlarını arttırabilecek şekilde etkileşime girme potansiyeline sahiptir.
Hastalarda yapılan 3 haftalık seritinib uygulamasını takiben (günde 750 mg aç karnına) tek bir midazolam (duyarlı bir CYP3A substratı) dozunun eşzamanlı uygulanması, tek başına midazolam ile karşılaştırıldığında midazolam EAA(%90 GA) değerini 5,4 kat (4,6, 6,3) arttırmıştır. Seritinibin büyük oranda CYP3A ile metabolize edilen substratlarla ya da dar terapötik indekse sahip olduğu bilinen CYP3A substratları (örn., alfuzosin, amiodaron, sisaprid, siklosporin, dihidroergotamin, ergotamin, fentanil, pimozid, ketiapin, kinidin, lovastatin, simvastatin, sildenafil, midazolam, triazolam, takrolimus, alfentanil ve sirolimus) ile birlikte uygulanmasından kaçınılmalıdır ve mümkün olduğu durumlarda, CYP3A4 inhibisyonuna daha az duyarlı alternatif tıbbi ürünler kullanılmalıdır. Kaçınılmaz olması durumunda, dar terapötik indekslere sahip CYP3A substratları olan eşzamanlı tıbbi ürünlerde doz azaltımı
düşünülmelidir.
Seritinib in vivoda zayıf bir CYP2C9 inhibitörü olarak sınıflandırılmıştır. Hastalarda yapılan 3 haftalık seritinib uygulamasını takiben (günde 750 mg aç karnına) tek bir varfarin (bir CYP2C9 substratı) dozunun eşzamanlı uygulanması, tek başına varfarin ile karşılaştırıldığında S-varfarin EAA(%90 GA) değerini %54 (%36, %75) arttırmıştır. Seritinibin büyük oranda CYP2C9 ile metabolize edilen substratlarla ya da dar terapötik indekse sahip olduğu bilinen CYP3A substratları (örn., fenitoin ve varfarin) ile birlikte uygulanmasından kaçınılmalıdır. Kaçınılmaz olması durumunda, dar terapötik indekslere sahip CYP2C9 substratları olan eşzamanlı tıbbi ürünlerde doz azaltımı düşünülmelidir. Varfarin ile eşzamanlı uygulama kaçınılmazsa, uluslararası normalleştirilmiş oran (INR) takibinin sıklaştırılması düşünülebilir.
CYP2A6 ve CYP2E1 substratları
İn vitro verilere dayalı olarak, seritinib ayrıca klinik olarak anlamlı konsantrasyonlarda CYP2A6 ve CYP2E1'i inhibe eder. Dolayısıyla, seritinibin, eşzamanlı uygulanan ve ağırlıklı olarak bu enzimler tarafından metabolize olan eşzamanlı tıbbi ürünlerin plazma konsantrasyonlarını artırma potansiyeli vardır. CYP2A6 ve CYP2E1 substratlarının eşzamanlı uygulamasında dikkatli olunmalıdır ve advers ilaç reaksiyonları dikkatle izlenmelidir.
CYP3A4 haricinde diğer PXR düzenleyici enzimlerin indüksiyonu riski tamamen olasılık dışı bırakılamamaktadır. Oral kontraseptiflerin eşzamanlı uygulamasının etkililiğinde azalma olabilir.
Taşıyıcıların substratları olan ajanlar
İn vitro verilere dayalı olarak, seritinib klinik olarak anlamlı konsantrasyonlarda apikal dışa akış taşıyıcıları MRP2'yi, hepatik alım taşıyıcıları OATP1B1 veya OATP1B3'ü, renal organik anyon alım taşıyıcıları OAT1 ve OAT3 ya da organik katyon alım taşıyıcıları OCT1 veya OCT2'yi inhibe etmez. Dolayısıyla, bu taşıyıcıların substratlarının seritinib aracılı inhibisyonunun sonucu olarak klinik ilaç-ilaç etkileşimlerinin ortaya çıkması olası değildir. İn vitro verilere dayalı olarak, seritinibin klinik olarak anlamlı konsantrasyonlarda intestinal P-gp ve BCRP'yi inhibe edeceği öngörülmektedir. Dolayısıyla, seritinibin, bu proteinler tarafından taşınan, eşzamanlı uygulanan tıbbi ürünlerin plazma konsantrasyonlarını yükseltme olasılığı söz konusu olabilir. BCRP substratlarının (örn., rosuvastatin, topotekan, sulfasalazin) ve P-gp substratlarının (digoksin, dabigatran, kolşisin, pravastatin) eşzamanlı uygulamasında dikkatli olunmalıdır ve advers ilaç reaksiyonları dikkatle izlenmelidir.
Farmakodinamik etkileşimler
Klinik çalışmalarda seritinib ile QT uzaması gözlenmiştir. Bu nedenle, QT aralığında uzama olan ya da sınıf I (örn. kinidin, prokainamid, disopiramid) veya sınıf III (örn. amiodaron, sotalol, dofetilid, ibutilid) anti-aritmikler ya da domperidon, droperidol, klorokin, halofantrin, klaritromisin, haloperidol, metadon, sisaprid ve moksifloksasin gibi QT uzamasına yol açabilecek diğer tıbbi ürünler kullanmakta olan hastalar dahil QT aralığında uzama geliştirme olasılığı bulunan hastalarda seritinib dikkatle kullanılmalıdır. Bu tür tıbbi ürünler kombine edildiğinde QT aralığının izlemi gereklidir (bkz. Bölüm 4.2 ve 4.4).
Yiyecek/içecek etkileşimleri
ZYKADIA yiyecek ile birlikte alınmalıdır. Seritinibin biyoyararlanımı yiyecek varlığında artmaktadır.
Eşzamanlı bir tıbbi durum geliştiren ve ZYKADIA'yı yemekle birlikte alamayan hastalar için, ZYKADIA kesintisiz alterantif bir tedavi rejimi olarak aç karnına alınabilir; bu rejimde dozdan önceki en az iki saat boyunca ve dozdan sonraki bir saat boyunca herhangi bir şey
yenmemelidir. Hastalar ilacın aç ve yiyecekle beraber alındığı rejimler arasında geçiş yapmamalıdır. Doz uygun şekilde ayarlanmalıdır; yani, yemek ile birlikte alınan 450 mg veya 300 mg ile tedavi edilen hastalar için doz, ilacın aç karnına alındığı rejimde sırasıyla 750 mg veya 450 mg'a çıkarılmalıdır (bkz. Bölüm 5.2) ve yemek ile birlikte alınan 150 mg ile tedavi edilen hastalarda tedavi kesilmelidir. Advers ilaç reaksiyonları için takip eden doz ayarlama ve tedavi önerileri için lütfen Tablo 1'e bakınız (bkz. Bölüm 4.2). Aç karnına izin verilen maksimum doz 750 mg'dır (bkz. Bölüm 5.2).
Greyfurt ve greyfurt suyu bağırsak duvarında CYP3A'yı inhibe ettiğinden ve seritinibin
biyoyararlanımını artırabileceğinden, hastalara bunlardan kaçınmaları talimatı verilmelidir.
Özel popülasyonlara ilişkin ek bilgiler:
Özel popülasyonlara ilişkin veri bulunmamaktadır.
Pediyatrik popülasyon:
Pediyatrik popülasyonlara ilişkin veri bulunmamaktadır.
4.6. Gebelik ve laktasyon
Gebelik kategorisi D'dir.
Çocuk doğurma potansiyeli bulunan kadınlar/Doğum kontrolü (Kontrasepsiyon)
Çocuk doğurma potansiyeli bulunan kadınlara, ZYKADIA kullandıkları süre boyunca ve tedavi sona erdikten sonra 3 aya kadar yüksek derecede etkili doğum kontrol yöntemi kullanmaları tavsiye edilmelidir (bkz. Bölüm 4.5).
Gebelik dönemi
Gebe kadınlarda seritinib kullanımına dair veri yoktur ya da kısıtlıdır.
Hayvan çalışmaları, üreme toksisitesi açısından yetersizdir (bkz. Bölüm 5.3)
Seritibin'in gebelik ve/veya fetus/yeni doğan üzerinde zararlı farmakolojik etkileri
bulunmaktadır.
ZYKADIA kadının klinik durumu seritinib ile tedavi gerektirmediği sürece gebelik döneminde
kullanılmamalıdır.
Laktasyon dönemi
Seritinibin/metabolitlerinin süte karışıp karışmadığı bilinmemektedir. Yenidoğan/bebek için risk olasılık dışı bırakılamamaktadır.
