ABYGA 500 mg film kaplı tablet (60 tablet) Kısa Ürün Bilgisi
{ Abirateron }
1. BEŞERİ TIBBİ ÜRÜNÜN ADI
ABYGA 500 mg film kaplı tablet
2. KALİTATİF VE KANTİTATİF BİLEŞİM
Her bir film kaplı tablet:
Etkin madde
Abirateron asetat 500 mg
Yardımcı maddeler
Laktoz monohidrat (inek sütü kaynaklı) 397,3 mg Kroskarmelloz sodyum 85,8 mg Sodyum lauril sülfat 57,2 mg
Yardımcı maddeler için bölüm 6.1'e bakınız.
3. FARMASÖTİK FORMU
Film kaplı tablet
Mor renkli, oval biçimli bikonveks, tablet
4. KLİNİK ÖZELLİKLER
4.1. Terapötik endikasyonlar
ABYGA, prednizolon ile birlikte aşağıdaki durumların tedavisinde endikedir,
Hormonal tedaviye duyarlı ancak kemoterapi için uygun olmayan* metastatik prostat kanserli hastalarda progresyona kadar
4.2. Pozoloji ve uygulama şekli
Pozoloji, uygulama sıklığı ve süresi:Bu tıbbi ürün uygun bir sağlık mesleği mensubu tarafından reçete edilmelidir.
ABYGA günde tek seferde 1.000 mg (iki adet 500 mg tablet) olarak yutulmalı ve yiyeceklerle birlikte alınmamalıdır (uygulama şekli bölümüne bakınız). ABYGA'nın yiyeceklerle birlikte alınması ilaca sistemik maruziyeti arttırır (bkz. Bölüm 4.5 ve 5.2).
Prednizolon dozu
ABYGA, metastatik hormona duyarlı prostat kanserli hastalarda günde 5 mg prednizolon ile birlikte kullanılır.
ABYGA, metastatik kastrasyona dirençli prostat kanserli hastalarda günde 10 mg prednizolon ile birlikte kullanılır.
Cerrahi kastrasyon uygulanmamış hastalarda tedavi sırasında luteinizan hormon serbestleyici hormon (LHRH) analoğu ile tıbbi kastrasyona devam edilmelidir.
Önerilen izlem
ABYGA ile tedaviye başlamadan önce serum transaminaz düzeyleri ölçülmelidir; tedavinin ilk üç ayında iki haftada bir, daha sonra ayda bir bu testler tekrarlanmalıdır. Hastalar kan basıncı, serum potasyumu ve sıvı retansiyonu açısından aylık olarak izlenmelidir. Bununla birlikte, konjestif kalp yetmezliği açısından anlamlı bir risk taşıyan hastalar tedavinin ilk 3 ayı boyunca iki haftada bir, daha sonra ise ayda bir kere izlenmelidir (bkz. Bölüm 4.4).
Daha önceden hipokalemisi olan ya da ABYGA tedavisi sırasında hipokalemi gelişen hastalarda, hastanın potasyum düzeyinin 4 mM ve üzerinde tutulması değerlendirilmelidir.
Hipertansiyon, hipokalemi, ödem ve diğer mineralokortikoid dışı toksisiteler dahil olmak üzere, Derece 3 ve üzerinde toksisite gelişen hastalarda, tedavi durdurulmalı ve uygun tıbbi tedaviye başlanmalıdır. Toksisite semptomları Derece 1 ya da başlangıç düzeyine dönünceye kadar ABYGA tedavisine yeniden başlanmamalıdır.
ABYGA veya prednizolonun günlük dozunun alınmasının unutulması durumunda, tedaviye ertesi gün olağan günlük dozla devam edilmelidir.
Uygulama şekli:
ABYGA ağızdan alınır.
ABYGA, yemeklerden en az 1 saat önce ya da yemekten en az 2 saat sonra alınmalıdır. Tabletler bütün olarak suyla yutulmalıdır.
Özel popülasyonlara ilişkin ek bilgiler:
Hepatotoksisite
ABYGA tedavisi sırasında hepatotoksisite gelişen hastalarda (alanin aminotransferaz [ALT] veya aspartat aminotransferaz [AST] düzeylerinin normal kabul edilen üst sınırın 5 katından fazla yükselmesi) tedavi hemen durdurulmalıdır (bkz. Bölüm 4.4). Karaciğer fonksiyon testleri tedaviye başlamadan önceki başlangıç değerlerine döndükten sonra tedaviye azaltılmış dozla günde 500 mg (bir tablet) olarak başlanabilir. Tedaviye yeniden başlanan bu hastalarda serum transaminaz düzeyleri, tedavinin ilk üç ayında iki haftada bir, daha sonra ise ayda bir ölçülmelidir. Azaltılmış 500 mg'lık günlük dozla da hepatotoksisite tekrarlarsa, tedavi tümüyle kesilmelidir.
Tedavinin herhangi bir döneminde ağır hepatotoksisite gelişmesi durumunda (ALT ya da AST düzeylerinin normal kabul edilen üst sınırın 20 katı kadar yükselmesi) tedaviye hemen son verilmeli ve ABYGA ile yeniden tedavi uygulanmamalıdır.
Karaciğer yetmezliği:
Önceden hafif şiddette karaciğer bozukluğu olan hastalarda (Child-Pugh Sınıf A) doz ayarlamasına gerek yoktur.
Orta şiddette karaciğer yetmezliğinin (Child Pugh sınıf B), abirateron asetatın oral yoldan tek doz halinde 1.000 mg alınması sonrası abiraterona sistemik maruziyeti yaklaşık dört kat arttırdığı gösterilmiştir (bkz. Bölüm 5.2). Orta şiddette veya ağır karaciğer yetmezliği (Child- Pugh sınıf B veya C) olan hastalarda abirateron asetatın birden fazla dozunun klinik güvenlilik ve etkililiğini gösteren bir veri bulunmamaktadır. Bu tür hastalarda doz ayarlaması öngörülemez. ABYGA kullanımı faydanın olası riskten açıkça ağır bastığı, orta şiddette karaciğer yetmezliğine sahip hastalarda dikkatle değerlendirilmelidir (bkz. Bölüm 4.2 ve 5.2). ABYGA şiddetli karaciğer yetmezliği olan hastalarda kullanılmamalıdır (bkz. Bölüm 4.3, 4.4 ve 5.2).
Böbrek yetmezliği:
Böbrek yetmezliği olan hastalarda doz ayarlamasına gerek yoktur (bkz. Bölüm 5.2). Ancak prostat kanserli ağır böbrek yetmezliği olan hastalarda klinik deneyim bulunmamaktadır. Bu tür hastalarda dikkatli olunması tavsiye edilmektedir (bkz. Bölüm 4.4).
Pediyatrik popülasyon:
Pediyatrik popülasyonda prostat kanseri görülmediğinden ABYGA'nın çocuklarda ve adolesanlarda kullanımı bulunmamaktadır.
Geriyatrik popülasyon:
Yaşlı hastalarda herhangi bir doz ayarlaması gerekmemektedir.
4.3. Kontrendikasyonlar
Abirateron asetata veya bölüm 6.1'de listelenen herhangi bir yardımcı maddeye karşı aşırı duyarlılık varsa,
4.4. Özel kullanım uyarıları ve önlemleri
Mineralokortikoid fazlalığına bağlı hipertansiyon, hipokalemi, sıvı retansiyonu ve kalp yetmezliği
Abirateron asetat, CYP17 inhibisyonu sonucunda (bkz. Bölüm 5.1) artan mineralokortikoid düzeylerinin bir sonucu olarak hipertansiyon, hipokalemi ve sıvı retansiyonuna (bkz. Bölüm 4.8) yol açabilir. Abirateron asetat ile birlikte kortikosteroid uygulanması, adrenokortikotropin hormon (ACTH) salgılanmasını baskılayarak bu advers etkilerin görülme sıklığı ve şiddetinde bir azalma sağlar. Kan basıncının yükselmesi, hipokalemi (örneğin kardiyak glikozidleri kullanan hastalar) veya sıvı retansiyonu (örneğin kalp yetmezliği olan hastalar, ağır veya unstabil anjina pektoris, yakın zamanda miyokard infarktüsü veya ventriküler aritmi ve ağır böbrek yetmezliği) nedeniyle altta yatan tıbbi durumu risk altına girebilecek hastalar tedavi edilirken dikkatli olunmalıdır.
