MEPACT 4 mg infüzyonluk DISPERSIYON konsantreSI için toz Kısa Ürün Bilgisi
{ Mifamurtid }
1. BEŞERİ TIBBİ ÜRÜNÜN ADI
MEPACT 4 mg infüzyonluk dispersiyon konsantresi için toz
2. KALİTATİF VE KANTİTATİF BİLEŞİM
Etkin madde
Her bir flakon 4 mg mifamurtid* içerir.
Kullanıma hazırlandıktan sonra flakondaki her 1 mL süspansiyon, 0.08 mg mifamurtid içerir.
*Mycobacterium sp. hücre duvarındaki bir bileşenin tam sentetik analoğudur.
Yardımcı madde (ler):
1,2-Dioleoil-sn-glisero-3-fosfo-L-serin monosodyum tuzu (OOPS)
Yardımcı maddeler
in tam listesi için bkz. bölüm 6.1.
3. FARMASÖTİK FORMU
İnfüzyonluk dispersiyon konsantresi için toz.
Beyaz veya beyazımsı homojen kek veya toz.
100 ml'lik torbada bulunan 9 mg/mL (% 0.9) enjeksiyonluk sodyum klorür çözeltisi torba,
iğne ve enjektör, ambalajlarından çıkarılmalıdır (bunlar, ürün ambalajında yer almamaktadır).
4. KLİNİK ÖZELLİKLER
4.1. Terapötik endikasyonlar
Yaşları 2-30 arasında değişen çocuk, ergen ve genç yetişkinlerdeki; makroskopik olarak tam rezeke edilmiş, metastatik olmayan, yüksek evreli osteosarkom tedavisinde, çoklu ajan kemoterapi ile kombine olarak kullanımı endikedir.
4.2. Pozoloji ve uygulama şekli
MEPACT tedavisi; osteosarkom tanı ve tedavisinde deneyim sahibi, uzman hekimler tarafından başlatılmalı ve onların denetimi altında gerçekleştirilmelidir.
Pozoloji /uygulama sıklığı ve süresi
Tüm hastalarda önerilen mifamurtid dozu, vücut yüzeyinin her metrekaresi için 2 miligramdır. Rezeksiyon sonrasında, adjuvan tedavi olarak 12 hafta boyunca en az 3 günlük aralıklarla haftada 2 defa uygulanır ve bunu, ilave 24 hafta boyunca haftada bir defa uygulanması izler; böylece, 36 haftada toplam 48 infüzyon gerçekleştirilir.
Uygulama şekli
MEPACT, kullanıma hazırlandıktan sonra, beraberinde verilen filtre kullanılarak süzülmeli ve infüzyon öncesinde bir miktar daha seyreltilmelidir. Kullanıma hazırlanan, süzülen ve seyreltilen infüzyonluk süspansiyon; görülen partikül, köpük ve lipid topakları içermeyen, homojen, beyaz veya beyazımsı renkte, opak lipozomal süspansiyondur.
MEPACT kullanıma hazırlandıktan sonra, beraberinde verilen filtre kullanılarak süzüldü kten ve seyreltildikten sonra yaklaşık 1 saat süreyle intravenöz infüzyon yoluyla uygulanır.
MEPACT, intravenöz bolus enjeksiyon şeklinde uygulanmamalıdır.
Uygulama öncesi kullanıma hazırlama, verilen filtre ile süzme ve seyreltme ile ilgili daha
fazla bilgi bkz. bölüm 6.6.
Özel popülasyonlara ilişkin ek bilgiler Böbrek/Karaciğer yetmezliği:
Hafif veya orta şiddette böbrek yetmezliği (kreatinin klerensi (CrCL) ≥30 ml/dakika) veya karaciğer yetmezliğinde (Child-Pugh sınıf A veya B) mifamurtid farmakokinetiğin de klinik olarak anlamlı etkiler olmadığından, bu hastalarda doz ayarlaması gerekli değildir. Ancak, orta şiddette hepatik yetmezliği olan hastalarda mifamurtidin farmakokinetiğinin değişkenliği daha yüksek olduğu (bkz bölüm 5.2) ve orta şiddette hepatik yetmezliği olan hastalarda güvenlilik verileri sınırlı olduğu için, orta şiddette hepatik yetmezliği olan hastalara mifamurtid verilirken temkinli olunması tavsiye edilir.
Mifamurtidin şiddetli böbrek veya karaciğer yetmezliği olan hastalardaki farmakokinetiği, formal çalışmalarda incelenmediğinden, bu hastalara mifamurtid verilirken temkinli olunması tavsiye edilir. Mifarmurtid kemoterapinin tamamlanmasından sonra kullanılırsa, karaciğe r ve böbrek fonksiyonlarının izlenmesine, tüm tedavi tamamlanıncaya kadar devam edilmesi tavsiye edilir.
Pediyatrik popülasyon:
0 ila 2 yaş aralığındaki çocuklarda mifamurtidin güvenlilik ve etkililiği tespit edilmemiştir. Herhangi bir veri bulunmamaktadır.
Geriyatrik popülasyon:
Osteosarkom çalışmalarında tedavi edilen hastaların hiçbiri, 65 yaşından büyük değildir ve randomize faz III çalışmasına, sadece 30 yaşına kadar olan hastalar dahil edilmiştir. Bu nedenle MEPACT'ın 30 yaşından büyük hastalarda kullanımının önerilmesi için yeterli veri yoktur.
4.3. Kontrendikasyonlar
Etkin madde
Her bir flakon 4 mg mifamurtid* içerir.
Siklosporin veya diğer kalsinörin inhibitörleri ile eşzamanlı kullanım (bkz. bölüm 4.5).
Yüksek dozda nonsteroidal antienflamatuvar ilaçlar (NSAİİ'lar, siklooksijenaz inhibitörleri) ile eşzamanlı kullanım (bkz. bölüm 4.5).
4.4. Özel kullanım uyarıları ve önlemleri
Solunum güçlüğü
Astım veya diğer kronik obstrüktif akciğer hastalığı öyküsü olan hastalara profilaksi amacıyla bronkodilatörlerin verilmesi düşünülmelidir. Önceden astımı olan iki hastada tedavi ile bağlantılı olarak hafif ila orta şiddette solunum güçlüğü meydana gelmiştir (bkz bölüm 4 .8 ) Şiddetli bir solunum reaksiyonu gelişirse, mifamurtid verilmesi durdurulmalı ve gereken tedavi başlatılmalıdır.