Emzirmenin bebek için faydası ve tedavinin anne için faydası dikkate alınarak emzirmeden kaçınılıp kaçınılmayacağı ya da ZYKADIA tedavisinin kesilip kesilmeyeceği/tedavinden kaçınılıp kaçınılmayacağı yönünde karar verilmelidir. (bkz. Bölüm 5.3)
Üreme yeteneği/Fertilite
ZYKADIA'nın erkek ve kadınlarda infertiliteye neden olma potansiyeli bilinmemektedir (bkz. Bölüm 5.3)
4.7. Araç ve makine kullanımı üzerindeki etkiler
ZYKADIA, araç ve makine kullanımı üzerinde minör bir etkiye sahiptir. Hastalar yorgunluk veya görme bozuklukları yaşayabileceğinden, tedavi süresince araç ve makine kullanırken
dikkatli olunmalıdır.
4.8. İstenmeyen etkiler
Güvenlilik profilinin özeti
Aşağıda tanımlanan istenmeyen etkiler, iki randomize, aktif kontrollü, faz 3 çalışması (A2301 ve A2303 çalışmaları) da dahil olmak üzere yedi klinik çalışmadan oluşan bir havuzda, günde bir kez aç karnına alınan 750 mg başlangıç dozu ile tedavi edilen ALK pozitif ileri KHDAK'ı olan 925 hastada ZYKADIA'ya maruziyeti yansıtmaktadır.
ZYKADIA 750 mg aç karnına medyan maruziyet süresi 44,9 hafta olmuştur (aralık: 0,1 ile 200,1 hafta).
Aç karnına 750 mg ZYKADIA ile tedavi edilen hastalarda ≥%10 insidansa sahip advers ilaç reaksiyonları diyare, bulantı, kusma, yorgunluk, karaciğer laboratuar testi anormallikleri, karın ağrısı, iştah azalması, kilo kaybı, kabızlık, kan kreatinin düzeyinde artış, döküntü, anemi ve özofajiyal bozukluk olmuştur.
Aç karnına 750 mg ZYKADIA ile tedavi edilen hastalarda ≥%5 insidansa sahip derece 3-4 advers ilaç reaksiyonları karaciğer laboratuvar testi anormallikleri, yorgunluk, kusma, hiperglisemi, bulantı ve diyare olmuştur.
Daha önce tedavi edilmiş ve tedavi edilmemiş ALK-pozitif ileri KHDAK'li hastalarda gerçekleştirilen A2112 (ASCEND-8) doz optimizasyon çalışmasında, önerilen doz olan yemek ile birlikte 450 mg düzeyinde uygulanan ZYKADIA'nın (N=108) genel güvenlilik profilinin, gastrointestinal advers ilaç reaksiyonlarında bir azalma dışında aç karnına uygulanan ZYKADIA 750 (N=110) ile tutarlı olduğu görülmüştür; diğer yandan benzer kararlı durum maruziyet düzeylerine ulaşılmıştır (bkz. Bölüm 5.1 ve aşağıdaki alt bölüm “Gastrointestinal advers reaksiyonlarâ€).
Tablo haline getirilmiş advers ilaç reaksiyonları listesi
Tablo 2'de, yedi klinik çalışmada aç karnına 750 mg dozda (N=925) tedavi edilen hastalarda ZYKADIA için rapor edilen advers ilaç reaksiyonlarının sıklık kategorileri gösterilmektedir. Seçilen gastrointestinal advers ilaç reaksiyonlarının sıklığı (ishal, bulantı ve kusma), günde bir kez yemek ile alınan 450 mg'lık doz ile tedavi edilen hastaları temel almaktadır (N=108).
Advers ilaç reaksiyonları MedDRA sistem organ sınıfına göre listelenmiştir. Her bir sistem organ sınıfı içerisinde advers ilaç reaksiyonları, en sık reaksiyonlar ilk belirtilecek şekilde sıklığa göre sıralanmıştır. Ayrıca, her bir advers ilaç reaksiyonu için aşağıdaki sistem (CIOMS III) kullanılarak karşılık gelen sıklık kategorisi de verilmiştir: çok yaygın (≥1/10); yaygın (≥1/100 ila <1/10); yaygın olmayan (≥1/1.000 ila <1/100); seyrek (≥1/10.000 ila <1/1.000); çok seyrek (<1/10.000); ve bilinmiyor (eldeki verilerden hareketle tahmin edilemiyor).
Tablo 2 ZYKADIA ile tedavi edilen hastalarda advers ilaç reaksiyonları
Sistem organ sınıfı | ZYKADIA N=925 % | Sıklık kategorisi |
Kan ve lenf sistemi hastalıkları | ||
Anemi | 15,2 | Çok yaygın |
Metabolizma ve beslenme hastalıkları | ||
İştah azalması | 39,5 | Çok yaygın |
Hiperglisemi | 9,4 | Yaygın |
Hipofosfatemi | 5,3 | Yaygın |
Göz hastalıkları | ||
Görme bozukluğu | 7,0 | Yaygın |
Kardiyak hastalıklar | ||
Perikardit | 5,8 | Yaygın |
Bradikardi | 2,3 | Yaygın |
Solunum, göğüs bozuklukları ve mediastinal hastalıklar | ||
Pnömonit | 2,1 | Yaygın |
Gastrointestinal hastalıklar | ||
Diyare | 59,3 | Çok yaygın |
Bulantı | 42,6 | Çok yaygın |
Kusma | 38,0 | Çok yaygın |
Karın ağrısı | 46,1 | Çok yaygın |
Kabızlık | 24,0 | Çok yaygın |
Özofajiyal bozukluk | 14,1 | Çok yaygın |
Pankreatit | 0,5 | Yaygın olmayan |
Hepatobiliyer hastalıklar | ||
Anormal karaciğer fonksiyon testleri | 2,2 | Yaygın |
Hepatotoksisite | 1,1 | Yaygın |
Deri ve deri altı doku hastalıkları | ||
Döküntü | 19,6 | Çok yaygın |
Böbrek ve idrar yolu hastalıkları | ||
Böbrek yetmezliği | 1,8 | Yaygın |
Böbrek bozukluğu | 1,0 | Yaygın |
Genel bozukluklar ve uygulama bölgesine ilişkin hastalıklar | ||
Yorgunluk | 48,4 | Çok yaygın |
Araştırmalar | ||
Karaciğer laboratuvar testi anormallikleri | 60,5 | Çok yaygın |
Kilo kaybı | 27,6 | Çok yaygın |
Kan kreatinin düzeyinde artış | 22,1 | Çok yaygın |
Elektrokardiyogram QT uzaması | 9,7 | Yaygın |
Lipaz düzeyinde artış | 4,8 | Yaygın |
Amilaz düzeyinde artış | 7,0 | Yaygın |
Kümelenmiş terimler içinde bildirilen raporları içerir: rahatsızlık hissi) hepatotoksisite) | ||
Özel popülasyonlar
Yaşlılar (≥65 yaş)
Yedi klinik çalışmada ZYKADIA ile tedavi edilen 925 hastanın 168'i (%18,2) 65 yaş ve üzeridir. 65 yaş ve üzeri hastalardaki güvenlilik profilinin 65 yaş altındaki hastalardaki ile benzer olduğu bulunmuştur (bkz. Bölüm 4.2). 85 yaşın üzerindeki hastalarda veri mevcut değildir.
Hepatotoksisite
Klinik çalışmalarda seritinib ile tedavi edilen hastaların %1'inden azında alkalin fosfataz yükselmesi olmaksızın ALT ya da AST değerinde 3 x ULN (normalin üst sınırı) düzeyinden fazla ve total bilirubin değerinde 2 x ULN düzeyinden fazla eşzamanlı yükselmeler gözlenmiştir. Seritinib alan hastaların %25'inde derece 3 veya 4 ALT düzeylerine artışlar gözlenmiştir. Hastaların %40,6'sında hepatotoksisite olayları dozlara ara verilerek veya doz azaltılarak kontrol edilebilmiştir. Seritinib ile klinik çalışmalarda hastaların %1'inde tedavinin tamamen kesilmesi gerekmiştir (bkz. Bölüm 4.4).
Tedaviye başlanmadan önce, tedavinin ilk üç ayında 2 haftada bir ve sonrasında ayda bir ALT, AST ve total bilirubini içeren karaciğer laboratuar testleri izlemi yapılmalıdır; derece 2,3 ve 4 yükselmeler için testler daha sık gerçekleştirilmelidir. Hastalar, karaciğer laboratuvar test anormallikleri açısından izlenmeli ve bölüm 4.2 ve 4.4'de önerildiği şekilde tedavi edilmelidir.