ABYGA kardiyovasküler hastalık öyküsü olan hastalarda dikkatle kullanılmalıdır. Hipertansiyonu kontrol altına alınamayan, miyokard infarktüsüyle ortaya çıkmış klinik açıdan anlamlı kalp hastalığı olan, son 6 ayda arteriyel trombotik olay geçirmiş olan, ağır ya da unstabil anjinası olan, New York Kalp Cemiyeti (NYHA) Sınıf III ve IV kalp yetmezliği olan (çalışma 301) ya da Sınıf II'den IV'e kalp yetmezliği (çalışma 3011 ve 302) olan ya da kardiyak ejeksiyon fraksiyonu % 50'nin altında olan hastalar Faz 3 çalışmalara dahil edilmemiştir. Medikal terapi gerektiren atriyal fibrilasyonu veya diğer kardiyak aritmisi olan hastalar çalışma 3011 ve 302'den çıkarılmıştır. Sol ventrikül ejeksiyon fraksiyonu (LVEF) % 50'nin altında olan hastalar ya da New York Kalp Cemiyeti (NYHA) Sınıf III ve IV kalp yetmezliği olan (çalışma 301'de) ya da NYHA Sınıf II'den IV'e kalp yetmezliği (çalışma 3011 ve 302) olan hastalarda güvenlilik değerlendirilmemiştir (bkz. Bölüm 4.8 ve 5.1).
Konjestif kalp yetmezliği açısından anlamlı risk taşıyan hastaların tedavi edilmesinden önce (örneğin, kalp yetmezliği, kontrol altına alınamayan hipertansiyon ya da iskemik kalp hastalığı gibi kalp olayları), kalp fonksiyonunun bir değerlendirmesinin yapılması düşünülmelidir (örneğin, ekokardiyogram). ABYGA ile tedaviden önce, kalp yetmezliği tedavi edilmeli ve kalp fonksiyonu optimuma çıkarılmalıdır. Hipertansiyon, hipokalemi ve sıvı retansiyonu düzeltilmeli ve kontrol altına alınmalıdır. Tedavi sırasında, 3 ay süreyle 2 haftada bir ve daha sonra ayda bir kere olmak üzere kan basıncı, serum potasyum, sıvı retansiyonu (kilo artışı, periferik ödem) ve diğer konjestif kalp yetmezliği bulgu ve belirtileri izlenmeli ve anormallikler düzeltilmelidir. Abirateron asetat ile ilişkili hipokalemi görülen hastalarda QT uzaması gözlenmiştir. Kalp fonksiyonunda klinik olarak anlamlı bir azalma olması durumunda, kalp fonksiyonu klinik endikasyona göre değerlendirilmeli, uygun tedavi başlatılmalı ve ABYGA tedavisinin kesilmesi değerlendirilmelidir (bkz. Bölüm 4.2).
Hepatotoksisite ve karaciğer yetmezliği
Kontrollü klinik çalışmalarda karaciğer enzimlerinde ilacın kesilmesine ya da doz değişikliğine neden olan belirgin artışlar bildirilmiştir (bkz. Bölüm 4.8). ABYGA ile tedaviye başlamadan önce serum transaminaz düzeyleri ölçülmelidir; tedavinin ilk üç ayında iki haftada bir, daha sonra ayda bir bu testler tekrarlanmalıdır. Hepatotoksisitenin klinik belirti veya bulguları görülür görülmez, hemen serum transaminaz düzeyleri ölçülmelidir. Tedavinin herhangi bir yerinde ALT ya da AST düzeyleri normal kabul edilen üst sınırın (NÜS) 5 katından fazla yükselen hastalarda ABYGA tedavisine hemen ara verilmeli ve karaciğer fonksiyonları yakından takip edilmelidir.
ABYGA ile yeniden tedaviye ancak karaciğer fonksiyon testleri başlangıç değerlerine döndüğünde ve azaltılmış dozlarla başlanabilir (bkz. Bölüm 4.2).
Tedavinin herhangi bir döneminde ağır hepatotoksisite gelişmesi durumunda (ALT ya da AST düzeylerinin normal kabul edilen üst sınırın 20 katı kadar yükselmesi) ABYGA tedavisi kesilmeli ve bir daha başlatılmamalıdır.
Klinik çalışmalara aktif veya semptomatik viral hepatiti olan hastalar dahil edilmemiştir; bu nedenle abirateron asetatın bu popülasyonda kullanımını destekleyen bir veri bulunmamaktadır.
Orta şiddette veya ağır karaciğer yetmezliği (Child-Pugh sınıf B veya C) olan hastalarda abirateron asetatın birden fazla dozunun klinik güvenlilik ve etkililiğini gösteren bir veri bulunmamaktadır. Abirateron asetat kullanımı faydanın olası riskten açıkça ağır bastığı, orta şiddette karaciğer yetmezliğine sahip hastalarda dikkatle değerlendirilmelidir (bkz. Bölüm 4.2 ve 5.2). ABYGA şiddetli karaciğer yetmezliği olan hastalarda kullanılmamalıdır (bkz. Bölüm 4.2, 4.3 ve 5.2).
Akut karaciğer yetmezliği ve fulminant hepatit tanımlayan az sayıda pazarlama sonrası rapor mevcuttur. Bunların bazıları ölümle sonuçlanmıştır (bkz. Bölüm 4.8)
Kortikosteroidin geri çekilmesi ve stresli durumların karşılanması
Prednizolon tedavisinin kesilmesi durumunda dikkatli olunması ve adrenokortikal yetmezlik gelişmemesi için hastaların izlenmesi önerilir. Kortikosteroidler kesildikten sonra ABYGA tedavisine devam edilecekse, hastalar mineralokortikoid fazlalığına bağlı semptomlar açısından izlenmelidir (bkz. Bölüm 4.4 Mineralokortikoid fazlalığına bağlı hipertansiyon, hipopotasemi ve sıvı retansiyonu başlığı).
Prednizolon kullanan hastalarda olağan dışı stres ortaya çıktığında, bu stresli durum öncesinde, sırasında ve sonrasında kortikosteroid dozunun arttırılması gerekebilir.
Kemik dansitesi
İleri evre metastatik prostat kanseri olan erkeklerde kemik dansitesinde azalma görülebilir. ABYGA'nın bir glukokortikoid ile birlikte kullanımı bu etkiyi arttırabilir.
Daha önceden ketokonazol kullanımı
Daha önceden prostat kanseri için ketokonazol kullanmış olan hastalarda daha düşük yanıt oranları beklenebilir.
Hiperglisemi
Glukokortikoid kullanımı hiperglisemiyi artırabileceğinden, diyabetli hastalarda kan şekeri sıklıkla ölçülmelidir.
Hipoglisemi
Diyabet hastalığı olup da pioglitazon veya repaglinid alan hastalara abirateron artı prednizon/prenizolon uygulandığında hipoglisemi vakaları bildirilmiştir (bkz. Bölüm 4.5); bu nedenle diyabetli hastalarda kan şekeri takibi yapılmalıdır.
Kemoterapi ile kullanım
ABYGA'nın sitotoksik kemoterapi ile eşzamanlı olarak kullanılmasının güvenliliği ve etkililiği gösterilmemiştir (bkz. Bölüm 5.1).
Potansiyel riskler
ABYGA ile tedavi görenler de dahil, prostat kanseri olan erkeklerde anemi ve cinsel işlev bozukluğu görülebilir.
İskelet kası etkileri
Abirateron asetat ile tedavi gören hastalarda miyopati ve rabdomiyoliz vakaları bildirilmiştir. Bu olayların çoğu tedavinin ilk 6 ayında ortaya çıkmış ve abirateron asetatın kesilmesinden sonra düzelmiştir. Miyopati/rabdomiyoliz ile ilişkili olduğu bilinen ilaçlarla eş zamanlı tedavi gören hastalarda dikkatli olunması önerilir.