Nötropeni
Mifamurtid tedavisine, kemoterapiyle birlikte uygulandığı zaman, sıklıkla geçici nötropeni eşlik etmiştir. Nötropeniye bağlı ateş atakları izlenmeli ve gereken şekilde tedavi edilmelidir. Mifamurtid, nötropeni dönemleri sırasında da verilebilir ama tedaviye bağlı olarak daha sonra gelişen ateş yakından izlenmelidir. Mifamurtid verilmesinin ardından 8 saatten f azla devam eden ateş veya şiddetli titremeler, olası sepsis tablosu açısından değerlendirilmelidir.
İnflamatuvar yanıt
Mifamurtid tedavisine perikardit ve plevrit dahil belirgin inflamatuvar yanıtların eşlik etmesi yaygın bir durum değildir. Otoimmün, inflamatuvar veya diğer kollajen hastalık öyküsü bulunan hastalarda ihtiyatla kullanılmalıdır. Mifamurtid uygulanması sırasında hastalar, kontrol altında olmayan inflamatuvar reaksiyon izlenimi veren artrit veya sinovit gibi alışılmadık belirtiler veya semptomlar açısından izlenmelidir. Artmış inflamatuar yanıtın alerjik reaksiyonlardan ayırt edilmesi zor olabilir. İnfüzyonla ilgili reaksiyonların oluşması durumunda daha fazla bilgi için alerjik reaksiyonlar bölümüne bakınız.
Kardiyovasküler bozukluklar
Geçmişlerinde venöz tromboz, vaskülit veya stabil olmayan kardiyovasküler bozukluk olan hastalar mifamurtid uygulanması sırasında yakından izlenmelidir. Semptomlar devam eder ya da kötüleşirse mifamurtid uygulanması ertelenmeli ya da kesilmelidir. Çok yüksek dozların verildiği hayvanlarda kanama gözlenmiştir. Bunlar, önerilen dozlarda beklenmez ama pıhtılaşma parametrelerinin ilk dozdan sonra ve birkaç doz verildikten sonra izlenmesi önerilir.
Alerjik reaksiyonlar
Mifamurtid tedavisine kimi zaman deri döküntüsü, nefes darlığı ve 4.derece hipertansiyon gibi alerjik reaksiyonlar eşlik etmiştir (bkz bölüm 4.8) Alerjik reaksiyonlarla, abartılmış inflamatuvar yanıtların ayırt edilmesi zordur ama hastalar, alerjik reaksiyon belirtileri bakımından izlenmelidir. İnfüzyonla ilgili reaksiyonların oluşması durumunda infüzyona ara verilmeli ve lokal standartlara göre uygun tıbbi işlemler başlatılmalıdır. Tedavi eden doktorun seçimine göre, semptomların düzelmesinden sonra infüzyon daha düşük hızda yeniden başlatılabilir.
Gastrointestinal toksisite
Bulantı, kusma ve iştah kaybı, mifamurtid tedavisine çok sık eşlik eden advers reaksiyonlardır (bkz bölüm 4.8). Mifamurtid tedavisinin çok sayıda, yüksek doz, çoklu ajanlı kemoterapi ile birlikte kullanılması, gastrointestinal toksisiteyi alevlendirebilir ve gastrointestinal toksisite, parenteral beslenme uygulamalarının artışı ile ilişkilendirilebilir.
Sodyum
Bu ilaç, her dozda 1 mmol (23 mg)'dan daha az sodyum içerir; yani pratik olarak sodyum içermez.
4.5. Diğer tıbbi ürünler ile etkileşimler ve diğer etkileşim şekilleri
MEPACT'ın kemoterapiyle etkileşimi, sınırlı sayıda çalışmada incelenmiştir. Bu çalışmaların sonuçları kesin olmamakla birlikte MEPACT tedavisiyle kemoterapinin anti-tümör etkileri arasında etkileşim mevcut olduğuna dair herhangi bir kanıt yoktur.
MEPACT'ın ve aynı kemoterapi rejiminde kullanılan doksorubisinin veya diğer lipofilik tıbbi
ürünlerin uygulama zamanlarının farklı olması önerilir.
MEPACT'ın siklosporinle veya diğer kalsinörin inhibitörleriyle birlikte kullanılması, dalak makrofajları ve mononükleer fagositik fonksiyon üzerinde varsayılan etki nedeniyle kontrendikedir (bkz. bölüm 4.3).
Ayrıca, yüksek doz nonsteroidal antienflamatuvar ilaçların (siklooksijenaz inhibitörlerinin), lipozomal mifamurtidin makrofajların aktivasyonuna yol açan etkisini bloke edebileceği in vitro “olarak “gösterildiğinden, yüksek doz NSAİİ'lerin mifamurtidle birlikte kullanılması kontrendikedir (bkz. bölüm 4.3).
Mifamurtid, bağışıklık sistemini uyararak etki ettiğinden, MEPACT tedavisi sırasında kortikosteroidlerin kronik ya da rutin kullanımından kaçınmak gerekir.
Havuzlanmış insan karaciğer mikrozomlarında yapılan in vitro etkileşim çalışmaları lipozomal ve non-lipozomal mifamurtidin, sitokrom P450'nin metabolik aktivitesini inhibe etmediğini göstermiştir. Lipozomal ve non-lipozomal mifamurtid, taze izole edilmiş insan hepatositlerinin primer kültürlerinde sitokrom P450'nin transkripsiyonuna veya metabolik aktivitesinin artışına neden olmaz. Bundan dolayı, mifamurtidin, karaciğerdeki sitokrom P450 substratı olan maddelerin metabolizmasıyla etkileşime girmesi beklenmez.
Kontrollü, büyük bir randomize çalışmada önerilen dozlarda ve pozoloji uyarınca kullanılan MEPACT'ın, bilinen renal(sisplatin, ifosfamid) veya hepatik(yüksek doz metotreksat, ifosfamid) toksisiteye sahip diğer tıbbi ürünlerle birlikte kullanılması, söz konusu toksisiteleri şiddetlendirmemiş olduğundan mifamurtid dozunun ayarlanmasına ihtiyaç duyulmamıştır.
4.6. Gebelik ve laktasyon
Gebelik kategorisi: C
Çocuk doğurma potansiyeli bulunan kadınlar/Doğum kontrol (Kontrasepsiyon)
Çocuk doğurma potansiyeli bulunan kadınlar etkili bir kontrasepsiyon yöntemi kullanmalıdırlar.
In vitro çalışmalar gerek lipozomal gerekse non-lipozomal mifamurtidin sitrokrom P450'nin metabolik aktivitesinde artışa ya da azalmaya neden olmadığını gösterdiğinden, MEPACT'ın oral kontraseptiflerle etkileşime girmesi beklenmez.