Gastrointestinal yan etkiler
Bulantı, diyare ve kusma en yaygın sıklıkla bildirilen gastrointestinal olaylar olmuştur. Daha önce tedavi edilmiş ve tedavi edilmemiş ALK-pozitif ileri KHDAK'li hastalarda, yemek ile birlikte önerilen dozda alınan 450 mg seritinibin (N=108) uygulandığı doz optimizasyon çalışması A2112'de (ASCEND-8), diyare, bulantı ve kusma advers olayları genellikle derece 1 (%52,8) ve derece 2 (%22,2) olarak belirlenmiştir. 3. derece diyare ve kusma olaylarının her biri iki farklı hastada (%1,9) bildirilmiştir. Gastrointestinal olaylar öncelikli olarak anti- emetik/anti-diyare ilaçları da dahil olmak üzere eşzamanlı ilaçlar ile tedavi edilmiştir. Dokuz hastada (%8,3) diyare, mide bulantısı veya kusma nedeniyle ilaca ara verilmesi gerekmiştir. Bir hastada (%0,9) dozda ayarlama gerekmiştir. Yemek ile 450 mg ve aç karnına 750 mg kollarında, hiçbir hastada, çalışma ilacının kesilmesine yol açacak ishal, bulantı veya kusma meydana gelmemiştir. Aynı çalışmada, gastrointestinal advers ilaç reaksiyonlarının insidansı ve şiddeti, yemek ile birlikte alınan ZYKADIA 450 mg ile tedavi edilen hastalarda (ishal %59,3, bulantı %42,6, kusma %38,0; % 1,9'u derece 3 olay bildirmiştir), aç karnına 750 mg ile tedavi edilen hastalarla kıyaslandığında azalmıştır (ishal %80,0, bulantı %60,0, kusma %65,5;
%17,3'ü derece 3 olay bildirmiştir). Hastalar bölüm 4.2 ve 4.4'de önerildiği şekilde tedavi edilmelidir.
QT aralığında uzama
Seritinib ile tedavi edilen hastalarda QTc aralığında uzama gözlenmiştir. Yedi klinik çalışmada, seritinib ile tedavi edilen hastaların %9,7'sinde QT uzaması (herhangi bir derece) olayları
gözlenmiş olup bunlara hastaların %2,1'indeki derece 3 veya 4 olaylar dahildir. Bu olaylar hastaların %2,1'inde dozun azaltılmasını veya dozlara ara verilmesini ve hastaların %0,2'sinde tedavinin bırakılmasını gerektirmiştir.
Konjenital uzun QT sendromu olan veya QTc aralığını uzattığı bilinen tıbbi ürünler kullanmakta olan hastalarda seritinib ile tedavi önerilmemektedir (bkz. Bölüm 4.4 ve 4.5). QTc aralığını uzatan bir tıbbi ürünle tedavi sırasında torsade de pointes yaşama riski yüksek olan hastalara seritinib uygulanırken özel dikkat gösterilmelidir.
Hastalar, QT uzaması açısından izlenmeli ve bölüm 4.2 ve 4.4'te önerildiği şekilde tedavi edilmelidir.
Bradikardi
Yedi klinik çalışmada, hastaların %2,3'ünde bradikardi ve/veya sinüs bradikardi (kalp atım hızı
<60 atım sayısı/dk) olayları (tümü derece 1) bildirilmiştir. Bu olaylar hastaların %0,2'sinde dozun azaltılmasına veya dozlara ara verilmesine sebep olmuştur. Bu olayların hiçbiri tedavinin kesilmesine yol açmamıştır. Bradikardi ile ilişkili eşzamanlı tıbbi ürünlerin kullanımı konusu dikkatle değerlendirilmelidir. Semptomatik bradikardi geliştiren hastalar bölüm 4.2 ve 4.4'te önerildiği şekilde tedavi edilmelidir.
İnterstisyel akciğer hastalığı (IAH)/Pnömonit
Seritinib ile tedavi edilen hastalarda şiddetli, yaşamı tehdit edici veya ölümle sonuçlanan IAH/pnömonit gözlenmiştir. Yedi klinik çalışmada herhangi bir derece IAH/pnömonit seritinib ile tedavi edilen hastaların %2,1'inde bildirilmiş, derece 3 veya 4 olaylar ise hastaların
%1,2'sinde rapor edilmiştir. Bu olaylar hastaların %1,1'inde dozun azaltılmasına veya tedaviye ara verilmesine ve hastaların %0,9'unda tedavini bırakılmasına yol açmıştır. IAH/pnömonite işaret eden pulmoner semptomları olan hastalar izlenmelidir. IAH/pnömonitin diğer olası sebepleri ekarte edilmelidir (bkz. Bölüm 4.2 ve 4.4).
Hiperglisemi
Yedi klinik çalışmada seritinib ile tedavi edilen hastaların %9,4'ünde hiperglisemi (tüm dereceler) bildirilmiştir; derece 3 veya 4 olaylar hastaların %5inde bildirilmiştir. Bu olaylar hastaların %1,4'ünde dozun azaltılmasına veya tedaviye ara verilmesine ve hastaların
%0,1'inde tedavinin bırakılmasına yol açmıştır. Diyabeti olan hastalarda ya da eşzamanlı olarak steroid kullanan hastalarda hiperglisemi riski daha yüksek bulunmuştur. Seritinib tedavisine başlanmadan önce ve sonrasında klinik durumun gerektirdiği biçimde açlık serum glukoz izlemi gereklidir. Gerektiği şekilde, anti-hiperglisemik ilaçların uygulanmasına başlanmalı veya uygulama optimize edilmelidir (bkz. Bölüm 4.2 ve 4.4).
Şüpheli advers reaksiyonların raporlanması
Ruhsatlandırma sonrası şüpheli ilaç advers reaksiyonlarının raporlanması büyük önem taşımaktadır. Raporlama yapılması, ilacın yarar / risk dengesinin sürekli olarak izlenmesine olanak sağlar. Sağlık mesleği mensuplarının herhangi bir şüpheli advers reaksiyonu Türkiye Farmakovijilans Merkezi (TÜFAM)'ne bildirmeleri gerekmektedir. (www.titck.gov.tr; e- posta: tufam@titck.gov.tr; tel: 0 800 314 00 08; faks: 0 312 218 35 99)
4.9. Doz aşımı ve tedavisi
İnsanda doz aşımı ile bildirilmiş deneyim yoktur. Tüm doz aşımı durumlarında genel
destekleyici önlemler başlatılmalıdır.
5. FARMAKOLOJİK ÖZELLİKLER
5.1. Farmakodinamik özellikler
Farmakoterapötik grubu: Protein kinaz inhibitörleri, anaplastik lenfoma kinaz (ALK)
inhibitörleri
ATC kodu: L01ED02
Etki mekanizması
Seritinib oral yolla yüksek selektiviteye sahip ve güçlü bir ALK inhibitörüdür. Seritinib, ALK otofosforilasyonunu, aşağı yönde sinyalleme yapan proteinlerin ALK'nin aracılık ettiği fosforilasyonunu ve ALK'ye bağımlı kanser hücrelerinin proliferasyonunu hem in vitro hem de in vivo koşullarda inhibe eder.
ALK translokasyonu, ortaya çıkacak füzyon proteinini ve KHDAK'da buna bağlı anormal ALK sinyallemesini belirler. KHDAK olgularının çoğunda EML4, ALK'nin translokasyon partneridir; bu, ALK'nin EML4'ün N-terminal kısmına kaynaşık protein kinaz kısmını içeren EML4-ALK füzyon proteinini ortaya çıkarır. Bir KHDAK hücre dizisinde (H2228) seritinibin EML4-ALK kinaz aktivitesine karşı etkili olduğunu, bunun da in vitro koşullarda hücre proliferasyonunu inhibe ettiği ve fare ve sıçanda H2228 türevi ksenogreftlerde tümör regresyonu ile sonuçlandığı gösterilmiştir.
Klinik etkililik ve güvenlilik
Önceden tedavi edilmemiş ALK pozitif, ilerlemiş KHDAK – randomize faz 3 Çalışma A2301 (ASCEND-4)
İlerlemiş ALK pozitif KHDAK'lı ve önceden neo adjuvan veya adjuvan tedavi dışında sistemik anti-kanser tedavisi (ALK inhibitörü dahil) görmemiş olan hastaların tedavisinde ZYKADIA'nın etkililiği ve güvenliliği bir global, çok merkezli, randomize, açık etiketli faz 3 çalışma A2301'de gösterilmiştir.