Diğer tıbbi ürünler ile etkileşim
Azalmış ABYGA maruziyeti riski nedeniyle, başka bir tedavi seçeneği olmadığı sürece tedavi sırasında güçlü CYP3A4 indükleyicilerinden kaçınılmalıdır (bkz. Bölüm 4.5).
Abirateron ve prednizolonun Ra-223 ile kombinasyonu
Ra-223 ile kombinasyon halinde abirateron ve prednizolon ile tedavi, asemptomatik veya hafif semptomatik prostat kanseri hastalarda yürütülen klinik çalışmalarda gözlendiği üzere artmış kırık riski ve artmış mortalite eğilimi nedeniyle kontrendikedir (bkz. Bölüm 4.3).
ABYGA'nın prednizolon ile kombine kullanıldığı son dozunu takiben en az 5 gün süreyle ardışık tedavide Ra-223 başlanması önerilmemektedir.
Yardımcı maddeler
Bu tıbbi ürün laktoz ihtiva eder. Nadir kalıtımsal galaktoz intoleransı, Lapp laktaz yetmezliği ya da glukoz-galaktoz malabsorbsiyon problemi olan hastaların bu ilacı kullanmamaları gerekir.
Bu tıbbi ürünün iki tabletlik her bir dozu 23,46 mg sodyum ihtiva eder. Bu durum kontrollü sodyum diyetinde olan hastalarda göz önünde bulundurulmalıdır.
4.5. Diğer tıbbi ürünler ile etkileşimler ve diğer etkileşim şekilleri
Yiyeceklerin abirateron asetat üzerindeki etkisi
ABYGA'nın yiyeceklerle birlikte alınması abirateron asetatın emilimini anlamlı derecede arttırır. ABYGA'nın yiyeceklerle birlikte alınması halindeki etkililik ve güvenliliği gösterilmemiştir, bu yüzden ABYGA yiyeceklerle birlikte alınmamalıdır (bkz. Bölüm 4.2 ve 5.2).
4.5. Diğer tıbbi ürünler ile etkileşimler ve diğer etkileşim şekilleri
Diğer ilaçların abirateron maruziyetlerini etkileme potansiyeli
Güçlü bir CYP3A4 indükleyicisi olan rifampisin ile önce 6 gün boyunca günde bir kere 600 mg dozunda tedavi edilen ve takiben tek bir 1.000 mg'lık abirateron asetat dozu verilen sağlıklı gönüllülerde yürütülen bir klinik farmakokinetik etkileşim çalışmasında, ortalama abirateron plazma EAAdeğeri % 55 azalmıştır.
Başka bir tedavi seçeneği olmadığı sürece tedavi sırasında güçlü CYP3A4 indükleyicilerinden kaçınılmalıdır (örneğin; fenitoin, karbamazepin, rifampisin, rifabutin, rifapentin, fenobarbital, St. John's wort (sarı kantaron - Hypericum perforatum).
Sağlıklı gönüllülerde yürütülen ayrı bir klinik farmakokinetik etkileşim çalışmasında, güçlü bir CYP3A4 inhibitörü olan ketokonazolün eşzamanlı uygulaması abirateron üzerinde klinik olarak anlamlı bir etki yaratmamıştır.
Abirateronun diğer ilaçların maruziyetini etkileme potansiyeli
Abirateron, hepatik ilaç metabolize eden CYP2D6 ve CYP2C8 enzimlerinin bir inhibitörüdür. Abirateron asetatın (artı prednizolon) tek dozda alınan CYP2D6 substratı dekstrometorfan üzerindeki etkisini belirlemek için yapılan bir çalışmada, dekstrometorfanın sistemik maruziyetinin (EAA) yaklaşık 2,9 kat arttığı bildirilmiştir. Dekstrometorfanın aktif metaboliti dekstrorfanın EAA'ü ise yaklaşık % 33 artmıştır.
ABYGA, özellikle dar terapötik indekse sahip ilaçlar olmak üzere, CYP2D6 tarafından aktive veya metabolize edilen ilaçlarla birlikte alındığında dikkatli olunmalıdır. CYP2D6 tarafından metabolize edilen dar terapötik indekse sahip ilaçların dozunun azaltılması değerlendirilmelidir. CYP2D6 tarafından metabolize edilen ilaçlara örnek olarak metoprolol, propranolol, desipramin, venlafaksin, haloperidol, risperidon, propafenon, flekanid, kodein, oksikodon ve tramadol gösterilebilir (kodein, oksikodon ve tramadolun aktif analjezik metabolitlerinin oluşabilmesi için CYP2D6 gereklidir).
Sağlıklı gönüllüler üzerinde yapılan bir CYP2C8 ilaç etkileşim çalışmasında, pioglitazon 1.000 mg'lık tek doz abirateron asetat ile birlikte verildiğinde, pioglitazonun EAA değeri % 46 artmış ve pioglitazonun aktif metabolitleri olan M-III ve M-IV için EAA değerleri % 10 azalmıştır. Bu sonuçlar, abirateron asetat ağırlıklı olarak CYP2C8 ile elimine edilen ilaçlarla kombine
edildiğinde maruziyette klinik olarak anlamlı artışların beklenmediğini gösteriyor olsa da, CYP2C8 substratı olan dar terapötik aralıklı ilaçlar ile birlikte ABYGA kullanılması durumunda hastalar toksisite semptomları açısından izlenmelidir.
İn vitro ortamda, abirateronun majör metabolitleri olan abirateron sülfat ve N-oksit abirateron sulfatın karaciğer alım transporteri OATP1B1'i inhibe ettiği ve sonuçta da OATP1B1 tarafından elimine edilen ilaçların konsantrasyonlarını artırabileceği gösterilmiştir. Transporter temelli etkileşimi teyit edecek klinik veri yoktur.
QT aralığını uzattığı bilinen ilaçlar ile kullanımı
Androjen azaltma tedavisi QT aralığını uzattığından, QT aralığını uzattığı bilinen ilaçlar ile ABYGA verirken veya sınıf IA (örn. kinidin, disopiramid) ya da sınıf III (örn. amiadoron, sotalol, dofetilid, ibutilid) gibi Torsade de pointes indükleyebilecek antiaritmatik ürünler, metadon, moksifloksasin, antipsikotikler gibi ürünler ile verilirken dikkatli olunması önerilir.
Spironolakton ile kullanım
Spironolakton androjen reseptörüne bağlanır ve prostat spesifik antijen (PSA) seviyelerini artırabilir. ABYGA ile kullanımı önerilmez (bkz. Bölüm 5.1).
Özel popülasyonlara ilişkin ek bilgiler
Herhangi bir etkileşim çalışması yapılmamıştır.
Pediyatrik popülasyon:
Herhangi bir etkileşim çalışması yapılmamıştır.
4.6. Gebelik ve laktasyon
Gebelik kategorisi: X
ABYGA kadınlarda kullanımı olan bir ilaç değildir. ABYGA gebe olan ya da gebe olma olasılığı bulunan kadınlarda kontrendikedir (bkz. Bölüm 4.3 ve 5.3).
Çocuk doğurma potansiyeli bulunan kadınlar/ Doğum kontrolü (kontrasepsiyon) Gebelikte ABYGA kullanımına ilişkin klinik bir veri mevcut değildir ve ABYGA çocuk doğurma potansiyeli bulunan kadınlarda kullanım için bir ilaç değildir.
ABYGA ya da metabolitlerinin semen ile salgılanıp salgılanmadığı bilinmemektedir. Hastanın gebe bir kadınla cinsel ilişkiye girmesi durumunda kondom kullanması gerekir. Hastanın çocuk doğurma potansiyeli bulunan bir kadınla cinsel ilişkiye girmesi durumunda etkili bir doğum kontrol yöntemine ek olarak kondom kullanması gerekir. Hayvanlarda yapılan çalışmalar üreme toksisitesi olduğunu göstermiştir (bkz. Bölüm 5.3).
Gebelik dönemi
ABYGA kadınlarda kullanımı olan bir ilaç değildir ve gebelik döneminde ya da gebelik potansiyeline sahip kadınlarda kontrendikedir (bkz. Bölüm 4.3 ve 5.3).
Laktasyon dönemi
ABYGA kadınlarda kullanımı olan bir ilaç değildir.