Gebelik dönemi
Mifamurtidin gebe hastalarda kullanılmasına ait herhangi bir veri yoktur. Hayvanlarda yapılan çalışmalar, üreme toksisitesi hakkında bilgi vermek bakımından yetersizdir. MEPACT, gebelikte ve etkili kontrasepsiyon uygulamayan kadınlarda kullanılmamalıdır.
Hayvanlar üzerinde yapılan çalışmalar, gebelik ve/veya embriyonal/fetal gelişim ve/veya doğum ve/veya doğum sonrası gelişim üzerindeki etkiler bakımından yetersizdir (bkz. bölüm 5.3). İnsanlara yönelik potansiyel risk bilinmemektedir.
MEPACT gebelik döneminde kullanılmamalıdır.
Laktasyon dönemi
Mifamurtidin insanlarda anne sütüne geçip geçmediği bilinmemektedir. Mifamurtidin hayvanlarda süte geçip geçmediği incelenmemiştir. Bebeğin emzirilmeye devam edilip edilmemesi veya tedaviye devam edilip edilmemesi, emzirmenin bebeğe faydaları, MEPACT tedavisinin anneye faydaları göz önüne alınarak kararlaştırılmalıdır.
Üreme yeteneği /Fertilite
Mifamurtide özgü fertilite çalışmaları yapılmamıştır (bkz bölüm 5.3).
4.7. Araç ve makine kullanımı üzerindeki etkiler
MEPACT, araç ve makine kullanma yeteneği üzerindeorta düzeyde etkiye sahiptir. Sersemlik, baş dönmesi, bitkinlik ve bulanık görme, mifamurtid tedavisinin çok sık veya sık karşılaşılan bazı istenmeyen etkileri olarak görülmüştür.
4.8. İstenmeyen etkiler
Mifamurtid'in, yalnız başına veya tek bir madde olarak çoğu ilerlemiş 248 kanser hastasında yapılan erken, tek kollu faz I ve II klinik çalışmalarının sonuçlarına göre en yaygın advers reaksiyonlar üşüme, yüksek ateş, bitkinlik, bulantı, taşikardi ve baş ağrısıdır. En sık bildirilen ve aşağıdaki özet tabloda gösterilen istenmeyen etkilerin, mifamurtidin etki mekanizmasıyla ilişkili oldukları düşünülmektedir (Bkz Tablo 1). Söz konusu olayların büyük bölümünün, hafif ya da orta şiddette oldukları bildirilmiştir.
Aşağıda listelenen istenmeyen ilaç reaksiyonları sıklıklarına ve Sistem Organ Sınıfına (SOC) göre sınıflandırılmıştır.
Aşağıdaki terimler ve sıklık dereceleri kullanılmıştır:
Çok yaygın (≥1/10); yaygın (≥1/100 ila <1/10); yaygın olmayan (≥1/1000 ila <1/100); seyrek (≥1/10.000 ila <1/1000); çok seyrek (<1/10.000), bilinmiyor (eldeki verilerden hareketle tahmin edilemiyor).
Her bir sıklık grubu içinde istenmeyen ilaç reaksiyonları azalan ciddiyet sırasıyla listelenmiştir.
![]()
MEPACT tedavisine 1/100 hastada eşlik eden advers reaksiyonlar
Enfeksiyonlar ve enfestasyonlar
Yaygın: Sepsis, selülit, nazofarenjit, kateter yerinde enfeksiyon, üst solunum yolu enfeksiyonu, idrar yolu enfeksiyonu, farenjit, Herpes simplex enfeksiyonu
Kistler ve polipler de dahil olmak üzere iyi huylu ve kötü huylu neoplazmalar
Yaygın: Kanser ağrısı
Kan ve lenf sistemi hastalıkları
Çok yaygın: Anemi
Yaygın: Lökopeni, trombositopeni, granülositopeni, febril nötropeni
Metabolizma ve beslenme hastalıkları
Çok yaygın: Anoreksi
Yaygın: Dehidrasyon, hipokalemi, iştah azalması
Psikiyatrik hastalıklar
Yaygın: Konfüzyonel durum, depresyon, uykusuzluk, anksiyete
Sinir sistemi hastalıkları
Çok yaygın: Başağrısı, baş dönmesi
Yaygın: Parestezi, hipoestezi, tremor, somnolans, letarji
Göz hastalıkları
Yaygın: Bulanık görme
Kulak ve iç kulak hastalıkları
Yaygın: Vertigo, kulak çınlaması, işitme kaybı
Kardiyak hastalıklar
Çok yaygın: Taşikardi Yaygın: Siyanoz, palpitasyon
Bilinmiyor: Perikardiyal efüzyon
Vasküler hastalıklar
Çok yaygın: Hipertansiyon, hipotansiyon Yaygın: Flebit, sıcak basması, solgunluk
Solunum, göğüs bozuklukları ve mediastinal hastalıklar
Çok yaygın: Dispne, takipne, öksürük
Yaygın: Plevra efüzyonu, alevlenen dispne, balgamlı öksürük, hemoptizi, hırıltılı solunum, burun kanaması, eforla gelen dispne, sinüs konjesyonu, nazal konjesyon, faringolaringeal ağrı
Gastrointestinal hastalıklar
Çok yaygın: Kusma, ishal, kabızlık, karın ağrısı, bulantı
Yaygın: Karnın üst bölümünde ağrı, dispepsi, karında distansiyon, karnın alt bölümünde ağrı
Hepato-biliyer hastalıklar
Yaygın: Karaciğer bölgesinde ağrı
Deri ve deri altı dokusu hastalıkları
Çok yaygın: Hiperhidroz
Yaygın: Deri döküntüsü, kaşıntı, eritem, alopesi, cilt kuruluğu
Kas-iskelet bozuklukları, bağ doku ve kemik hastalıkları
Çok yaygın: Miyalji, artralji, sırt ağrısı, ekstremite ağrısı
Yaygın: Kas spazmları, boyun ağrısı, kasık ağrısı, kemik ağrısı, omuz ağrısı, göğüs duvarında ağrı, kas-iskelet sertliği
Böbrek ve idrar yolu hastalıkları
Yaygın: Hematüri, dizüri, pollakiüri
Üreme sistemi ve meme hastalıkları
Yaygın: Dismenore
Genel bozukluklar ve uygulama bölgesine ilişkin hastalıklar
Çok yaygın: Ateş, şiddetli titreme, bitkinlik, hipotermi, ağrı, kırıklık, asteni, göğüs ağrısı Yaygın: Periferik ödem, ödem, mukoza inflamasyonu, infüzyon yerinde eritem, infüzyon yeri reaksiyonu, kateter giriş yerinde ağrı, göğüste sıkıntı hissi, üşüme hissi
Laboratuar bulguları Yaygın: Kilo kaybı
Cerrahi ve tıbbi prosedürler
Yaygın: Prosedür-sonrası ağrı
Belirli advers reaksiyonların tanımları
Kan ve lenf sistemi hastalıkları
Mifamurtidin kemoterapötiklerle birlikte kullanımına bağlı olarak anemi çok yaygın olarak görülmüştür. Kontrollü, randomize bir çalışmada miyeloid malignite (akut miyeloid lösemi/miyelodisplastik sendrom) insidansı MEPACT + kemoterapi grubu ile yalnızca kemoterapi grubu arasında insidansı aynı olarak bulunmuştur ( yaklaşık %2.1).