Toplam 376 hasta 1:1 oranında (Dünya Sağlık Örgütü (WHO) performans durumuna, önceden adjuvan/neoadjuvan kemoterapi görme durumuna ve taramada beyin metastazlarının olup olmamasına göre gruplandırılmıştır) seritinib (günlük 750 mg, aç karnına) veya kemoterapi (araştırıcının tercihine göre pemetreksed [500 mg/m] + sisplatin [75 mg/m] veya karboplatin [EAA 5 - 6] 21 günde bir) alacak şekilde randomize edilmiştir. Progresif hastalık meydana gelmeksizin 4 kemoterapi kürünü (indüksiyon) tamamlayan hastalara 21 günde bir tek ajan idame tedavisi olarak pemetreksed (500 mg/m) verilmiştir. 189 hasta seritinibe, 187 hasta ise kemoterapiye randomize edilmiştir.
Medyan yaş 54'tür (22 - 81 yaş aralığında); hastaların %78,5'i 65 yaşından küçüktür. Hastaların toplam %57,4'ü kadındır. Çalışma popülasyonunun%53,7'si beyaz, %42'si asyalı, %1,6'sı siyah, %2,6'sı diğer ırklardandır. Hastaların çoğunda adenokarsinom mevcuttur (%96,5) ve hiç sigara içmemişlerdir ya da sigarayı bırakmışlardır (%92). Doğu İşbirliği Onkoloji Grubu (ECOG) performans durumu hastaların %37'si, %56,4'ü ve %6,4'ünde sırasıyla 0, 1, 2'dir ve hastaların %32,2'sinde başlangıçta beyinde metastaz vardır. Başlangıçta beyin metastazı olan hastaların %59,5'i önceden beyin için radyoterapi görmemiştir. Semptomatik merkezi sinir sistemi (MSS) metastazları olan ve nörolojik olarak stabil olmayan ya da MSS semptomlarının yönetimi için taramadan önceki 2 hafta içinde steroid dozlarının artırılması gereken hastalar çalışmaya dahil edilmemiştir.
Araştırıcının fikrine göre klinik yararın devam ediyor olması halinde, hastaların ilk başlangıç sonrasında da atanan çalışma tedavisine devam etmelerine izin verilmiştir. Kemoterapi koluna randomize edilen hastaların, körlenmiş bağımsız inceleme komitesi (BIRC) tarafından
doğrulanan, RECIST tarafından tanımlanmış hastalık progresyonu yaşamaları halinde seritinibe çapraz geçiş yapmalarına izin verilmiştir. Kemoterapi kolunda tedaviyi bırakan 145 hastadan 105'i (%72,4) daha sonra birinci antineoplastik tedavi olarak ALK inhibitörü almıştır. Bu hastalardan 81'i seritinib almıştır.
Medyan izlem süresi 19,7 aydır (randomizasyondan veri kesme tarihine kadar).
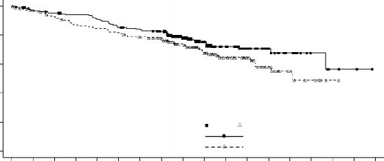
Çalışma, BIRC'ye göre progresyonsuz sağkalımda (PFS) istatistiksel olarak anlamlı iyileşme sağlandığını göstererek birincil hedefine ulaşmıştır (bkz. Tablo 3 ve Şekil 1). Seritinibin PFS yararı, araştırıcı değerlendirmesine göre ve yaş, cinsiyet, ırk, sigara kullanım durumu, ECOG performans durumu ve hastalık yükü dahil olmak üzere çeşitli alt gruplarda tutarlıdır.
Genel sağkalım verileri (OS) nihai OS analizi için gereken olayların yaklaşık %42,3'ünü temsil eden 107 ölüm olgusu ile henüz olgun değildir.
Çalışma A2301'den elde edilen etkililik verileri Tablo 3'te verilmiş ve PFS ve OS için Kaplan- Meier eğrileri ise sırasıyla Şekil 1 ve Şekil 2'de gösterilmiştir.
Tablo 3 ASCEND-4 (Çalışma A2301) – Önceden tedavi edilmemiş, ALK-pozitif, ilerlemiş KHDAK'lı hastalarda etkililik sonuçları
| Seritinib | Kemoterapi |
| (N=189) | (N=187) |
Progresyonsuz sağkalım (BIRC'e göre) |
|
|
Olay sayısı, n (%) | 89 (47,1) | 113 (60,4) |
Medyan, ay (%95 GA) | 16,6 (12,6; 27,2) | 8,1 (5,8; 11,1) |
HR (%95 GA) | 0,55 (0,42; 0,73) | |
p-değeri | <0,001 | |
Genel sağkalım |
|
|
Olay sayısı, n (%) | 48 (25,4) 59 (31,6) | |
Medyan, ay (%95 GA) | NE (29,3; NE) 26,2 (22,8; NE) | |
24 ayda OS oranı (%95 GA) | 70,6 (62,2; 77,5) 58,2 (47,6; 67,5) | |
HR (%95 GA) | 0,73 (0,50; 1,08) | |
p-değeri | 0,056 | |
Tümör yanıtı (BIRC'e göre) Genel yanıt oranı (%95 GA) |
%72,5 (65,5; 78,7) |
%26,7 (20,5; 33,7) |
Yanıt süresi (BIRC'e göre) |
|
|
Yanıt veren hasta sayısı | 137 | 50 |
Medyan, ay (%95 GA) | 23,9 (16,6; NE) | 11,1 (7,8; 16,4) |
18 ayda olaysızlık oranı, % (%95 GA) | 59 (49,3; 67,4) | 30,4 (14,1; 48,6) |
HR=risk oranı; GA=güven aralığı; BIRC=Körlenmiş Bağımsız İnceleme Komitesi;
NE=hesaplanamaz
![]()
Şekil 1 ASCEND-4 (Çalışma A2301) –BIRC değerlendirmesine göre progresyonsuz

100
80
60
40
20
0
0 2
8 10 12 4 6 8 0 2 24 6 8 0 2 34
sağkalım için Kaplan-Meier eğrileri
6
4
2
2
1
1
1
3
3
2
2
Olaysızlık olasılığı (%)
Zaman (Ay)
Halen risk altındaki hasta sayısı
Şekil 2 ASCEND-4 (Çalışma A2301)- Tedavi koluna göre genel sağkalım için Kaplan-Meier grafiği

100
Olaysızlık olasılığı (%)
80
60
4
20
1
0
![]()
0 2 4 6 8
0 12
14 16 18
20 22 24 26 28
30 2 34
3
![]()
![]()
![]()
![]()
![]()
![]()
![]()
![]()
![]()
Zaman (Ay)
Halen risk altında olan hastaların sayısı
Hasta tarafından bildirilen anketler (Akciğer kanseri semptom ölçeği [LCSS], EORTC-QLQ- C30 [C30], EORTC QLQ-LC13 [LC13] ve EQ-5D-5L) çalışma süresinde, zaman noktalarının çoğunda, tüm anketler için seritinib ve kemoterapi kollarında hastaların %80'i veya daha fazlası tarafından doldurulmuştur.
Seritinib, önceden belirtilen akciğer kanserine özgü öksürük, ağrı ve dispne semptomlarında kötüleşmeye kadar olan zamanı anlamlı şekilde uzatmıştır (kompozit sonlanım noktası LCSS:HR=0,61; %95 GA:0,41; 0,90; kötüleşmeye kadar olan medyan süre [TTD] seritinib kolunda NE [%95 GA:20,9; NE] iken, kemoterapi kolunda 18,4 aydır [13,9; NE]; LC13:HR=0,48; %95 GA:0,34; 0,69; medyan TTD seritinib kolunda 23,6 ay iken [%95
GA:20,7; NE] kemoterapi kolunda 12,6 aydır [%95 GA:8,9; 14,9].
Seritinib alan hastalarda kemoterapi alanlara kıyasla genel olarak yaşam kalitesi ve genel sağlık durumu ölçütlerinde anlamlı iyileşmeler gösterilmiştir (LCSS [p<0,001], QLQ-C30, [p<0,001] ve EQ-5D-5L indeksi [p<0,001]).
A2301 çalışmasında, başlangıçta ölçülebilir beyin metastazları olan ve başlangıç sonrası en az bir radyolojik beyin değerlendirmesi yapılmış olan 44 hasta (seritinib kolundan 22 hasta ve kemoterapi kolundan 22 hasta) değiştirilmiş RECIST 1.1'e göre (beyinde 5 adede kadar lezyon) BIRC nöro-radyolog hekim tarafından intrakraniyal yanıt açısından değerlendirilmiştir. İntrakraniyal ORR (OIRR) kemoterapi koluna kıyasla (%27,3; %95 GA 10,7; 50,2) seritinible
daha yüksektir (%72,7; %95 GA:49,8; 89,3).