Üreme yeteneği / Fertilite
Abirateron erkek ve dişi sıçanlarda fertiliteyi etkilemiş olmakla birlikte bu etkiler tamamen geri dönüşümlü olmuştur (bkz. Bölüm 5.3).
4.7. Araç ve makine kullanımı üzerindeki etkiler
ABYGA'nın araç ve makine kullanımı yeteneği üzerinde etkisi yoktur ya da ihmal edilebilir düzeydedir.
4.8. İstenmeyen etkiler
Güvenlilik profilinin özeti
Birleştirilmiş Faz 3 çalışmalarının istenmeyen yan etkiler üzerindeki bir analizinde, abirateron asetat ile hastaların % 10'unda veya fazlasında gözlemlenen istenmeyen etkiler; periferik ödem, hipokalemi, hipertansiyon, idrar yolu enfeksiyonu ve alanin aminotransferaz düzeylerinde yükselme ve/veya aspartat aminotransferaz düzeylerinde yükselmedir.
Diğer önemli advers etkiler arasında kalp hastalıkları, hepatotoksisite, kırıklar ve alerjik alveolit bulunur.
Abirateron asetat, etki mekanizmasının farmakodinamik sonucu olarak hipertansiyon, hipokalemi ve sıvı retansiyonuna neden olabilir. Faz 3 çalışmalarında, abirateron asetat ile tedavi edilen hastalarda, plasebo ile tedavi edilen hastalara oranla beklenen mineralokortikoid advers etkiler daha yaygın olarak görülmüştür. Çalışmada hipokalemi abirateron asetat alanlarda % 18 iken plasebo alanlarda % 8, hipertansiyon abirateron asetat alanlarda % 22 iken plasebo alanlarda % 16 ve sıvı retansiyonu (periferik ödem) abirateron asetat alanlarda % 23 iken plasebo alanlarda % 17 olarak bildirilmiştir. Abirateron asetat ile tedavi edilen hastalarda, Grad 3 ve 4 hipokalemi (CTCAE, versiyon 4.0 sınıflamasına göre), % 6 iken plasebo alanlarda
% 1; abirateron asetat ile tedavi edilen hastalarda Grad 3 ve 4 hipertansiyon (CTCAE, versiyon 4.0 sınıflamasına göre) % 7 iken plasebo alanlarda % 5; abirateron asetat ile tedavi edilen hastalarda Grad 3 ve 4 sıvı retansiyonu (periferal ödem) % 1 iken plasebo alanlarda % 1 olarak gözlemlenmiştir. Mineralokortikoid reaksiyonlar tıbbi tedaviyle genellikle başarıyla yönetilebilmiştir. Kortikosteroidlerin birlikte kullanılması bu advers ilaç reaksiyonlarının sıklık ve şiddetini azaltır (bkz. Bölüm 4.4).
Advers reaksiyonların özeti
Luteinizan hormon salgılayıcı hormon (LHRH) agonistinin kullanılmakta olduğu ya da daha önceden orşiektomi tedavisi uygulanmış ileri evre metastatik prostat kanserli hastalardaki çalışmalarda abirateron asetat, düşük doz prednizolon (endikasyona bağlı olarak günlük 5 veya 10 mg) ile kombine olarak günde 1.000 mg dozunda kullanılmıştır.
Klinik çalışmalarda ve pazarlama sonrası deneyimlerde gözlenen advers etkiler aşağıdaki sıklık derecelerine göre listelenmiştir. Çok yaygın (≥1/10); yaygın (≥1/100 ila <1/10); yaygın
olmayan (≥1/1.000 ila <1/100); seyrek (≥1/10.000 ila <1/1.000); çok seyrek (<1/10.000), bilinmiyor (eldeki verilerden hareketle tahmin edilemiyor).
Her bir sıklık grubunda, istenmeyen etkiler azalan ciddiyet sırasına göre sunulmuştur.
Enfeksiyonlar ve enfestasyonlar
Çok yaygın: İdrar yolu enfeksiyonu
Yaygın: Sepsis
İmmün sistem hastalıkları
Bilinmiyor: Anaflaktik reaksiyonlar
Endokrin hastalıkları
Yaygın olmayan: Adrenal yetmezlik
Metabolizma ve beslenme hastalıkları
Çok yaygın: Hipokalemi
Yaygın: Hipertrigliseridemi
Kardiyak hastalıklar
Yaygın: Kalp yetmezliği*, anjina pektoris, atrial fibrilasyon, taşikardi Yaygın olmayan: Diğer aritmiler
Bilinmiyor: Miyokard infarktüs, QT uzaması (bkz. Bölüm 4.4 ve 4.5)
Vasküler hastalıklar
Çok yaygın: Hipertansiyon
Solunum, göğüs bozuklukları ve mediastinal hastalıklar
Seyrek: Alerjik alveolit
Gastrointestinal hastalıklar
Çok yaygın: Diyare
Yaygın: Dispepsi
Hepato-bilier hastalıklar
Çok yaygın: | Alanin aminotransferaz düzeylerinde yükselme ve/veya | aspartat |
Seyrek: | aminotransferaz düzeylerinde yükselme Fulminant hepatit, akut karaciğer yetmezliği |
|
Deri ve deri altı doku hastalıkları
Yaygın: Döküntü
Kas-iskelet bozuklukları, bağ doku ve kemik hastalıkları
Yaygın olmayan: Miyopati, rabdomiyoliz
Böbrek ve idrar yolu hastalıkları
Yaygın: Hematüri
Genel bozukluklar ve uygulama bölgesine ilişkin hastalıklar
Çok yaygın: Periferik ödem
Yaralanma ve zehirlenme
Yaygın: Kırıklar**
* Kalp yetmezliği aynı zamanda konjestif kalp yetmezliği, sol ventriküler disfonksiyon ve ejeksiyon fraksiyonunda azalmayı da içermektedir.
**Kırıklar, osteoporozu ve patolojik kırık dışındaki tüm kırıkları içerir.
Abirateron asetat ile tedavi edilen hastalarda aşağıdaki Grad 3 advers ilaç reaksiyonları (CTCAE, versiyon 4.0 sınıflamasına göre) görülmüştür: % 5 hipokalemi; % 2 idrar yolu enfeksiyonu, % 4 alanin aminotransferaz düzeyinde yükselme ve/veya aspartat aminotransferaz düzeyinde yükselme, % 6 hipertansiyon, % 2 kırık; % 1 periferik ödem, kalp yetmezliği ve atrial fibrilasyon. CTCAE (versiyon 4.0) Grad 3 hipertrigliseridemi ve anjina pektoris hastaların
% 1'inden azında meydana gelmiştir. Hastaların % 1'inden azında Grad 4 idrar yolu enfeksiyonu, alanin aminotransferaz düzeyinde yükselme ve/veya aspartat aminotransferaz düzeyinde yükselme, hipokalemi, kalp yetmezliği, atriyal fibrilasyon ve kırıklar görülmüştür.
Hormona duyarlı popülasyonda (çalışma 3011) hipertansiyon daha yüksek bir insidansta gözlemlenmiştir. Hormona duyarlı popülasyonda (çalışma 3011) hastaların % 36,7'sinde hipertansiyon rapor edilmişken, çalışma 301 ve 302'de sırasıyla % 11,8 ve % 20,2'idi. Hormona duyarlı popülasyonda hastaların % 20,4'ünde hipokalemi gözlemlenmişken (çalışma 3011), çalışma 301 ve 302'de sırasıyla % 19,2 ve % 14,9'idi.
ECOG2 performans durum skoru temel olan alt grup hastalarda ve ayrıca yaşlı hastalarda (≥75 yaş), yan etkilerin görülme insidansı ve düzeyi daha yüksekti.