Metabolizma ve beslenme hastalıkları
Faz I ve II mifamurtid çalışmalarında anoreksi çok yaygın bildirilmiştir (%21).
Sinir sistemi hastalıkları
Diğer genel semptomlara uygun olarak baş ağrısı ve baş dönmesi, sinir sisteminde en fazla bildirilen bozukluklardır (hastaların sırasıyla %50 ve %17'sinde). Faz III çalışmasında bir hasta, kemoterapi ve mifamurtid çalışma terapisi alırken 2 episod 4.derece nöbet geçirmiştir. İkinci episod günlerce çoklu grand-mal nöbet şeklinde olmuştur. Çalışmanın geri kalan kısmında nöbet tekrarlanmadan mifamurtid tedavisine devam edilmiştir.
Kulak ve iç kulak hastalıkları
İşitme kaybı, sisplatin gibi ototoksik kemoterapiyle açıklanabilirse de; çok sayıda kemoterapötikle birlikte kullanılan MEPACT'ın işitme kaybını artırıp artırmayabileceği bilinmemektedir. Faz III çalışmasında MEPACT ve kemoterapi kombinasyonu uygulanan hastalarda, yalnızca kemoterapi uygulanan hastalardakinden daha yüksek oranda objektif (sırasıyla %12 ve %4) ve subjektif (sırasıyla %7 ve %1) işitme kaybı gözlenmiştir. Bu hastalardan tümüne, indüksiyon tedavisinin (neoadjuvan tedavinin) ve/veya idame (adjuvan) kemoterapinin bir bölümü olarak toplam 480 mg/msisplatin verilmişti.
Kardiyak ve vasküler hastalıklar
Hafif-orta şiddette taşikardi (%50), hipertansiyon (%26) ve hipotansiyon (%29), kontrol gruplarına yer verilmeyen mifamurtid çalışmalarında sık bildirilmiştir. Erken dönemdeki çalışmalar sırasında hastaların birinde, ciddi subakut tromboz gelişmiştir ama büyük, kontrollü, randomize çalışmada ciddi herhangi bir kardiyak olay görülmemiştir (Bkz bölüm 4.4)
Solunum, göğüs bozuklukları ve mediastinal hastalıklar
Dispne (%21), öksürük (%18) ve takipne (%13) dahil solunum semptomları çok sık bildirilmiş ve bir faz II çalışması sırasında, daha önce astımı olan 2 hastada MEPACT tedavisine bağlı olarak hafif-orta şiddette solunum güçlüğü gözlenmiştir.
Gastrointestinal hastalıklar
Hastaların yaklaşık yarısında %57'sinde bulantı ve %44'ünde kusma; kabızlık (% 17), ishal (%13) ve karın ağrısı, mifamurtid tedavisine sıklıkla eşlik etmiştir (Bkz bölüm 4.4)
Deri ve deri altı dokusu hastalıkları
Kontrol gruplarına yer verilmeyen çalışmalar sırasında mifamurtid kullanan hastalarda çok sık (%11) hiperhidroz bildirilmiştir.
Kas-iskelet bozuklukları, bağ dokusu ve kemik hastalıkları
MEPACT tedavisi altındaki hastalarda miyalji (%31), sırt ağrısı (%15), ekstremite ağrısı (%12) ve eklem ağrısını (%10) içeren fazla şiddetli olmayan ağrılar çok yaygın olarak bildirilmiştir.
Genel bozukluklar ve uygulama bölgesine ilişkin hastalıklar
Şiddetli titreme, ateş ve bitkinlik, hastaların büyük bölümünde (sırasıyla %89, %85 ve
%53'ünde) görülür. Tipik olarak hafif-orta şiddette, geri dönüşlü olan bu advers olaylar, palyatif tedaviye (örneğin ateşi düşürmek amacıyla parasetamol kullanılmasına) genellikle
yanıt verir. Hipotermi (%23), kırıklık (%13), ağrı (%15), asteni (%13) ve göğüs ağrısı (%11), yine tipik olarak hafif-orta şiddette olan ve hastalarda çok yaygın olarak gözlenen diğer genel semptomlardır. Ödem, göğüste rahatsızlık hissi, lokal infüzyon veya kateter yeri reaksiyonları ve üşüme hissi bu hastalarda daha seyrek görülmüş ve daha çok, ileri evre maligniteye eşlik etmiştir.
Laboratuar bulguları
Faz II çalışmada, kayıt sırasında kreatinin seviyesi yüksek olan osteosarkomlu bir hastada
mifamurtid tedavisine kan, üre ve kan kreatinin düzeylerinde yükselme eşlik etmiştir.