RECIST 1.1'in kullanıldığı BIRC'e göre medyan PFS, beyin metastazları olan ve olmayan hasta alt gruplarında kemoterapi koluna kıyasla seritinib kolunda daha uzundur. Beyin metastazları olan hastalarda medyan PFS seritinib kolunda 10,7 ay (%95 GA:8,1; 16,4), kemoterapi kolunda ise 6,7 ay (%95 GA:4,1; 10,6) olup; HR=0,7'dir (%95 GA:0,44; 1,12). Beyin metastazları olmayan hastalarda medyan PFS seritinib kolunda 26,3 ay (%95 GA: 15,4; 27,7), kemoterapi kolunda ise 8,3 ay (%95 GA:6; 13,7) olup; HR=0,48'dir (%95 GA:0,33;
0,69).
Önceden tedavi edilmiş ALK pozitif, ilerlemiş KHDAK – randomize faz 3 Çalışma A2303 (ASCEND-5)
Önceden krizotinible tedavi edilmiş olan ALK Pozitif, ilerlemiş KHDAK'lı hastaların tedavisinde ZYKADIA'nın etkililiği ve güvenliliği bir global, çok merkezli, randomize, açık etiketli faz 3 çalışma A2303'te gösterilmiştir.
İlerlemiş ALK pozitif KHDAK'lı ve önceden krizotinib ve kemoterapiyle tedavi görmüş (platin bazlı çift kemoterapi dahil bir veya iki rejim) toplam 231 hasta analize dahil edilmiştir. 115 hasta ZYKADIA tedavisine ve 116 hasta kemoterapiye randomize edilmiştir (pemetreksed veya dosetaksel). 73 hasta dosetaksel ve 40 hasta pemetreksed almıştır. Seritinib kolunda 115 hasta günde bir kez aç karnına 750 mg ile tedavi edilmiştir. Medyan yaş 54'tür (28 - 84 yaş aralığında) ve hastaların %77,1'i 65 yaşından küçüktür. Hastaların toplam %55,8'i kadındır. Çalışma popülasyonunun %64,5'i beyaz, %29,4'ü asyalı, %0,4'ü siyah ve %2,6'sı diğer ırklardandır. Hastaların çoğunda adenokarsinom (%97) vardır ve hiç sigara kullanmamış veya sigarayı bırakmışlardır (%96,1). Doğu İşbirliği Onkoloji Grubu (ECOG) performans durumu hastaların %46,3'ü, %47,6'sı ve %6,1'inde sırasıyla 0, 1, 2'dir ve hastaların %58'sinde başlangıçta beyinde metastaz vardır. Tüm hastalar önceden krizotinible tedavi edilmiştir. Bir hasta dışındaki tüm hastalar ilerlemiş hastalık için kemoterapi almıştır (platin bazlı çiftli kemoterapi dahil); seritinib kolundaki hastaların %11,3'ü ve kemoterapi kolundaki hastaların
%12,1'i ilerlemiş hastalık için önceden iki kemoterapi rejimi almıştır.
Araştırıcının fikrine göre klinik yararın devam ediyor olması halinde, hastaların ilk başlangıç sonrasında da atanan çalışma tedavisine devam etmelerine izin verilmiştir. Kemoterapi koluna
randomize edilen hastaların, BIRC tarafından doğrulanmış, RECIST tanımına göre hastalık progresyonu yaşamaları halinde ZYKADIA'ya çapraz geçiş yapmalarına izin verilmiştir.
Medyan izlem süresi 16,5 aydır (randomizasyondan veri kesme tarihine kadar).
Çalışma, kemoterapi koluna kıyasla seritinib kolunda %51 olarak hesaplanan risk azalması ile, BIRC'e göre PFS'de istatistiksel olarak anlamlı iyileşme olduğunu göstererek birincil hedefine ulaşmıştır (bkz. Tablo 4 ve Şekil 3). ZYKADIA'nın PFS yararı yaş, cinsiyet, ırk, sigara kullanım durumu, ECOG performans durumu ve başlangıçta beyin metastazlarının varlığı ya da önceden krizotinibe yanıt verilmesi dahil olmak üzere çeşitli alt gruplar arasında tutarlıdır. PFS yararı, bölgesel araştırıcı değerlendirmesi ve ORR ve DCR analizi ile de desteklenmektedir.
OS verileri seritinib kolunda 48 (%41,7) ve kemoterapi kolunda 50 olayla (%43,1) olgun değildir; bu olaylar nihai OS analizinde gereken olay sayısının yaklaşık %50'sine karşılık gelmektedir. Buna ek olarak, kemoterapi kolundaki 81 hasta (%69,8) çalışma tedavisinin kesilmesinin ardından ilk antineoplastik tedavi olarak ZYKADIA almıştır.
Çalışma A2303'ten elde edilen etkililik verileri Tablo 4'te verilmiş ve PFS ve OS için Kaplan- Meier eğrileri ise sırasıyla Şekil 3 ve Şekil 4'de gösterilmiştir.
![]()
Tablo 4 ASCEND-5 (Çalışma A2303) – Önceden tedavi edilmiş, ALK-pozitif, metastatik/ilerlemiş KHDAK'lı hastalarda etkililik sonuçları
Seritinib
(N=115)
Kemoterapi (N=116)
İzlem süresi Medyan (ay) (min-maks) | 16,5 (2,8 – 30,9) |
Progresyonsuz sağkalım (BIRC'e göre) | |
Olay sayısı, n (%) | 83 (%72,2) 89 (%76,7) |
Medyan, ay (%95 GA) | 5,4 (4,1; 6,9) 1,6 (1,4; 2,8) |
HR (%95 GA) | 0,49 (0,36; 0,67) |
p-değeri | <0,001 |
Genel sağkalım |
|
Olay sayısı, n (%) | 48 (%41,7) 50 (%43,1) |
Medyan, ay (%95 GA) | 18,1 (13,4; 23,9) 20,1 (11,9; 25,1) |
HR (%95 GA) | 1 (0,67; 1,49) |
p-değeri | 0,496 |
Tümör yanıtları (BIRC'e göre)
Objektif Yanıt Oranı (%95 GA) %39,1 (30,2; 48,7) %6,9 (3; 13,1)
Yanıt süresi Yanıt veren hasta sayısı |
45 |
8 |
Medyan, ay (%95 GA) | 6,9 (5,4; 8,9) | 8,3 (3,5; NE) |
9 ayda olaysızlık olasılığı (%95 GA) | tahmini, %31,5 (%16,7; %47,3) | %45,7 (%6,9; %79,5) |
HR=risk oranı; GA =güven aralığı; BIRC=Körlenmiş Bağımsız İnceleme Komitesi;
NE=hesaplanamaz
ayarlanmamıştır.
![]()
Şekil 3 ASCEND-5 (Çalışma A2303) –BIRC değerlendirmesine göre progresyonsuz
sağkalım için Kaplan-Meier grafiği
Olaysızlık olasılığı (%)

![]()
![]()
Zaman (Ay)
Halen risk altındaki hasta sayısı
|
|
|
|
|
|
|
|
|
|
|
|
|
Şekil 4 ASCEND-5 (Çalışma A2303) –Tedavi koluna göre genel sağkalımın Kaplan- Meier grafiği


Olaysızlık olasılığı (%)
Halen risk altındaki hasta sayısı
EORTC QLQ C30/LC13, LCSS ve EQ-5D-5L kullanılarak hasta tarafından bildirilen sonuç anketleri toplanmıştır. Çalışma süresince zaman noktalarının çoğunda seritinib ve kemoterapi kollarındaki hastaların %75'i veya daha fazlası LCSS anketlerini doldurmuştur. Kemoterapiye kıyasla ZYKADIA için akciğer kanserine özgü semptomların çoğunda anlamlı iyileşmeler bildirilmiştir (altı LCSS skorundan dördü ve 12 QLQ-LC13 semptom skorundan 10'u). Seritinib, kansere özgü semptomlar olan öksürük, ağrı ve dispne için kötüleşmeye kadar olan süreyi anlamlı şekilde uzatmıştır (kompozit sonlanım noktası LCSS:HR=0,40; 95% GA:0,25; 0,65; Kötüleşmeye kadar olan medyan zaman [TTD] seritinib kolunda 18 aya kıyasla [%95 GA:13,4; NE] kemoterapi kolunda 4,4 ay [%95 GA:1,6; 8,6]; LC13:HR=0,34; %95 GA:0,22;
0,52; medyan TTD seritinib kolunda 11,1 aya kıyasla [%95 GA:7,1; 14,2] kemoterapi kolunda 2,1 ay [%95 GA:1; 5,6]). EQ-5D anketinde kemoterapiye kıyasla ZYKADIA ile genel sağlık durumunda anlamlı iyileşme gözlenmiştir.