Seçilmiş advers reaksiyonların tanımlanması Kardiyovasküler etkiler
Abirateron asetat ile yürütülen üç Faz 3 çalışmasında da, hipertansiyonu kontrol altına alınamayan, miyokard infarktüsüyle ortaya çıkmış klinik açıdan anlamlı kalp hastalığı olan, son 6 ayda arteriyel trombotik olay geçirmiş olan, ağır ya da unstabil anjinası olan, New York Kalp Cemiyeti (NYHA) Sınıf III ve IV kalp yetmezliği (çalışma 301) ya da Sınıf II ila IV kalp yetmezliği (çalışma 3011 ve 302) olan ya da kardiyak ejeksiyon fraksiyon ölçümü % 50'den düşük olan hastalar çalışmaya dahil edilmemiştir. Çalışmaya alınan diyabet, miyokard
infarktüsü, serebrovasküler olay ve ani kardiyak ölüm riski olan tüm hastalara (hem aktif ilaç, hem de plasebo alanlar) aynı zamanda öncelikle LHRH agonistleri kullanılarak androjen azaltma tedavisi uygulanmıştır. Faz 3 çalışmasında kardiyovasküler advers reaksiyonların sıklığı abirateron asetat alanlarda ve plasebo alanlarda aşağıdaki gibi bulunmuştur: atriyal fibrilasyon % 2,6 ve % 2; taşikardi, % 1,9 ve % 1; anjina pektoris % 1,7 ve % 0,8; kalp yetmezliği % 0,7 ve % 0,2 ve aritmi, % 0,7 ve % 0,5.
Hepatotoksisite
Abirateron asetat ile tedavi edilen hastalarda ALT, AST ve total bilirubin düzeylerinde yükselmeyle seyreden hepatotoksisite bildirilmiştir. Faz 3 klinik çalışmalarında, abirateron asetat alan hastaların yaklaşık % 6'sında tipik olarak tedaviye başladıktan sonraki ilk 3 ayda Grad 3 ve 4 karaciğer toksisitesi (örneğin, ALT ve AST düzeylerinde normal kabul edilen üst sınırın 5 katından fazla yükselme veya bilirubin düzeylerinde normal kabul edilen üst sınırın 1,5 katından fazla yükselme) bildirilmiştir. Çalışma 3011'de, abirateron asetat ile tedavi edilen hastaların % 8,4'ünde Grad 3 ve 4 hepatotoksisite gözlemlenmiştir. Abirateron asetat alan hastalardan onunda hepatotoksisite sebebiyle tedavi sonlandırılmıştır; bunlardan ikisi Grad 2 hepatotoksisite, altı tanesi Grad 3 hepatotoksisite ve 2 tanesi Grad 4 hepatotoksisitedir. Çalışma 3011'de hepatotoksisite sebebiyle ölen hasta olmamıştır. Faz 3 klinik çalışmalarında, başlangıç ALT veya AST düzeyleri yüksek olan hastalarda, başlangıç değerleri normal olanlara göre karaciğer fonksiyon testlerinde artış olasılığı daha yüksek olmuştur.
ALT veya AST düzeylerinde normal kabul edilen üst sınırın 5 katından fazla yükselme olduğunda ya da bilirubin düzeylerinde normal kabul edilen üst sınırın 3 katından fazla yükselme olduğunda abirateron asetat tedavisine ara verilmiş ya da kesilmiştir. İki vakada karaciğer fonksiyon testlerinde belirgin yükselmeler görülmüştür (bkz. Bölüm 4.4). Başlangıç değerleri normal olan bu iki hastada ALT veya AST düzeyleri normal üst sınır değerlerin 15 ila 40 katı ve bilirubin düzeyleri ise normal üst sınır değerlerin 2 ila 6 katı yükselmiştir. Abirateron asetat tedavisinin kesilmesinden sonra, her iki hastada da karaciğer fonksiyon testleri normale dönmüş ve hastalardan birinde bu defa yükselme olmaksızın abirateron asetat ile yeniden tedavi uygulanabilmiştir. Çalışma 302'deki abirateron asetat ile tedavi edilen 35 (% 6,5) hastada, Grad 3 veya 4 ALT ya da AST yükselmeleri gözlemlenmiştir. Aminotransferaz yükselmeleri 3 hasta (son abirateron asetat dozundan yaklaşık 3 hafta sonra yeni çoklu karaciğer metastazı olan 2 ve AST yükselmesi olan 1 hasta) hariç tüm hastalarda normale dönmüştür. Faz 3 klinik çalışmalarında, ALT ve AST artışları veya karaciğer fonksiyonlarında anormallik nedeniyle tedaviyi kesme oranları abirateron asetat alan hastalar için % 1,1, plasebo alan hastalar için ise
% 0,6 olarak bildirilmiştir; hepatotoksisite olaylarına bağlı hiçbir ölüm vakası bildirilmemiştir.
Klinik çalışmalarda başlangıçta hepatiti ya da karaciğer fonksiyon testlerinde anlamlı anormallikleri olan hastalar hariç tutulmak suretiyle hepatotoksisite riski azaltılmıştır. Çalışma 3011'de, başlangıç ALT ve AST değerleri NÜS'ün 2,5 katından fazla olan hastalar, bilirubin değerleri normal kabul edilen üst sınırın 1,5 katından fazla olan hastalar ve aktif veya semptomatik viral hepatit veya kronik karaciğer hastaları; karaciğer fonksiyon bozukluğuna bağlı assit veya kanama bozukluğu olan hastalar çalışmaya alınmamıştır. Çalışma 301'de, başlangıç ALT ve AST düzeyleri karaciğer metastazının olmadığı durumlarda normal kabul
edilen üst sınırın ≥ 2,5 katı, metastaz olanlarda ise normal kabul edilen üst sınırın > 5 katı olan hastalar çalışmaya dahil edilmemiştir. Çalışma 302'de, karaciğer metastazı olanlar ve başlangıç ALT ve AST düzeyleri ≥ 2,5 x NÜS olan hastalar çalışmaya alınmamıştır. Klinik çalışmaya alınan hastalarda karaciğer fonksiyon testlerinde anormalleşme olduğunda ise, bu hastaların tedavileri kesilmiş ve ancak karaciğer fonksiyon testleri tedavinin başlangıcındaki düzeylerine döndükten sonra yeniden tedavi almalarına izin verilmiştir (bkz. Bölüm 4.2). ALT ve AST düzeyleri normal kabul edilen üst sınırın 20 katından fazla yükselen hastalarda yeniden tedavi uygulanmamıştır. Bu tür hastalarda tedaviye yeniden başlamanın güvenliliği bilinmemektedir. Abirateron asetat tedavisi sırasında gelişen hepatotoksisitenin mekanizması bilinmemektedir.
Şüpheli advers reaksiyonların raporlanması
Ruhsatlandırma sonrası şüpheli ilaç advers reaksiyonlarının raporlanması büyük önem taşımaktadır. Raporlama yapılması, ilacın yarar/risk dengesinin sürekli olarak izlenmesine olanak sağlar. Sağlık mesleği mensuplarının herhangi bir şüpheli advers reaksiyonu Türkiye Farmakovijilans Merkezi (TÜFAM)'ne bildirmeleri gerekmektedir (www.titck.gov.tr; e-posta: tufam@titck.gov.tr; tel: 0 800 314 00 08; faks: 0 312 218 35 99).
4.9. Doz aşımı ve tedavisi
Abirateron asetat ile doz aşımına dair insan deneyimi sınırlıdır.
Spesifik antidotu yoktur. Doz aşımı durumunda ABYGA uygulaması durdurularak aritmilerin, hipokalemi ve sıvı retansiyonunun bulgu ve belirtilerinin izlenmesi de dahil olmak üzere genel destekleyici önlemler alınmalıdır. Karaciğer fonksiyonları da değerlendirilmelidir.
5. FARMAKOLOJİK ÖZELLİKLER
5.1. Farmakodinamik özellikler
Farmakoterapötik grup: Endokrin tedavisi, diğer hormon antagonistleri ve ilişkili ajanlar ATC kodu: L02BX03
Etki mekanizması
Abirateron asetat (ABYGA) in vivo olarak bir androjen biyosentez inhibitörü olan abiraterona dönüşür. Spesifik olarak abirateron 17α-hidroksilaz/C17,20-liyaz (CYP17) enzimini seçici olarak inhibe eder. Bu enzim testiküler, adrenal ve prostatik tümör dokularında eksprese olur ve androjenin biyosentezi için gereklidir. CYP17 enzimi, sırasıyla 17α-hidroksilasyon ve C17,20 bağının kırılmasıyla pregnenolon ve progesteronun testosteron prekürsörleri olan DHEA ve androstenediona dönüşümünü katalize eder. CYP17 inhibisyonu aynı zamanda adrenaller tarafından mineralokortikoid üretiminde artışa da yol açar (bkz. Bölüm 4.4).