Bağışıklık sistemi bozuklukları
Bir faz I çalışmasında 6mg/mdoz seviyesinde mifamurtidin ilk infüzyonundan sonra ciddi alerjik reaksiyon rapor edilmiştir. Hasta titreme, üşüme, ateş, bulantı, kusma, kontrol edilemeyen öksürük, nefes darlığı, dudaklarda siyanoz, sersemlik, zafiyet, hipotansiyon, taşikardi, hipertansiyon ve hipotermi geçirerek çalışmadan çıkmak zorunda kalmıştır. Ayrıca faz III çalışmasında bir adet 4.derece alerjik reaksiyon (hipertansiyon) rapor edilmiştir (bkz bölüm 4.4)
Şüpheli advers reaksiyonların raporlanması
Ruhsatlandırma sonrası şüpheli ilaç advers reaksiyonlarının raporlanması büyük önem taşımaktadır. Raporlama yapılması, ilacın yarar/risk dengesinin sürekli olarak izlenmesine olanak sağlar. Sağlık mesleği mensuplarının herhangi bir şüpheli advers reaksiyo nu Türkiye Farmakovijilans Merkezi (TÜFAM)'ne bildirmeleri gerekmektedir (www.titck.gov.tr; e- posta: tufam@titck.gov.tr; tel: 0 800 314 00 08; faks: 0 312 218 35 99)
4.9. Doz aşımı ve tedavisi
Faz I çalışmalarında tolere edilen en yüksek doz, 4-6 mg/marasındadeğişmiş ve bu dozlar kullanıldığında, ileri derecede çeşitli advers reaksiyonlar bildirilmiştir. Ateş, şiddetli titreme, bitkinlik, bulantı, kusma, baş ağrısı ve hipotansiyon ya da hipertansiyon; yüksek dozlara eşlik eden ve/veya doz sınırlanmasına neden olan; ancak hiçbiri yaşamı tehdit eden belirti ve semptomlar olmamıştır.
Sağlıklı yetişkin bir gönüllü kazara tek doz 6.96 mg mifamurtid almış ve tedaviyle ilişkili olan geri dönüşlü ortostatik hipotansiyon olayı yaşamıştır.
Doz aşımı durumunda uygun destek tedavisinin başlatılması önerilir. Uygulanacak destek tedavisi, sağlık kurumunda geçerli kılavuza ve gözlenen klinik semptomlara bağlıdır. Örneğin ateş, şiddetli titremeler ve baş ağrısı için parasetamol; bulantı ve kusma için steroid hariç anti-emetikler verilebilir.
9 mg/mL (% 0.9) enjeksiyonluk sodyum klorür çözeltisi içeren torbanın, iğnenin batırılacağı alanı alkollü bir ped ile silinmelidir.
5. FARMAKOLOJİK ÖZELLİKLER
5.1. Farmakodinamik özellikler
Farmakoterapötik grup: İmmünostimülanlar, diğer immünostimülanlar ATC kodu: L03AX15
Etki mekanizması:
Mifamurtid (muramil tripeptid fosfatidil etanolamin, MTP-PE), Mycobacterium suşlarının hücre duvarının en küçük doğal bağışıklık uyarıcı bileşeni olan muramil dipeptid (MDP)'in tam sentetik bir türevidir. Doğal muramil dipeptid (MDP) ile benzer immünostimülatör etkilere sahiptir. MEPACT, intravenöz infüzyon yoluyla makrofajları in vivo olarak hedef almak üzere özellikle tasarlanmış lipozomal bir formülasyondur.
Farmakodinamik etkiler
MTP-PE, öncelikle monositlerde, dendritik hücrelerde ve makrofajlarda bulunan NOD2 reseptörünün spesifik bir ligandı ve monositlerle makrofajların güçlü bir aktivatörüdür. İnsan makrofajlarının MEPACT ile aktivasyonuna; tümör nekroz faktörü alfa (TNF-α), interlökin-1 (IL-1β), IL-6, IL-8, ve IL-12 dahil sitokinlerin ve LFA-1 (lenfosit fonksiyonunun eşlik ettiği antijen-1) ve ICAM-1 (hücre-içi adezyon molekülü) gibi adezyon moleküllerinin üretilmesi eşlik eder. In vitro MEPACT'a maruz bırakılan insan monositleri; allojenik ve otolog tümör hücrelerini (melanoma, over, kolon ve renal karsinoma hücreleri dahil) öldürmüş, ancak normal hücrelerde toksik etki göstermemiştir.
In vivo MEPACT verilmesi; fare ve sıçanlardaki akciğer metastazı, deri ve karaciğer kanseri ve fibrosarkom modellerinde tümör büyümesini inhibe etmiştir. Adjuvan tedavi olarak MEPACT kullanılan köpeklerdeki hemanjiyosarkomda ve osteosarkomda hastalıksız sağkalım süresinin anlamlı şekilde uzadığına tanık olunmuştur. MEPACT tedavisinin hayvanlarda ve insanlarda monositlerin ve makrofajların aktivasyonunun hangi mekanizmayla anti-tümör aktivite sağladığı henüz bilinmemektedir.
Klinik güvenlilik ve etkililik:
Liposomal mifamurtidin güvenliliği, çeşitli türlerde ve evrelerde kanserleri olan >700 hastada ve sağlıklı, erişkin 21 denekte değerlendirilmiştir (bkz. bölüm 4.8).
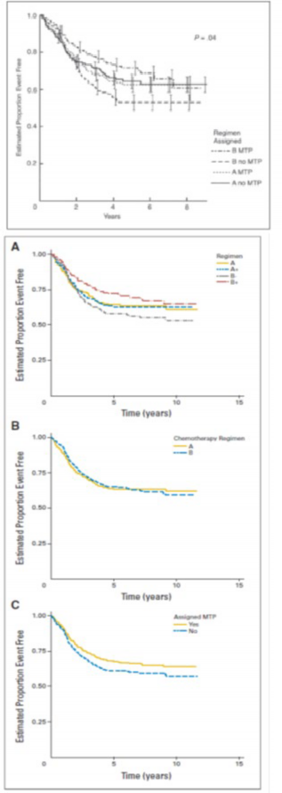
MEPACT kemoterapi ile birlikte kullanıldığında; yeni tanı konulmuş, rezeksiyonu mümkün, yüksek evreli osteosarkom hastalarında sağkalımı, yalnızca kemoterapiyle karşılaştırıldığın da anlamlı şekilde uzatmıştır.
Yaşları 1.4-30.6 arasında değişen ve yeni tanı konulmuş, rezeksiyonu mümkün, yüksek evreli osteosarkomu olan 678 hastadaki randomize bir faz III çalışmasında; ifosfamidle birlikte ya da ifosfamid olmaksızın doksorubisin, sisplatin ve metotreksat kombinasyon tedavisine yardımcı (adjuvan) olarak MEPACT ilave edilmesi, 6 yıllık genel sağkalımı anlamlı ölçüde uzatmış ve ölüm riskinde %28 nispi azalmayla sonuçlanmıştır (p = 0.0313, tehlike oranı (TO)
= 0.72 [%95 Güven aralığı(GA): 0.53, 0.97]).