A2303 çalışmasında, başlangıçta beyin metastazları olan 133 hasta (seritinib kolundan 66 hasta ve kemoterapi kolundan 67 hasta) değiştirilmiş RECIST 1.1'e göre (beyinde 5 adede kadar lezyon) BIRC nöro-radyolog hekim tarafından intrakraniyal yanıt açısından değerlendirilmiştir. Başlangıçta beyinde ölçülebilir hastalığı olan ve başlangıç sonrası en az bir değerlendirme yapılan hastalarda genel intrakraniyal yanıt oranı (OIRR) kemoterapi koluna kıyasla (%5; %95 GA:0,1; 24,9) seritinib kolunda (%35,3; %95 GA:14,2; 61,7) daha yüksektir. RECIST 1.1'in kullanıldığı BIRC'e göre medyan PFS, beyin metastazları olan ve olmayan hasta alt gruplarında kemoterapi koluna kıyasla seritinib kolunda daha uzundur. Beyin metastazları olan hastalarda
medyan PFS seritinib kolunda 4,4 ay (%95 GA:3,4; 6,2), kemoterapi kolunda ise 1,5 aydır (%95 GA:1,3; 1,8); HR=0,54'tür (%95 GA:0,36; 0,8). Beyin metastazları olmayan hastalarda medyan PFS seritinib kolunda 8,3 ay (%95 GA:4,1; 14), kemoterapi kolunda ise 2,8 aydır (%95 GA:1,4;
4,1); HR=0,41 (%95 GA:0,24; 0,69).
Doz optimizasyon Çalışması A2112 (ASCEND-8)
Yemek ile birlikte alınan ZYKADIA 450 mg'ın etkililiği, çok merkezli, açık etiketli bir doz optimizasyon çalışması olan A2112'de (ASCEND-8) değerlendirilmiştir. ALK-pozitif lokal ileri veya metastatik KHDAK'li daha önce tedavi edilmemiş toplam 147 hasta, günde bir kez yemek ile birlikte ZYKADIA 450 mg (N=73) veya günde bir kez aç karnına ZYKADIA 750 mg'a (N=74) randomize edilmiştir. Kritik ikincil etkililik sonlanım noktalarından birisi, BIRC tarafından değerlendirildiği şekilde, RECIST 1.1'e göre ORR olarak belirlenmiştir.
ALK-pozitif lokal ileri evre veya metastatik KHDAK'lı daha önce tedavi görmemiş hastaların, yemek ile 450 mg (N=73) ve aç karnına 750 mg (N=74) olan iki kol arasındaki popülasyon özellikleri şu şekildedir: sırasıyla yaş ortalaması 54,3 ve 51,3, 65 yaşından küçükler (%78,1 ve %83,8), kadın (%56,2 ve %47,3), beyaz (%49,3 ve %54,1), asyalı (%39,7 ve %35,1), daha önce hiç sigara içmemiş veya daha önce sigara kullanmış ve bırakmış (%90,4 ve %95,9), WHO PS 0 veya 1 (%91,7 ve %91,9), adenokarsinom histolojisi (%98,6 ve %93,2)
ve beyine metastaz (%32,9 ve %28,4).
ASCEND-8'in etkililik sonuçları aşağıdaki Tablo 5'te özetlenmiştir.
Tablo 5 ASCEND-8 (Çalışma A2112) – Daha önce tedavi edilmemiş, BIRC'ye göre
ALK-pozitif lokal ileri veya metastatik KHDAK'li hastalarda etkililik sonuçları
Etkililik Parametresi | Seritinib 450 mg yemek ile | Seritinib 750 mg aç |
| birlikte (N=73) | karnına (N=74) |
Genel Yanıt Oranı (ORR: | 57 (78,1) | 56 (75,7) |
CR+PR), n (%) (95% GA) | (66,9; 86,9) | (64,3; 84,9) |
GA: Güven Aralığı
Tam Yanıt (CR), Kısmı Yanıt (PR), ilk yanıt kriterleri sağlandıktan en az 4 hafta sonra, tekrar
değerlendirmeleri ile doğrulanmıştır
RECIST 1.1'e göre BIRC değerlendirmesine dayalı olarak belirlenmiş genel yanıt oranı
![]()
Tek kollu X2101 ve A2201 çalışmaları
Önceden bir ALK inhibitörü ile tedavi edilen ALK-pozitif KHDAK hastalarının tedavisinde ZYKADIA'nın kullanımı 2 global, çok merkezli, açık etiketli, tek kollu faz 1/2 çalışmada incelenmiştir (Çalışma X2101 ve Çalışma A2201).
Çalışma X2101'de, toplam 246 ALK-pozitif KHDAK hastası günde bir kez aç karnına 750 mg ZYKADIA dozunda tedavi edilmiştir: bunlardan 163'ü önceden bir ALK inhibitörü ile tedavi görmüştür ve 83'ü daha önce hiç ALK inhibitörü kullanmamıştır.
Çalışmada 750 mg dozunda tedavi edilen 163 ALK-pozitif KHDAK hastasının medyan yaşı 52'dir (aralık: 24 ile 80 yaş); hastaların %86,5'i 65 yaşın altında ve %54'ü kadındır. Hastaların büyük kısmı beyaz (%63,3) ve asyalı (%28,8) hastalardır. %93,3'ünde adenokarsinom vardır ve %96,9'u ya hiç sigara kullanmamışlardır ya da sigarayı bırakmışlardır. Tüm hastalar bu çalışmaya alınmadan önce en az bir rejim ile, %84'ü önceden iki veya daha fazla rejim ile tedavi edilmiştir.
A2201 çalışması, önceden 1-3 kür sitotoksik kemoterapi alan, ardından krizotinib ile tedavi edilen ve sonrasında krizotinib tedavisinde progrese olan 140 hastadan oluşmaktadır. Medyan yaş 51'dir (aralık: 29 ile 80 yaş); hastaların %87,1'i 65 yaşın altında ve %50'si kadındır.
Hastaların büyük kısmı beyaz (%60) ve asyalıdır (%37,9). Hastaların %92,1'inde adenokarsinom vardır.
İki çalışmanın başlıca etkililik verileri Tablo 6'da özetlenmektedir. Çalışma A2201 için genel sağkalım (GS) final verileri aşağıda gösterilmektedir. Çalışma X2101'in analiz edildiği tarihte ise GS verileri henüz olgunlaşmamıştır.
Tablo 6 ALK-pozitif ilerlemiş KHDAK – Çalışma X2101 ve A2201'in etkililik
sonuçlarının özeti
| Çalışma X2101 seritinib 750 mg | Çalışma A2201 seritinib 750 mg |
| N=163 | N=140 |
Takip süresi | 10,2 | 14,1 |
Medyan (ay) (min - maks) | (0,1 – 24,1) | (0,1 – 35,5) |
Genel yanıt oranı Araştırıcı (%95 GA) |
%56,4 (48,5; 64,2) |
%40,7 (32,5; 49,3) |
BIRC (%95 GA) | %46 (38,2; 54) | %35,7 (27,8; 44,2) |
Yanıt süresi * Araştırıcı (ay, %95 GA) |
8,3 (6,8; 9,7) |
10,6 (7,4; 14,7) |
BIRC (ay, %95 GA) | 8,8 (6; 13,1) | 12,9 (9,3; 18,4) |
Progresyonsuz sağkalım Araştırıcı (ay, %95 GA) |
6,9 (5,6; 8,7) |
5,8 (5,4; 7,6) |
BIRC (ay, %95 GA) | 7 (5,7; 8,7) | 7,4 (5,6; 10,9) |
Genel sağkalım (ay, %95 GA) | 16,7 (14,8; NE) | 15,6 (13,6; 24,2) |
NE = hesaplanabilir değil
Çalışma X2101: Yanıtlar RECIST 1.0 kullanılarak değerlendirilmiştir Çalışma A2201: Yanıtlar RECIST 1.1 kullanılarak değerlendirilmiştir
* Sadece doğrulanmış CR, PR'li hastaları içerir
![]()
Çalışma X2101 ve A2201'de beyin metastazları sırasıyla hastaların %60,1 ve %71,4'ünde görülmüştür. Başlangıçta beyin metastazları olan hastaların ORR, DOR ve PFS değerleri (BIRC değerlendirmesine göre), bu çalışmaların genel popülasyonu için bildirilenle tutarlı olmuştur.
Adenokarsinom dışı histoloji:
Adenokarsinom dışı histolojiye sahip ALK-pozitif KHDAK hastalarında sınırlı bilgi mevcuttur.
Geriyatrik hastalar:
Yaşlı hastalarda sınırlı etkililik verileri mevcuttur. 85 yaşın üzerindeki hastalarda etkililik verisi
bulunmamaktadır.