Androjene duyarlı prostat karsinomu, androjen düzeylerini azaltan tedaviye yanıt verir. LHRH agonistleri ya da orşiektomi gibi androjen azaltıcı tedaviler, testislerdeki androjen üretimini azaltmalarına rağmen, adrenaller ya da tümör dokusundaki androjen üretimini etkilemezler. LHRH agonistleri (ya da orşiektomi) ile birlikte abirateron asetat tedavisi uygulandığında serum testosteron düzeyleri (ticari testlerle ölçüldüğünde) saptanabilir düzeylerin altına düşer.
Farmakodinamik etkiler
Abirateron asetat, serum testosteron ve diğer androjen seviyelerini, tek başına LHRH agonistleri ya da orşiektomi ile elde edilen seviyelerin altına düşürür. Bu, androjen biyosentezi için gerekli olan CYP17 enziminin selektif olarak inhibe edilmesinin bir sonucudur. Prostat spesifik antijen (PSA) prostat kanserli hastalarda bir biyogösterge olarak kullanılır. Daha önce taksanlarla yapılan kemoterapiden fayda görmeyen hastalarda gerçekleştirilen bir Faz 3 klinik çalışmada, abirateron asetat ile tedavi edilen hastaların % 38'inde başlangıç PSA değerlerine göre en az % 50 azalma sağlanabilmişken, bu azalma oranı plasebo ile tedavi edilenlerin ancak
% 10'unda sağlanabilmiştir.
Klinik etkililik ve güvenlilik
Abirateron asetatın etkililiği metastatik hormona duyarlı prostat kanseri (mHDPK) ve metastatik kastrasyona dirençli prostat kanseri (mKDPK) olan hastalarda gerçekleştirilen plasebo kontrollü çok merkezli randomize üç Faz 3 çalışmayla (çalışma 3011, 302 ve 301) gösterilmiştir. Çalışma 3011'e, yüksek riskli prognostik faktörlere sahip yeni tanı almış (randomizasyondan önceki 3 ay içerisinde) mHDPK'li hastalar dahil edilmiştir. Yüksek riskli prognoz aşağıdaki 3 risk faktöründen en az 2'sine sahip olmak olarak tanımlanmıştır: (1) Gleason skorunun ≥ 8 olması; (2) kemik taramasında 3 veya daha fazla lezyon olması; (3) ölçülebilir visseral (lenf nodu hastalığı hariç) metastaz olması. Aktif tedavi kolunda, standart tedavi olan ADT'ye (LHRH agonisti veya orşiektomi) ilave olarak, abirateron asetat günde
1.000 mg dozunda, günde tek doz 5 mg düşük doz prednizon ile kombine olarak uygulandı. Kontrol kolundaki hastalara abirateron asetat ve prednizon yerine ADT ve plasebo verildi. Çalışma 301'e daha önceden dosetaksel kullanmış hastalar, çalışma 302'ye ise daha önce dosetaksel kullanmamış hastalar dahil edilmiştir. Hastalar bir LHRH agonisti kullanıyorlardı ya da daha önce orşiektomi olmuşlardı. Aktif tedavi uygulanan kolda, abirateron asetat, günde iki defa 5 mg düşük doz prednizon ya da prednizolonla kombine olarak günde 1.000 mg dozunda kullanıldı. Kontrol grubundaysa plaseboya ek olarak günde iki defa 5 mg düşük doz prednizon ya da prednizolon uygulandı.
Serum PSA konsantrasyonlarındaki değişiklikler bağımsız olarak her zaman klinik faydayı göstermeyebilir. Bu nedenle, tüm çalışmalarda hastaların aşağıda verilen tedavi kesilme kriterlerini karşılamalarına kadar tedaviye devam etmeleri önerilir.
Spironolakton androjen reseptörüne bağlandığından ve PSA seviyelerini artırabileceğinden, tüm çalışmalarda spironolakton kullanımına izin verilmedi.
Çalışma 3011 (yeni tanı almış yüksek riskli mHDPK hastaları)
Çalışma 3011'e (n=1.199) dahil edilen hastaların medyan yaşı 67 idi. Abirateron asetat ile tedavi edilen hastaların 832'si (% 69,4) beyaz ırka mensup, 246'sı (% 20,5) Asyalı, 25'i (% 2,1) Siyahi veya Afro Amerikan, 80'i (% 6,7) diğer, 13'ü (% 1,1) bilinmeyen/raporlanmamış ve 3'ü (% 0,3) Amerikan yerlisi veya Alaska yerlisi idi. Hastaların % 97'si için ECOG performans statüsü 0 veya 1 idi. Bilinen beyin metastazı, kontrol altına alınamayan hipertansiyonu, önemli kalp hastalığı olan veya NYHA Sınıf II-IV kalp yetmezliği olan hastalar çalışmaya alınmamıştır. Metastatik hastalıktan kaynaklanan semptomların tedavisi için 3 aya
kadar ADT veya 1 kür palyatif radyasyon veya operasyon tedavisi alan hastalar haricinde daha önce farmakoterapi, radyasyon terapisi veya metastatik prostat kanseri operasyonu geçirerek tedavi edilen hastalar çalışmaya alınmamıştır. Ortak primer etkililik sonlanım noktaları genel sağkalım (OS) ve radyografik progresyonsuz sağkalım (rPFS) idi. Kısa Ağrı Envanteri Kısa Form (BPI-SF) ile ölçülen medyan başlangıç ağrı skoru hem tedavi kolunda, hem de plasebo gruplarında 2.0 idi. Ortak primer sonlanım noktaları ölçümlerine ilave olarak; iskeletle ilişkili olaya (SRE) kadar geçen süre, prostat tedavisi için sonraki tedaviye kadar geçen süre, kemoterapi başlangıcına kadar geçen süre, ağrı progresyonuna kadar geçen süre ve PSA progresyonuna kadar geçen süre kullanılarak tedavi faydası da değerlendirildi. Tedavi hastalık progresyonuna, onamın geri çekilmesine, kabul edilemez toksisite veya ölüme kadar devam etti.
Radyografik progresyonsuz sağkalım, randomizasyondan radyografik progresyon görülmesine veya herhangi bir nedene bağlı ölüme kadar geçen süre olarak tanımlandı. Radyografik progresyon, kemik taramasıyla progresyonu (modifiye PCWG2'ye göre) veya BT veya MRG ile yumuşak doku lezyonlarındaki progresyonu (RECIST 1.1'e göre) kapsıyordu.
Tedavi grupları arasında rPFS bakımından anlamlı bir farklılık gözlendi (bkz. Tablo 1 ve Şekil 1).
Tablo 1: Radyografik Progresyonsuz Sağkalım - Katmanlı Analiz; Intent-to-treat Popülasyonu (çalışma PCR3011) | ||
| AA-P | Plasebo |
Randomize hastalar | 597 | 602 |
Olay | 239 (% 40) | 354 (% 58,8) |
Sansürlendi | 358 (% 60) | 248 (% 41,2) |
Olaya Kadar Geçen Süre (ay) |
| |
Medyan (% 95 GA) | 33,02 (29,57, NE) | 14,78 (14,69, 18,27) |
Aralık | (0+, 41+) | (0+, 40,6+) |
p değeri | < 0,0001 |
|
Risk oranı (% 95 GA) | 0,466 (0,394, 0,55) |
|
Not: += sansürlenmiş gözlem, NE=hesaplanamaz. rPFS olayını tanımlamada radyografik progresyon ve ölüm dikkate alınmıştır. AA-P= abirateron asetat ve prednizolon alan hastalar. lehine | ||
Şekil 1: Radyografik Progresyonsuz Sağkalıma ilişkin Kaplan-Meier Grafiği; Intent-to- treat Popülasyonu (çalışma PCR3011)

Plasebo artı ADT ile karşılaştırıldığında ölüm riskinde %34 azalma ile OS'de AA-P artı ADT lehine istatistiksel olarak anlamlı bir iyileşme gözlemlendi (HR=0,66; %95 Cl: 0,56, 0,78; p<0,0001, (bkz. Tablo 2 ve Şekil 2).