1, 5, 6 yıl için genel sağkalım verileri (1 yıl verileri tam olmadığından grafik yalnızca 5 ve 6 yıl verilerini göstermektedir)
Şekil a. Genel Sağkalım: 2006 (sol) ve 2007 (sağ) veri setleri (ITT Hastaları)

Tablo a. Genel Sağkalım: 2003, 2006 ve 2007 veri setleri (ITT popülasyonu)
| ||||||||||||
|
|
|
|
|
|
|
|
| ||||
Hastalıksız sağkalım (HS) analizinde, ara çalışma sonlanım noktası, nüksetme veya ölüm riskinde %20-25'lik azalma ile benzer şekilde zaman içinde tutarlılık gösterir (Tablo b.).
Tablo b. Hastalıksız Sağkalım: 2003, 2006 ve 2007 veri setleri
| ||||||||||||
|
|
|
|
|
|
|
|
| ||||
MEPACT | 340 | --- | 1.00 | --- | 340 | --- | 1.00 | --- | 340 | --- | 1.00 | --- |
olma dan | (126) |
|
|
| (133) |
|
|
| (133) |
|
|
|
MEPACT | 338 | 0.0245 | 0.74 | (0.57, | 338 | 0.0623 | 0.78 | (0.61, | 338 | 0.0586 | 0.78 | (0.61, |
ile | (102) |
|
| 0.96) | (107) |
|
| 1.01) | (107) |
|
| 1.01) |
5. Yıl Analizi
|
|
|
|
6. Yıl Analizi
|
|
Pediyatrik popülasyon:
Hastalığın prevalansına göre, pivotal denemede çocuklar ve genç yetişkinler üzerinde çalışılmıştır. Ancak, 18 yaş altı hastalar için ve 18 yaş ve üzeri hastalar için spesifik alt küme etkililik analizleri mevcut değildir.
5.2. Farmakokinetik özellikler
Genel özelliklerMifamurtidin farmakokinetiği sağlıklı yetişkin deneklerde 4 mg intravenöz infüzyondan sonra ve osteosarkomu olan çocuk ve yetişkin hastalarda 2 mg/mintravenöz infüzyondan sonra tanımlanmıştır.
21 sağlıklı yetişkin denekte mifamurtid 2,05 ± 0,40 saat yarı-ömürle serumdan (dakikalar içinde) hızla temizlenmiş, sonuçta serumda çok düşük miktarda toplam (lipozomal ve serbest) mifamurtid kalmıştır. Ortalama EEA (eğri altındaki alan) 17,0 ± 4,86 h x nM ve Cmaks (maksimum konsantrasyon) 15,7 ± 3,72 nM olmuştur.
Yaşları 6 ile 39 arasında değişen 28 osteosarkom hastasında serumdaki toplam (lipozomal ve serbest) mifamurtid konsantrasyonları ortalama 2,04 ± 0,456 saat yarı-ömürle süratle gerilemiştir. BSA normalize klerensi ve yarı-ömrü yaş aralığında buna benzer biçimde olmuştur ve önerilen dozun 2 mg/molduğu sağlıklı yetişkin deneklerden alınan sonuçlarla birbirini tutmaktadır.
14 hastayla yapılan başka bir çalışmada, MEPACT'ın ilk infüzyonundan ve 11 veya 12 hafta sonraki son bir infüzyondan sonra değerlendirilen toplam ve serbest mifamurtidin ortalama serum konsantrasyonu-zaman eğrileri, neredeyse üzerine eklenebilir miktardadır ve serbest mifamurtidin ilk ve son infüzyondan sonraki ortalama EEA değerleri de buna benzer olmuştur. Bu veriler ne toplam ne de serbest mifamurtidin tedavi süresi içinde birikmediğini göstermektedir.
Emilim:
Geçerli değildir. Dağılım:
1 mg mifamurtid içeren radyoaktif işaretli lipozomların enjeksiyonundan 6 saat sonra,
karaciğer, dalak, nazofarenks, tiroit ve daha az miktarda da akciğerde radyoaktivite bulunmuştur. Lipozomlar retiküloendoteliyal sistem hücreleri tarafından fagositoza uğramıştır. Akciğer metastazlı 4 hastadan 2'sinde, radyoaktivite akciğer metastazında bulunmuştur.
Biyotransformasyon
İnsanlarda, mifamurtid (L-MTP-PE)'nin metabolizması çalışılmamıştır, ancak osteosarkomlu hastalarda 4 adet faz I klinik çalışma (Protokol 02, MTP-OS-402, C23001, ve C23002 ) ve 1 adet insani amaçlı erken erişim çalışması (Çalışma MTP-OS-403) ile mifamurtidin farmakokineniği karakterize edilmiş ve ilacın özelliklerindeki değişkenlik kaynaklarının (yaş, renal fonksiyon, hepatik fonksiyon) anlaşılması amaçlanmıştır. Ayrıca, Protokol 02'de muramil tripeptid fosfatidil etanolamin (MTP-PE) içeren teknesyum-99 (99mTc) işaretli lipozomlar karakterize edilmiştir ve sonuçlar retiküloendotelyal sistem dokularına dağılımı ve dolayısıyla etki mekanizmasını desteklemektedir. Bu çalışmalar birlikte, renal yetmezlik (C23001) ve hepatik yetmezlik (C23002) etkileri de dahil olmak üzere mifamurtidin klinik farmakolojisi üzerine kapsamlı bir değerlendirme sağlar. Kollektif sonuçlar göstermektedir ki:
mifamurtidin osteosarkomlu hastalardaki farmakokinetik parametreleri, sağlıklı yetişkin gönüllülerde gözlemlenenlerle uyumludur; orteosarkom hasta popülasyonunda yaş ile vücut yüzey alanı (VYA)-normalize klerensi arasında belirgin bir ilişki yoktur; ve 2 mg/m2'lik ortak bir VYA bazlı doz desteklenmektedir. Önemli olarak, hafif ila orta şiddette hepatik veya renal yetmezliği olan deneklere mifamurtid verilmesi mifamurtidin farmakokinetiği üzerinde anlamlı etkiler oluşturmamıştır ve bu özel hasta popülasyonları için başlangıç dozunun ayarlanmasına gerek yoktur.
Eliminasyon:
Mifamurtid içeren radyoaktif-işaretli lipozomların enjekte edilmesinden sonra, radyoaktif işaretli maddenin ortalama yarı-ömrü bir α fazıyla 15 dakika civarı bifazik olmuş ve termin al yarı-ömür yaklaşık 18 saat olmuştur.
Yetişkin gönüllülere 4 mg dozda lipozomal mifamurtid intravenöz infüzyonundan sonra muramil tripeptid fosfatidil etanolamin (MTP-PE)'nin idrardaki konsantrasyonları tayin limitinin altında çıkmıştır. Bu nedenle muramil tripeptid fosfatidil etanolamin (MTP-PE)'n in renal klerensi ihmal edilebilir.