5.2. Farmakokinetik özellikler
Genel özelliklerEmilim:
Seritinibin pik plazma düzeylerine (C) hastalarda oral uygulamayı takiben yaklaşık 4 ile 6 saatte ulaşılmaktadır. Feçesteki metabolit yüzdelerine dayalı olarak oral emilimin ≥%25 olduğu hesaplanmıştır. Seritinibin mutlak biyoyararlanımı henüz saptanmamıştır.
Yiyecek ile birlikte seritinibe sistemik maruziyet artmaktadır. Seritinib EAAdeğerleri, sağlıklı bireylerde, ilacın aç karnına alındığı durumla karşılaştırıldığında, tek bir 500 mg
seritinib dozunun düşük yağlı bir öğünle (yaklaşık 330 kilokalori ve 9 gram yağ içeren) ve yüksek yağlı bir öğünle (yaklaşık 1000 kilokalori ve 58 gram yağ içeren) uygulandığı durumda yaklaşık %58 ve %73 daha yüksek olmuştur (Cyaklaşık %43 ve %41 daha yüksek).
Yemek ile birlikte günlük ZYKADIA 450 mg veya 600 mg (yaklaşık 100 ila 500 kilokalori ve 1,5 ila 15 gram yağ) ile aç karnına günlük 750 mg (ilk ruhsatlandırılmış besin ve doz koşulları) karşılaştıran bir doz optimizasyon çalışması olan A2112'de (ASCEND-8), aç karnına uygulama kolu 750 mg (N=31) ile karşılaştırıldığında yemek ile birlikte uygulanan 450 mg (N=36) kolunda seritinibin sistemik kararlı durum maruziyetinde klinik olarak anlamlı bir fark belirlenmemiştir; sadece kararlı durum EAA'da (%90 GA) %4 (-%13, %24) ve C'ta (% 90 GA) %3 (-%14, %22) gibi küçük artışlar olmuştur. Buna karşılık, aç karnına uygulamanın yapıldığı 750 mg kolu ile karşılaştırıldığında yemek ile birlikte uygulanan 600 mg (N=30) kolunda kararlı durum EAA (%90 GA) ve C(%90 GA) sırasıyla %24 (%3, %49) ve %25 (%4, %49) artmıştır. Önerilen maksimum ZYKADIA dozu, yemek ile birlikte günde bir kez oral yoldan 450 mg'dır (bkz. Bölüm 4.2).
Hastalarda tek oral seritinib uygulamasından sonra Cve EAAdeğerleri ile ifade edilen plazma seritinib maruziyeti, 50 ile 750 mg doz aralığında aç karnına alındığında dozla oransal olarak artmıştır. Tek doz verilerinin aksine, tekrarlı günlük dozlardan sonra doz öncesi konsantrasyonun (C) doz-oransaldan daha yüksek oranda arttığı görülmüştür.
Dağılım:
Seritinibin in vitro şartlarda insan plazma proteinlerine bağlanma oranı, 50 ng/ml ile 10.000 ng/ml aralığında konsantrasyondan bağımsız şekilde yaklaşık %97'dir. Seritinib ayrıca plazmaya kıyasla kırmızı kan hücrelerine biraz daha tercihli dağılıma sahip olup ortalama in vitro kan-plazma oranı 1,35'dir. İn vitro veriler seritinibin P-glikoprotein (P-gp) substratı olduğunu fakat meme kanseri direnç proteini (BCRP) veya çoklu direnç proteini 2'nin (MRP2) substratı olmadığını düşündürmektedir. Seritinibin in vitro koşullarda görünür pasif geçirgenliğinin düşük olduğu belirlenmiştir.
Sıçanda seritinib sağlam kan beyin bariyerini geçer ve beyin-kan maruziyeti (EAA) oranı yaklaşık %15'tir. İnsanda beyin-kan maruziyet oranı ile ilgili veri bulunmamaktadır.
Biyotransformasyon:
İn vitro çalışmalar, CYP3A'nın seritinibin metabolik klirensinde görev alan başlıca enzim
olduğunu göstermiştir.
Aç karnına 750 mg düzeyinde tek oral radyoaktif seritinib uygulamasından sonra seritinib insan plazmasında dolaşımdaki ana bileşen olmuştur. Plazmada dolaşan toplam 11 metabolit bulunmuştur; bunların düzeyleri düşük olup radyoaktivite EAA değerine ortalama katkıları her bir metabolit için ≤%2,3'tür. Sağlıklı gönüllülerde tanımlanan başlıca biyotransformasyon yolakları mono-oksijenasyon, O-dealkilasyon ve N-formilasyonu içermektedir. Birincil biyotransformasyon ürünlerini içeren ikincil biyotransformasyon yolakları arasında glukuronidasyon ve dehidrojenasyon yer almıştır. O-dealkile seritinibe bir tiol grubunun eklendiği de gözlenmiştir.
Eliminasyon:
Seritinibin aç karnına tek oral dozlarından sonra hastalarda seritinibin geometrik ortalama görünür plazma terminal yarı ömrü (T) 400 ile 750 mg doz aralığında 31 ile 41 saat arasında olmuştur. Seritinibin günlük oral doz uygulamaları sonucunda kararlı duruma yaklaşık 15 günde ulaşılır ve bundan sonra stabil seyreder; 3 hafta süreyle günlük doz uygulamalarından sonra geometrik ortalama birikme oranı 6,2'dir. Seritinibin geometrik ortalama görünür klirensi (CL/F), 750 mg tek oral dozuna (88,5 litre/saat) kıyasla günde bir kez 750 mg oral doz
uygulamasından sonra kararlı durumda daha düşük olarak (33,2 litre/saat) seritinibin zaman içinde doğrusal olmayan farmakokinetik özellikler sergilediğini düşündürmüştür.
Seritinib ve metabolitlerinin birincil atılım yolu feçes iledir. Feçeste tespit edilen değişmemiş seritinib oral dozun ortalama %68'ini oluşturur. Uygulanan oral dozun sadece %1,3'ü idrarda tespit edilir.
Hastalardaki karakteristik özellikler
Karaciğer yetmezliği olan hastalar: Karaciğer bozukluğunun seritinibin tek doz farmakokinetiği üzerindeki etkisi (aç karnına 750 mg) hafif (Child-Pugh sınıf A; N=8), orta derecede (Child- Pugh sınıf B; N=7) ya da şiddetli (Child-Pugh C sınıfı; N=7) karaciğer yetmezliği olan hastalarda ve normal karaciğer fonksiyonuna sahip 8 sağlıklı bireyde değerlendirilmiştir. Normal hepatik fonksiyona sahip olan bireylere kıyasla, hafif ve orta şiddette karaciğer yetmezliği olan kişilerde, seritinibin geometrik ortalama EAAdeğeri (bağlanmamış EAA), sırasıyla %18 (%35) ve %2 (%22) yükselmiştir.
Seritinibin geometrik ortalama EAA(bağlanmamış EAA) değeri, normal karaciğer fonksiyonuna sahip olan bireylere göre şiddetli karaciğer yetmezliği olan kişilerde %66 (%108) artmıştır (bkz. Bölüm 4.2). Karaciğer bozukluğu olan hastalarda kararlı koşullar altında çalışılmış özel bir farmakokinetik çalışma gerçekleştirilmemiştir.
Böbrek yetmezliği olan hastalar: Böbrek bozukluğu olan hastalarda özel bir farmakokinetik çalışma gerçekleştirilmemiştir. Eldeki verilere dayanılarak, seritinibin böbrek yoluyla eliminasyonu göz ardı edilebilir düzeydedir (tek oral uygulanan dozun %1,3'ü).
Hafif böbrek bozukluğu olan 345 hasta (Kreatinin klirensi 60 ile <90 mL/dk), orta dereceli böbrek bozukluğu (CLcr 30 ile <60 mL/dk) olan 82 hasta ve normal renal fonksiyonu olan 546 hastanın (≥90 mL/dk) popülasyon farmakokinetik analizine dayalı olarak, seritinib maruziyetleri hafif ve orta dereceli böbrek bozukluğu olan hastalarda ve normal renal fonksiyonu olan hastalarda benzer olup bu da hafif ile orta dereceli böbrek bozukluğu olan hastalarda herhangi bir doz ayarlamasının gerekli olmadığını düşündürmektedir. Şiddetli böbrek bozukluğu (CLcr <30 mL/dk) olan hastalar ZYKADIA klinik çalışmalarına dahil edilmemiştir (bkz. Bölüm 4.2).
Yaş, cinsiyet ve ırk etkisi: Popülasyon farmakokinetiği analizleri yaş, cinsiyet ve ırkın, seritinib maruziyeti üzerinde anlamlı bir etkisinin olmadığını göstermiştir.