Tablo 2: Çalışma PCR3011'de (Intent-to-treat Analiz) Abirateron asetat veya Plasebo ile Tedavi Edilen Hastaların Genel Sağkalımı) | ||
Genel Sağkalım | Prednizon ile Abirateron asetat (N=597) | Plasebo (N=602) |
Ölüm (%) | 275 (%46) | 343 (%57) |
Medyan sağkalım (ay) (%95 Cl) | 53,3 (48,2, NE) | 36,5 (33,5, 40) |
Risk oranı (%95 Cl) | 0,66 (0,56, 0,78) | |
NE= tahmin edilemez | ||
Şekil 2: Genel Sağkalıma ilişkin Kaplan-Meier Grafiği; Intent-to-treat Popülasyonu (çalışma PCR3011)

Alt grup analizleri tutarlı olarak abirateron asetat tedavisi lehine sonuçlanmaktadır. Önceden belirlenmiş alt gruplarda AA-P'nin rPFS ve OS üzerindeki tedavi etkisi genel çalışma popülasyonunda daha üstün ve tutarlı olurken, ECOG skoru 2 olan alt grupta lehde bir yarar gözlenememiştir, ancak örneklem büyüklüğünün küçük olması (n=40) anlamlı bir sonuç çıkarılmasını kısıtlamıştır.
Genel sağkalım ve rPFS'de gözlenen artışlara ilave olarak, prospektif olarak tanımlanan tüm sekonder sonlanım noktaları için plasebo karşısında abirateron asetat lehine fayda gösterilmiştir.
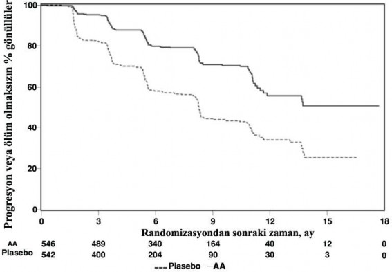
Çalışma 302 (daha önce kemoterapi almamış hastalar)
Bu çalışmaya asemptomatik veya hafif düzeyde semptomatik olan ve henüz kemoterapi endikasyonu bulunmayan kemoterapi almamış hastalar dahil edilmiştir. Kısa Ağrı Envanteri - Kısa Formunun (BPI-SF) “son 24 saat içindeki en kötü ağrı†maddesinin puanının 0-1 olması asemptomatik, puanın 2-3 olması ise hafif semptomatik olarak değerlendirildi.
Çalışma 302'de (n = 1,088) yer alan hastaların medyan yaşı abirateron asetat ile birlikte prednizolon veya prednizolon alan hastalar için 71, plasebo ile birlikte prednizolon alan hastalar için 70 idi. Abirateron asetat ile tedavi edilen hastaların ırklarına göre dağılımı şöyleydi: 520 (% 95,4) beyaz ırk, 15 (% 2,8) siyah ırk, 4 (% 0,7) sarı ırk ve 6 (% 1,1) diğer ırklar. Doğu Ortak Onkoloji Grubu (ECOG) performans statüsü, her iki koldaki hastaların % 76'sı için 0 ve % 24'ü için 1 idi. Hastaların % 50'si yalnızca kemik metastazlarına, % 31'i kemik ve yumuşak doku veya lenf nodu metastazlarına ve % 19'u yalnızca yumuşak doku veya lenf nodu metastazlarına
sahipti. Visseral metastazı olan hastalar çalışmaya alınmamıştır. Ortak birincil etkinlik sonlanım noktaları genel sağkalım ve radyografik progresyonsuz sağkalım (rPFS) idi. Ortak primer sonlanım noktaları ölçümlerine ilave olarak; kanser ağrısı için opiat kullanımına kadar geçen süre, sitotoksik kemoterapi başlangıcına kadar geçen süre, ECOG performans statüsünde
≥ 1 puanlık kötüleşmeye kadar geçen süre ve Prostat Kanseri Çalışma Grubu 2 (PCWG2) kriterlerine göre PSA progresyonuna kadar geçen süre kullanılarak tedavi faydası da değerlendirildi. Bariz klinik progresyon durumunda çalışma tedavilerine son verildi. Araştırmacı kararıyla, doğrulanmış radyografik progresyon ile de tedavi kesilebilecekti.
Radyografik progresyonsuz sağkalım (rPFS) PCWG2 kriterlerinde (kemik lezyonları için) tanımlanan seri görüntüleme çalışmalarına ve Solid Tümörlerde Yanıt Değerlendirme Kriterleri'ne (RECIST) göre (yumuşak doku lezyonları için) değerlendirildi. rPFS analizinde, radyografik progresyon değerlendirmesi merkezi inceleme ile yapılmıştır.
Planlı rPFS analizi 401 olayı kapsamış, abirateron asetat ile tedavi edilen hastaların 150'si (% 28) ve plasebo ile tedavi edilen hastaların 251'i (% 46) ya radyografik progresyon göstermiş ya da ölmüştür. Tedavi grupları arasında rPFS bakımından anlamlı bir farklılık gözlendi (bkz. Tablo 3 ve Şekil 3).
Tablo 3: Çalışma 302: Abirateron asetat veya plasebo ile birlikte prednizolon ve LHRH agonistleri ya da öncesinde orşiektomi olan hastalardaki radyolografik progresyonsuz sağkalım | ||
| Abirateron asetat (N = 546) | Plasebo (N = 542) |
Radyografik Progresyonsuz Sağkalım (rPFS) |
|
|
Progresyon veya ölüm | 150 (% 28) | 251 (% 46) |
Medyan rPFS (ay) (% 95 GA) | Ulaşılmadı (11,66; NE) | 8,3 (8,12; 8,54) |
p-değeri* | < 0,0001 | |
Risk oranı** (% 95 GA) | 0,425 (0,347; 0,522) | |
NE = Hesaplanmadı
* p-değeri, başlangıçtaki ECOG skoruna (0 veya 1) göre tabakalandırılmış bir log-rank testinden hesaplanmıştır.
** Risk oranı < 1 abirateron asetat lehine
Şekil 3: Kaplan Meier grafiğinde abirateron asetat veya plasebo ile birlikte prednizolon ve LHRH agonistleri ya da öncesinde orşiektomi olan hastalardaki radyografik progresyonsuz sağkalım

AA=Abirateron asetat
Ancak, Genel Sağkalıma (OS) ilişkin ikinci ara analiz tarihine kadar hasta verisi toplanmaya devam edilmiştir. Araştırmacının rPFS üzerinde bir takip duyarlılık analizi olarak yaptığı radyografik inceleme Tablo 4 ve Şekil 4'te sunulmuştur.
271'i (% 50) abirateron asetat grubundan, 336'sı (% 62) plasebo grubundan olmak üzere toplam 607 hasta radyografik progresyon göstermiş veya ölmüştür. Abirateron asetat ile tedavi, plaseboya kıyasla radyografik progresyon riskini % 47'ye kadar azaltmıştır (HR = 0,53; % 95 GA: [0,451; 0,623], p < 0,0001). Medyan rPFS, abirateron asetat grubunda 16,5 ay, plasebo grubunda ise 8,3 ay olmuştur.
Tablo 4: Çalışma 302: Abirateron asetat veya plasebo ile birlikte prednizolon ve LHRH agonistleri ya da öncesinde orşiektomi olmuş hastalardaki radyografik progresyonsuz sağkalım (İkinci GS ara analizinde- Araştırıcı İncelemesi) | ||
| Abirateron asetat (N = 546) | Plasebo (N = 542) |
Radyografik Progresyonsuz Sağkalım (rPFS) |
|
|
Progresyon veya ölüm | 271 (% 50) | 336 (% 62) |
Medyan rPFS (ay) (% 95 GA) | 16,5 (13,80; 16,79) | 8,3 (8,05; 9,43) |
p-değeri* | < 0,0001 | |
Risk oranı** (% 95 GA) | 0,53 (0,451; 0,623) | |
p-değeri, başlangıçtaki ECOG skoruna (0 veya 1) göre tabakalandırılmış bir log-rank testinden hesaplanmıştır.