Muramil tripeptid fosfatidil etanolamin (MTP-PE)'nin spesifik eliminasyon yolağı araştırılmamıştır. Yukarıda bahsi geçen radyoaktif işaretleme çalışmasında teknesyum-99 işaretli lipozomlar kullanılmıştır. Böylece, muramil tripeptid fosfatidil etanolamin (MTP- PE)'nin eliminasyon yolağı karakterize edilmemiştir. İki çalışmada 4 mg dozdan sonra muramil tripeptid fosfatidil etanolamin (MTP-PE)'nin idrardaki konsantrasyonu tayin limitinin altında olduğundan renal klerensi ihmal edilebilir.
Hastalardaki karakteristik özellikler
Renal yetmezlik
Tek bir 4 mg'lık mifamurtid dozunun 1 saatlik intravenöz infüzyondan sonraki farmakokinetiği hafif (n=9) veya orta derecede (n=8) böbrek yetmezliği olan yetişkin gönüllülerde ve aynı yaş, cinsiyet ve ağırlık özelliklerinde olan normal böbrek f onksiyonlu sağlıklı yetişkinlerde değerlendirilmiştir (n=16). Hafif (50 ml/dak ≤ CLcr ≤80 ml/dak) veya orta derecede (30 ml/dak ≤ kreatinin klerensi [CLcr] < 50 ml/dak) böbrek yetmezliğinin normal böbrek fonksiyonlu (CLcr > 80 ml/dak) sağlıklı deneklerde gözlenenlerle karşılaştırıldığında toplam muramil tripeptid fosfatidil etanolamin (MTP-PE) klerensi üzerinde bir etkisi olmamıştır. Ayrıca, hafif veya orta şiddette renal yetmezlikte serbest (lipozomla bağlantılı olmayan) muramil tripeptid fosfatidil etanolamin (MTP-PE)'nin sistemik maruziyetleri sıfırdan sonsuza kadar eğri altındaki alan (EEAsonsuz), normal renal fonksiyonu olan sağlıklı yetişkin deneklerde gözlenenler ile benzer idi.
Hepatik yetmezlik
1 saatlik intravenöz infüzyonun ardından tek dozluk 4 mg mifamurtidin farmakokinetiği, hafif (Child Pugh sınıf A; n=9) veya orta şiddette (Child Pugh sınıf B; n=8) hepatik yetmezliği olan yetişkin gönüllüler ile yaş, cinsiyet ve kilo bakımından aynı olan normal hepatik f onksiyon (n=19) gösteren sağlıklı yetişkinlerde incelendi. Total muramil tripeptid fosfatidil etanola min (MTP-PE)'nin sistemik maruziyeti (EEAsonsuz) üzerinde hafif hepatik yetmezliğin herhangi bir etkisi olmamıştır. Orta şiddette hepatik yetmezlik ise, total muramil tripeptid fosfatidil etanolamin (MTP-PE)'nin EEAsonsuz'unda küçük bir artışa yol açmış, normal hepatik fonksiyon grubuna nazaran orta şiddette hepatik yetmezliğin geometrik en küçük kare oranı
%119 (%90 güven aralığı [GA]: %94.1-%151) olmuştur. Orta şiddette hepatik yetmezlik grubunda farmakokinetik değişkenlik daha yüksek olmuştur. Sistemik maruziyetteki değişkenlik katsayısı [EEAsonsuz], diğer hepatik fonksiyon gruplarındaki <%30'a karşılık
%50 olmuştur.
Hafif hepatik yetmezlikte total ve serbest muramil tripeptid fosfatidil etanolamin (MTP- PE)'nin ortalama yarı-ömürleri sırasıyla 2.02 saat ve 1.99 saat şeklinde gerçekleşmiş olup bu değerler normal hepatik fonksiyon gösteren deneklerinki (sırasıyla 2.15 saat ve 2.26 saat) ile benzerdir. Orta şiddette hepatik yetmezlikte total ve serbest MTP-PE'nin ortalama yarı- ömürleri sırasıyla 3.21 saat ve 3.15 saattir. Ayrıca, hafif ve orta şiddette hepatik yetmezlikte serbest (lipozomla ilgili olmayan) muramil tripeptid fosfatidil etanolamin (MTP-PE)'nin geometrik ortalama plazma EEAsonsuz'u, karşılaştırma yapılan normal hepatik fonksiyon gruplarından %47 daha yüksek çıkmıştır. Mifamurtid'in maksimum tolere edilebilir dozu (4-6 mg/m2), tavsiye edilen dozun (2 mg/m2) 2-3 katı olduğu için bu değişiklikler klinik olarak anlamlı değildir.
5.3. Klinik öncesi güvenlilik verileri
Duyarlı hayvan türlerinde (tavşan ve köpek) advers etkilere yol açmayan, en yüksek günlük mifamurtid dozunun 0.1 mg/kg (sırasıyla 1.2 ve 2 mg/ m) olduğu bulunmuştur. MEPACT'ın hayvanlardaki herhangi bir advers etkiye yol açmayan düzey değerinin kabaca, insanlarda önerilen terapötik doza (2 mg/m) takabül ettiği hesaplanmıştır.
Köpeklerde her gün intravenöz olarak 0.5 mg/kg'a (10 mg/m) varan MEPACT verilerek yapılan bir çalışma klinik toksisite açısından, insanlarda kullanılması amaçlanan doza eşlik edenin 8-19 katı kümülatif maruziyet güvenlilik sınırı konusunda bilgi sağlamıştır. Her gün verilen yüksek ve kümülatif dozlarda başlıca toksisite olarak öncelikle aşırı artmış farmakolojik etkiler: ateş, kendisini sinovit, bronkopnömoni, perikardit ve karaciğerle kemik iliğinin inflamatuvar nekrozu gibi belirtilerle gösteren belirgin inflamatuar cevaptır. Ayrıca, şu olaylar da gözlenmiştir: kanama ve pıhtılaşma zamanlarının uzaması, infarktüsler, küçük arterlerin duvarlarında morfolojik değişiklikler, merkezi sinir sisteminde ödem ve konjestiyon, minör kardiyak etkiler ve hafif hiponatremi. MEPACT, sıçanlarda ve tavşanlarda mutajen etki göstermemiş ve teratojen etkilere yol açmamıştır. Embriyotoksik etkiler yalnızca anne için toksik olan dozlarda görülmüştür.