Kardiyak elektrofizyoloji: Seritinibin QT aralığında uzatma potansiyeli, ZYKADIA ile gerçekleştirilen yedi klinik çalışmada değerlendirilmiştir. Aç karnına günde bir kez 750 mg ZYKADIA ile tedavi edilmiş 925 hastada seritinibin QT aralığı üzerindeki etkisini değerlendirmek üzere tek dozdan sonra ve kararlı durumda seri EKG'ler çekilmiştir. EKG verilerinin kategorik uç değerler analizi 12 hastada (%1,3) yeni QTc >500 milisaniye durumu göstermiştir. Başlangıca göre > 60 milisaniye QTc uzaması olan 58 hasta (%6,3) belirlenmiştir. Çalışma A2301'den gelen ortalama kararlı durum konsantrasyonlarında QTc verilerinin merkezi eğilim analizi iki yönlü %90 güven aralığının üst sınırının aç karnına ZYKADIA 750 mg dozunda 15,3 milisaniye olduğunu göstermiştir. Bir farmakokinetik analiz, seritinibin QTc değerinde konsantrasyona bağlı artışlara neden olduğunu öne sürmüştür (bkz. Bölüm 4.4).
5.3. Klinik öncesi güvenlilik verileri
Güvenlilik farmakolojisi çalışmaları, seritinibin solunum ve santral sinir sistemlerinin hayati işlevlerine müdahale etmesinin olası olmadığına işaret etmektedir. İn vitro veriler seritinibin hERG potasyum kanalı üzerindeki inhibitör etkisinin IC50 değerinin 0,4 mikromol olduğunu göstermektedir. Maymunlarla gerçekleştirilen bir in vivo telemetri çalışmasında en yüksek seritinib dozu alındıktan sonra 4 hayvanın 1'inde düşük dereceli QT uzaması olduğunu
göstermiştir. 4 veya 13 hafta süreyle seritinib dozlarını takiben maymunlarda yürütülen EKG çalışmaları QT uzaması ya da anormal EKG'ler göstermemiştir.
TK6 hücrelerindeki mikronükleus testi pozitif sonuç vermiştir. Seritinib ile gerçekleştirilen diğer in vitro ve in vivo genotoksisite çalışmalarında herhangi bir mutajenisite ve klastojenisite belirtisi gözlenmemiştir. Dolayısıyla, insanda genotoksik risk beklenmemektedir.
Seritinib ile karsinojenisite çalışmaları gerçekleştirilmemiştir.
Gebe sıçanlar ve tavşanlar ile gerçekleştirilen üreme toksikolojisi çalışmaları (yani embriyo- fetal gelişim çalışmaları) organojenez sırasındaki seritinib doz uygulaması sonrasında fetotoksisite veya teratojenisiteye işaret etmemiştir ancak maternal plazma maruziyeti, önerilen insan dozu ile gözlenenden düşük bulunmuştur. Seritinibin fertilite üzerindeki potansiyel etkilerine yönelik resmi klinik dışı çalışmalar gerçekleştirilmemiştir.
Sıçan ve maymunda seritinib uygulaması ile ilişkili başlıca toksisite, periferik kanda nötrofil sayısında artışın eşlik ettiği ekstrahepatik safra yollarının enflamasyonu olmuştur. Ekstrahepatik safra yollarının karma hücre/nötrofilik enflamasyonu daha yüksek dozlarda pankreasa ve/veya duodenuma yayılmıştır. Gastrointestinal toksisite iki türde de gözlemlenmiş olup beden ağırlığında azalma, yem tüketiminde azalma, kusma (maymun), ishal ve yüksek dozlarda erozyon, mukoza enflamasyonu ve duodenal kriptlerde ve alt mukoza tabakasında köpüksü makrofajları içeren histopatolojik lezyonlar ile karakterizedir. Ayrıca, insan için önerilen en yüksek doz düzeylerinde iki türde de karaciğer etkilenmiştir ve bu durum az sayıda hayvanda karaciğer transaminazlarda minimal artışları ve intrahepatik safra epitelinde boşluk oluşumunu içermektedir. Sıçanların akciğerlerinde alveolar köpüksü makrofajlar (doğrulanmış fosfolipidozis) görülürken aynı etki maymunlarda görülmemiştir ve sıçanların ve maymunların lenf bezlerinde makrofaj kümeleşmeleri bulunmuştur. Hedef organ etkileri, kısmi ile tam arası düzelme göstermiştir.
Gerek sıçanda (mikroskobik korelasyon olmaksızın tiroit uyarıcı hormonda ve triiodotironin/ tiroksin T3/T4 konsantrasyonlarında hafif artışlar) gerekse maymunda (4 haftalık çalışmalarda erkeklerde koloid deplesyonu ve 13 haftalık çalışmada bir maymunda yüksek dozda yaygın foliküler hücre hiperplazisi ve tiroit uyarıcı hormonda artış) tiroit üzerinde etkiler gözlenmiştir. Bu klinik dışı etkiler hafif dereceli, değişken ve tutarsız olduğundan, hayvanlarda seritinib ile tiroit bezi değişiklikleri arasındaki ilişki net değildir.
6. FARMASÖTİK ÖZELLİKLER
6.1. Yardımcı maddelerin listesi
Kapsül içeriği Mikrokristalin selüloz
Düşük sübstitüe-hidroksipropilselüloz Sodyum nişasta glikolat (tip A) Magnezyum stearat
Koloidal susuz silika
Kapsül kabuğu
Jelatin (sığır kaynaklı) İndiogotin (E132)
Titanyum dioksit (E171) Baskı mürekkebi
Şellak (beyazlatılmış, vakssız) cila %45
Siyah demir oksit (E172) Propilen glikol Amonyum hidroksit %28
6.2. Geçimsizlikler
Uygulanamaz.
6.3. Raf ömrü
36 ay.
6.4. Saklamaya yönelik özel tedbirler
30ºC'nin altındaki oda sıcaklığında saklayınız.
6.5. Ambalajın niteliği ve içeriği
150 kapsül içeren çoklu paketler (50 kapsüllük 3 paket).
6.6. Beşeri tıbbi üründen arta kalan maddelerin imhası ve diğer özel önlemler
Kullanılmamış olan ürünler ya da atık materyaller “Tıbbi Atıkların Kontrolü Yönetmeliği†ve “Ambalaj Atıklarının Kontrolü Yönetmeliğiâ€ne uygun olarak imha edilmelidir.7. RUHSAT SAHİBİ
Novartis Sağlık, Gıda ve Tarım Ürünleri San. ve Tic. A.Ş. Kavacık / Beykoz / İstanbul
Depresyonu Anlamak
Depresyon farklı kişileri farklı biçimlerde etkiler. Duygusal veya fiziksel
olmak üzere geniş alanda belirtilere sebep olabilir.Depresyona neler sebep olur? |
Kolon, Rektum yada Bağırsak Kanseri
Bağırsak kanseri kolon veya rektumda
(arka geçit) herhangi bir bölgede ortaya çıkabilir.Kolorektal kanser erken safhalarda teşhis edilmesi halinde daha kolay ve daha başarılı bir
şekilde tedavi edilir. |
![]() |
Mide Kanseri Mide kanseri genellikle mideyi tümüyle kaplayan ve mukus üretmekle görevli hücrelerde başlar. Bu kanser tipine adenokarsinom denir. |
![]() |
Travma Sonrası Bunalımı Travmatik bir olay, günlük olağan olayların dışında olan ve kişiyi derinden rahatsız eden bir olaydır.Birçok olay böyle bir etki gösterebilir. |
![]() |
Pankreas Kanseri Pankreas karnın alt kısmında yatay şekilde bulunan bir organdır. Sindirime yardımcı olan enzimleri ve kan şekerini yönetmeye yardımcı olan hormonları vücuda dağıtmakla görevlidir. |
İLAÇ GENEL BİLGİLERİ
Novartis Sağlık,Gıda ve Tarım Ürünleri San. Tic. A.Ş.
| Geri Ödeme Kodu | A16808 |
| Satış Fiyatı | 148509.02 TL [ 4 May 2026 ] |
| Önceki Satış Fiyatı | 148509.02 TL [ 27 Apr 2026 ] |
| Original / Jenerik | Original İlaç |
| Reçete Durumu | Normal Reçeteli bir ilaçdır. |
| Barkodu | 8699504152050 |
| Etkin Madde | Seritinib |
| ATC Kodu | L01ED02 |
| Birim Miktar | 150 |
| Birim Cinsi | MG |
| Ambalaj Miktarı | 150 |
| Antineoplastik ve İmmünomodülatör Ajanlar |
| İthal ( ref. ülke : Isvicre ) ve Beşeri bir ilaçdır. |