** Risk oranı < 1 abirateron asetat lehine
Şekil 4: Kaplan Meier grafiğinde abirateron asetat veya plasebo ile birlikte prednizolon ve LHRH agonistleri ya da öncesinde orşiektomi olmuş hastalardaki radyografik progresyonsuz sağkalım (İkinci GS ara analizinde- Araştırıcı İncelemesi)

AA=Abirateron asetat
333 ölüm gözlendikten sonra, OS için planlı bir ara analiz (IA) yapıldı. Gözlenen klinik faydanın büyüklüğü dikkate alınarak çalışmanın körlüğü kaldırıldı ve plasebo grubundaki hastalara abirateron asetat ile tedavi olmaları teklif edildi. Abirateron asetat ölüm riskini % 25 azaltarak plaseboya kıyasla daha uzun bir genel sağkalım sağladı (HR = 0,752; % 95 GA: [0,606; 0,934], p = 0,0097), ancak OS olgunlaşmamıştı ve ara analiz sonuçları istatistiksel anlamlılık için önceden belirlenmiş durdurma sınırını karşılamıyordu (bkz. Tablo 3). Bu ara analiz sonrasında, sağkalım takibine devam edildi.
OS için planlanan nihai analiz 741 ölüm gözlendikten sonra yapıldı (medyan takip süresi 49 ay). Abirateron asetat ile tedavi edilen hastaların % 65'inin (354/546), plasebo ile tedavi edilen hastaların ise % 71'inin (387/542) öldüğü saptandı. Ölüm riskinde % 19,4'lük bir azalma ile, OS bakımından abirateron asetat ile tedavi edilen grup lehine istatistiksel olarak anlamlı bir fayda (HR = 0,806; % 95 GA: [0,697; 0,931], p = 0,0033) ve 4.4 aylık medyan OS artışı sağlanmıştır (abirateron asetat 34,7 ay, plasebo 30,3 ay) (bkz. Tablo 5 ve Şekil 5). Bu iyileşme, plasebo kolundaki hastaların % 44'ü müteakip tedavi olarak abirateron asetat almış olmalarına rağmen gösterilmiştir.
Tablo 5: Çalışma 302: Abirateron asetat veya plasebo ile birlikte prednizolon ve LHRH agonistleri ya da öncesinde orşiektomi olmuş hastalardaki genel sağkalım | ||
| Abirateron asetat (N = 546) | Plasebo (N = 542) |
Ara sağkalım analizi | ||
Ölüm vakaları (%) | 147 (% 27) | 186 (% 34) |
Ortalama sağkalım (ay) (% 95 GA) | Ulaşılmadı (NE; NE) | 27,2 (25,95; NE) |
p-değeri* | 0,0097 | |
Risk oranı** (% 95 GA) | 0,752 (0,606; 0,934) | |
Nihai sağkalım analizi | ||
Ölüm Vakaları | 354 (% 65) | 387 (% 71) |
Medyan genel sağkalım (ay, % 95 GA)] | 34,7 (32,7; 36,8) | 30,3 (28,7; 33,3) |
p-değeri* | 0,0033 | |
Risk oranı** (% 95 GA) | 0,806 (0,697; 0,931) | |
NE = Hesaplanmadı
ayda, 12'inci ayda ve 18'inci ayda abirateron asetat grubunda iskelet sistemiyle ilişkili olay görülen hasta oranı plasebo ile karşılaştırıldığında daha düşüktü (sırasıyla 6. ayda % 18'e karşı
6. FARMASÖTİK ÖZELLİKLER
6.1. Yardımcı maddelerin listesi
Laktoz monohidrat (inek sütü kaynaklı) Mikrokristalin selülozKroskarmelloz sodyum Povidon
Sodyum lauril sülfat Kolloidal silikon dioksit Magnezyum stearat
Opadry 85F200050 mor Polivinil alkol Titanyum dioksit
Makrogol/PEG MW 3350 Talk
Siyah demir oksit Kırmızı demir oksit
6.2. Geçimsizlikler
Bilinen herhangi bir geçimsizliği bulunmamaktadır.
6.3. Raf ömrü
24 ay
6.4. Saklamaya yönelik özel tedbirler
25°C altındaki oda sıcaklığında saklanmalıdır.
Çocukların göremeyeceği, erişemeyeceği yerlerde ve ambalajında saklanmalıdır.
6.5. Ambalajın niteliği ve içeriği
Ürünümüzün primer ambalaj malzemesi olarak PA/ALU/PVC Folyo/Alüminyum Folyo blister kullanılmıştır. Bir kutu içerisinde 60 adet tablet içeren blister ambalajlarda kullanma talimatı ile birlikte sunulmaktadır.
6.6. Beşeri tıbbi üründen arta kalan maddelerin imhası ve diğer özel önlemler
Etki mekanizmasına dayanarak, bu tıbbi ürün gelişmekte olan fetüse zarar verebilir, bu yüzden gebe olan ya da gebe olma olasılığı bulunan kadınlar ABYGA ile korunmasız temas etmemeli; örneğin eldiven kullanmalıdır (bkz. Bölüm 4.6).
Kullanılmamış olan ürünler ya da atık materyaller “Tıbbi Atıkların Kontrolü Yönetmeliği†ve “Ambalaj ve Ambalaj Atıklarının Kontrolü Yönetmelikâ€lerine uygun olarak imha edilmelidir. Bu tıbbi ürün akuatik ortam için bir risk oluşturabilir (bkz. Bölüm 5.3).
Ruh ve Akıl Sağlığımızı Geliştirmek
İyi akıl ve ruh sağlığı sahip olmaktan ziyade, yaptığınız şeylerdir. Akıl ve
ruhsal olarak sağlıklı olmak için kendinize değer vermeli ve kendinizi kabul
etmelisiniz. |
Omurilik zedelenmeleri
Omurilik zedelenmesini takip eden birkaç gün içinde, hiçkimse hasarin ne kadar olacagini tahmin edemez. Buradaki sorun, omuriligin herhangi bir zedelenmesinden hemen sonra, bir omurilik sokunun olusmasidir. |
İLAÇ EŞDEĞERLERİ
| Eşdeğer İlaç Adı | Barkodu | İlaç Fiyatı |
|---|---|---|
| ABIRATEX | 8699541015349 | 32,951.82TL |
| ABITIGA | 8699638095513 | 26,470.36TL |
| ABYGA | 8699525019776 | 25,319.50TL |
| ARVILA | 8699586013331 | 25,319.50TL |
| BYRETU | 8699650012260 | 23,886.32TL |
| Diğer Eşdeğer İlaçlar |
![]() |
Grip, Soğuk Algınlığı ve Öksürük Grip ve soğuk algınlığı (nezle) semptomları arasındaki farkı bilmek önemlidir. Soğuk algınlığı gripten daha hafif belirtiler gösteren bir solunum yolu hastalığıdır. |
![]() |
Pankreas Kanseri Pankreas karnın alt kısmında yatay şekilde bulunan bir organdır. Sindirime yardımcı olan enzimleri ve kan şekerini yönetmeye yardımcı olan hormonları vücuda dağıtmakla görevlidir. |
![]() |
En Yaygın Alerji Türleri Bağışıklık sistemi, polen, arı zehiri veya evcil hayvan gibi yabancı bir maddeye veya çoğu insanda reaksiyona neden olmayan bir yiyeceğe tepki gösterdiğinde alerjiler meydana gelir. |
İLAÇ GENEL BİLGİLERİ
Deva Holding A.Ş.
| Satış Fiyatı | 25319.5 TL [ 4 May 2026 ] |
| Önceki Satış Fiyatı | 25319.5 TL [ 27 Apr 2026 ] |
| Original / Jenerik | Original İlaç |
| Reçete Durumu | Normal Reçeteli bir ilaçdır. |
| Barkodu | 8699525099532 |
| Etkin Madde | Abirateron |
| ATC Kodu | L02BX03 |
| Birim Miktar | 500 |
| Birim Cinsi | MG |
| Ambalaj Miktarı | 60 |
| Antineoplastik ve İmmünomodülatör Ajanlar > Hormon Antagonistleri > Abirateron |
| Yerli ve Beşeri bir ilaçdır. |