Genel toksisite çalışmalarında erkek veya dişi üreme organlarında zararlı etkiler görüldüğü izlenimini veren herhangi bir sonuç elde edilmemiştir. Üreme fonksiyonu, perinatal toksisite ve karsinojen potansiyel konusunda spesifik çalışmalar yapılmamıştır.
50 mL, 9 mg/mililitrelik (% 0.9) enjeksiyonluk sodyum klorür çözeltisi; iğne ve enjektör kullanılarak torbadan çekilmelidir.
6. FARMASÖTİK ÖZELLİKLER
6.1. Yardımcı maddelerin listesi
1-Palmitoil-2-oleoil-sn-glisero-3-fosfokolin (POPC)
1,2-Dioleoil-sn-glisero-3-fosfo-L-serin monosodyum tuzu (OOPS)
6.2. Geçimsizlikler
Bu ilaç, bölüm 6.6'da belirtilenler dışında başka ilaçlarla karıştırılmamalıdır.
6.3. Raf ömrü
Açılmamış toz flakon 36 ay
Kullanıma hazırlanmış süspansiyon:
Süspansiyonun, 25ºC'ye kadar olan sıcaklıklarda kimyasal ve fiziksel bakımdan 6 saat stabil
olduğu gösterilmiştir.
Mikrobiyolojik açıdan, süspansiyonun hazırlandıktan sonra hemen kullanılması önerilir. Kullanıma hazırlanan, süzülen ve seyreltilen solüsyon hemen kullanılmazsa, bunun kullanım öncesindeki saklama süreleri ve koşulları, 25ºC'de 6 saati aşmamalıdır. Solüsyonu buzdolabında saklamayınız ve dondurmayınız.
6.4. Saklamaya yönelik özel tedbirler
Açılmamış toz flakon 2-8ºC'de buzdolabında saklanmalıdır. Dondurulmamalıdır. Işıktan korumak için flakon dış karton kutusunda saklanmalıdır.
İlacın kullanıma hazırlandıktan sonraki saklama koşulları için bkz. bölüm 6.3.
6.5. Ambalajın niteliği ve içeriği
Gri renkte butil kauçuk tıpası, alüminyum bileziği ve flip-off kapağı bulunan, 4 mg mifamurtid içeren 50 mililitrelik tip I cam flakon
Her kutu, 1 adet flakon ve MEPACT'ın filtre edilmesi için 1 adet tek-kullanımlık, pirojensiz PVC blister ambalajda sunulan steril filtre içerir.
6.6. Beşeri tıbbi üründen arta kalan maddelerin imhası ve diğer özel önlemler
Kullanılmamış olan ürünler ya da atık materyaller ‘Tıbbi Atıkların Kontrolü Yönetmeliği' ve ‘Ambalaj Atıklarının Kontrolü Yönetmeliği'ne uygun olarak imha edilmelidir.
Kullanıma hazırlama
MEPACT kullanılmadan önce, rekonstitüe edilmeli, beraberinde verilen filtre kullanılarak
süzülmeli ve aseptik teknikle seyreltilmelidir.
Her flakon, 50 mL sodyum klorür 9 mg/mL (% 0.9) enjeksiyonluk çözelti ile kullanıma hazırlanır. Kullanıma hazırlandıktan sonra flakondaki her bir mililitre süspansiyon, 0 .08 mg mifamurtid içerir. Kullanıma hazırlanan süspansiyonun, hesaplanan doza karşılık gelen hacmi filtreden geçirilip, aşağıda gösterilen ayrıntılı talimat uyarınca, ilave 50 mL sodyum klorür 9 mg/mL (% 0.9) enjeksiyonluk çözelti kullanılarak tekrar seyreltilir.
Kullanıma hazırlanan, süzülen ve seyreltilen infüzyonluk süspansiyon; görülen partikül, köpük ve lipid topakları içermeyen, homojen, beyaz veya beyazımsı renkte, opak lipozomal süspansiyondur. MEPACT'ın intravenöz infüzyon için hazırlanma talimatı
Her ambalajda bulunan malzeme
MEPACT infüzyonluk dispersiyon konsantresi için toz (flakon)
İğneyi enjektörden ayırdıktan sonra enjektör, filtredeki luer bağlantı kapağı açılarak, filtreye takılmalıdır (Şekil 1).

Şekil 1
Astım
Astımlı kişilerin akciğerlerindeki hava boruları (bronşlar) hassastır. Bu kişiler belirli tetikleyici faktörlere maruz kaldıklarında, hava boruları nefes almalarını güçleştirecek şekilde daralır. |
Dış Gebelik
Dış gebelik, her 100 gebelikten birini etkileyen, sık görülen ve ölüme sebep
olabilecek bir durumdur. Bu, döllenen yumurta, rahimin dışına yerleşirse, oluşan
bir durumdur. Gebelik ilerledikçe, ağrıya ve kanamalara sebep olur. |
![]() |
Ruh ve Akıl Sağlığımızı Geliştirmek İyi akıl ve ruh sağlığı sahip olmaktan ziyade, yaptığınız şeylerdir. Akıl ve ruhsal olarak sağlıklı olmak için kendinize değer vermeli ve kendinizi kabul etmelisiniz. |
![]() |
Pankreas Kanseri Pankreas karnın alt kısmında yatay şekilde bulunan bir organdır. Sindirime yardımcı olan enzimleri ve kan şekerini yönetmeye yardımcı olan hormonları vücuda dağıtmakla görevlidir. |
![]() |
Tiroid Kanseri En sık görülen tiroid kanseri türü olan papiller tiroid kanseri, tüm tiroid kanserlerinin yaklaşık %70'ini oluşturur. |
İLAÇ GENEL BİLGİLERİ
Takeda İlaçları ve Ticaret Ltd.Şti.
| Geri Ödeme Kodu | A16228 |
| Satış Fiyatı | 135017.49 TL [ 4 May 2026 ] |
| Önceki Satış Fiyatı | 135017.49 TL [ 27 Apr 2026 ] |
| Original / Jenerik | Original İlaç |
| Reçete Durumu | Normal Reçeteli bir ilaçdır. |
| Barkodu | 8699456790041 |
| Etkin Madde | Mifamurtid |
| ATC Kodu | L03AX15 |
| Birim Miktar | 4 |
| Birim Cinsi | MG |
| Ambalaj Miktarı | 1 |
| Antineoplastik ve İmmünomodülatör Ajanlar > İmmünostimülan İlaçlar > Mifamurtide |
| İthal ( ref. ülke : Almanya ) ve Beşeri bir ilaçdır. |






